我是靠谱客的博主 怡然花瓣,这篇文章主要介绍离散数学-6 集合代数,现在分享给大家,希望可以做个参考。

1. 集合定义

集合没有精确的数学定义

理解:由离散个体构成的整体称为集合,称这些个体为集合的元素

常见的数集:N, Z, Q, R, C 等分别表示自然数、整数、有理数、实数、复数集合

2. 集合表示法

枚举法----通过列出全体元素来表示集合

谓词表示法----通过谓词概括集合元素的性质

实例:枚举法:自然数集合 N={0,1,2,3,…} 谓词法:S={ x | x是实数,x-1=0}

i. 集合的元素具有的性质

无序性:元素列出的顺序无关

相异性:集合的每个元素只计数一次

确定性:对任何元素和集合都能确定这个元素是否为该集合的元素

任意性:集合的元素也可以是集合

ii.元素与集合的关系隶属关系:或者

集合与集合之间的关系:, =, , , ,

定义6.1 A B x ( xA xB )

定义6.2 A = B A B B A

定义6.3 A B A B A B

A B x ( xA xB )

定义6.4 空集 :不含有任何元素的集合 实例: { x | xR x2+1=0 }

定理6.1 空集是任何集合的子集。 推论 是惟一的

定义6.5 幂集给定集合A,由集合A所有子集为元素组成的集合,称为集合A幂集,记为P(A)(或2A)。幂集的符号化表示为P(A)={ x | x A }

实例:P()={}, P({})={,{}}

计数:如果 |A|=n,则 |P(A)|=2n.

定义6.6 全集 E:包含了所有集合的集合

全集具有相对性:与问题有关,不存在绝对的全集

外延公理 两个集合AB相等当且仅当其元素相同,记作A = B

平凡子集 任意一个非空集合A至少有两个子集,一个是空集Æ,另一个是它本身A,称为A平凡子集

定义 以集合为元素的集合称为集族

定义3.8 给定集合A,由集合A的子集为元素组成的集合,称为集合A的子集族A的所有子集族都是其幂集P(A)的子集

   

初级运算,集合的基本运算有

定义6.7 AB = {x | xA xB}

AB = {x | xA xB}

相对补 AB = {x | xA xB}

定义6.8 对称差 AB = (AB)(BA)

定义6.9 绝对补 A = EA

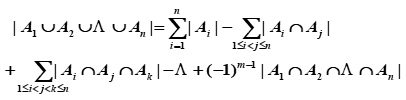
并和交运算可以推广到有穷个集合上,即

A1 A2 An = { x | xA1xA2 xAn}

A1 A2 An = { x | xA1 xA2 xAn}

定义6.10 广义并 A = { x | z ( zA xz )}

广义交 A= { x | z ( zA xz )}

广义运算的性质

(1) =无意义

(2) 单元集{x}的广义并和广义交都等于x

(3) 广义运算减少集合的层次(括弧减少一层)

(4) 广义运算的计算:一般情况下可以转变成初级运算

{A1, A2, … , An}=A1A2An

{A1, A2, … , An}=A1A2An

运算优先级的确定

1 类运算:初级运算È, , ,

优先顺序由括号确定

2 类运算:广义运算和运算,

运算由右向左进行

混合运算:2 类运算优先于1 类运算

有穷集合元素的计数

1. 文氏图法

2. 包含排斥原理

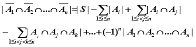
定理6.2 设集合S上定义了n条性质,其中具有第 i 条性质的

元素构成子集Ai, 那么集合中不具有任何性质的元素数为

推论 S中至少具有一条性质的元素数为

集合恒等式

集合算律

1.只涉及一个运算的算律:

交换律结合律幂等律

  

交换

AB=BA

AB=BA

AB=BA

结合

(AB)C

=A(BC)

(AB)C=

A(BC)

(AB)C

=A(BC)

幂等

AA=A

AA=A

  

2.涉及两个不同运算的算律:

分配律、吸收律

  

分配

A(BC)=

(AB)(AC)

A(BC)=

(AB)(AC)

A(BC)

=(AB)(AC)

吸收

A(AB)=A

A(AB)=A

  

3.涉及补运算的算律:

DM双重否定

  

D.M

A(BC)=(AB)(AC)

A(BC)=(AB)(AC)

(BC)=BC

(BC)=BC

双重否定

  

A=A

4.涉及全集和空集的算律:

补元律零律同一律否定律

  

E

补元律

AA=

AA=E

零律

A=

AE=E

同一律

A=A

AE=A

否定

=E

E=

定理3.6 A, B, C为任意的集合,集合运算满足以下所列规律。

1双重否定律 ~(~A)=A

2幂等律 AA=AAA=A

3交换律 AB=BAAB=BA

4结合律 (AB)C=A(BC)(AB)C=A(BC)

5分配律 A(BC)=(AB)(AC)A(BC)=(AB)(AC)

6吸收律 A(AB)=AA(AB)=A

7德摩根律 A(BC)=(AB)(AC)A(BC)=(AB)(AC)

~(AB)=~A~B~(AB)=~A~B

~E=~=E

8同一律 AE=AA=A

9零律 A=AE=E

10排中律 A~A=E

11矛盾律 A~A=

定理3.7 A, B, C是任意集合,则

1A ABB AB

2AB AAB B

3AB=A~B

4AB A

5(AB)B =AB(AB)B =AB

6)若A CB C,则AB C

7)若A BA C,则A BC

8)若A B,则 ~B ~A

定理3.8 对于任意集合ABC

1AB=(AB)(BA)=(AB)(AB)

2AB=BA

3AA=

4A=A

5~A~B=AB

6(AB)C=A(BC)

   

集合证明题

证明方法:命题演算法、等式置换法

命题演算证明法的书写规范 (以下的XY代表集合公式)

(1) XY

任取xxX xY

(2) X=Y

方法一 分别证明 XY YX

方法二

任取xxX xY

注意:在使用方法二的格式时,必须保证每步推理都是充分必要的

   

(1) 判断元素a与集合A的隶属关系是否成立基本方法:

a 作为整体检查它在A中是否出现,注意这里的 a

能是集合表达式.

(2) 判断AB的四种方法

A,B是用枚举方式定义的,依次检查A的每个元素是否在B中出现.

A,B是谓词法定义的,且A, B中元素性质分别为PQ, 那么"若PQ"意味 AB,"P当且仅当Q"意味=

通过集合运算判断AB,即AB = B, AB = A, AB = 三个等式中有一个为真.

通过文氏图判断集合的包含(注意这里是判断,而不是证明

求解集合等式成立的充分必要条件可能用到集合的算律、不同集合之间的包含关系、以及文氏图等. 具体求解过程说明如下:

(1) 化简给定的集合等式

(2) 求解方法如下:

  • 利用已知的算律或者充分必要条件进行判断
  • 先求必要条件,然后验证充分性
  • 利用文氏图的直观性找出相关的条件,再利用集合论的证明方法加以验证

证明集合恒等式的方法有两种:

1)根据定义进行证明,在叙述中采用半形式化的方法,证明中大量用到数理逻辑的等价式及推理规则。

2)恒等演算,利用已有的集合恒等式证明新的恒等式.

   

最后

以上就是怡然花瓣最近收集整理的关于离散数学-6 集合代数的全部内容,更多相关离散数学-6内容请搜索靠谱客的其他文章。

本图文内容来源于网友提供,作为学习参考使用,或来自网络收集整理,版权属于原作者所有。
点赞(261)

评论列表共有 0 条评论

立即
投稿
返回
顶部