本节介绍频率特性法的基本概念
本节介绍典型环节的幅相频率特性和对数频率特性
本节介绍绘制开环系统的Nyquist图和Bode图
文章目录
- 频率特性的基本概念
- 幅相频率特性 Nyquist
- 典型环节的幅相特性曲线
- 开环幅相特性曲线
- 0 1 2 3型系统的开环Nyquist
- 其他型别系统的开环Nyquist
- 对数频率特性 Bode
- 半对数座标系
- 典型环节的对数频率特性曲线
- 例题与其他概念
- 开环对数频率特性
- 非最小相角系统
- 对数幅相特性 Nichols
前一章讲了根轨迹法,属于一种复域分析方法。而除了在复域中处理输入输出,还可以在频域中处理(实际上频域中处理更加常用),所以这里介绍频率特性分析法。
频域分析,实际上就是研究稳态正弦响应的 幅值 和 相角 随频率的变化规律。
频域分析法通过研究开环频率特性进而研究闭环稳定性及性能。
与根轨迹相同,也是一种图解分析法,所以方便实用但也有一定的近似性。
频率特性的基本概念
什么是频率响应?
频率特性是指线性系统稳态正弦响应的幅值、相角随输入频率变化的规律性

比如在这里解出来uc(t),里面含有
ω
omega
ω,说明输出与输入的频率有关。这个规律就叫做频率特性

输出第一项将随着时间增大而趋于0,称为衰减信号或瞬态分量
而第二项是一个正弦函数形式,频率为
ω
omega
ω,称为稳态分量
取出稳态分量,也就是得到稳态正弦响应。这个正弦函数的幅值
∣
G
(
j
ω
)
∣
|G(jomega)|
∣G(jω)∣和相位
ϕ
(
ω
)
phi(omega)
ϕ(ω)均为频率
ω
omega
ω的函数,因此可以构建一个频率传递函数,分别对应其幅值和相角,记为:
G
(
j
ω
)
=
∣
G
(
j
ω
)
∣
e
j
ϕ
(
ω
)
G(jomega)=|G(jomega)|e^{jphi(omega)}
G(jω)=∣G(jω)∣ejϕ(ω)
G
(
j
ω
)
G(jomega)
G(jω)就是系统的频率特性。
频率特性的定义
-
方法1:
分别定义幅值和相角
{ ∣ G ( i ω ) ∣ = ∣ c s ( t ) ∣ ∣ r ( t ) ∣ ∠ G ( j ω ) = ∠ c s ( t ) − ∠ r ( t ) left{ begin{aligned} |G(iomega)|=&frac{|c_s(t)|}{|r(t)|}\ angle G(jomega)=&angle c_s(t)-angle r(t) end{aligned} right. ⎩ ⎨ ⎧∣G(iω)∣=∠G(jω)=∣r(t)∣∣cs(t)∣∠cs(t)−∠r(t)
这两个公式分别称为幅频特性和相频特性

-
方法2:
利用复域传递函数
G ( j ω ) = G ( s ) ∣ s = j ω G(jomega)=G(s)|_{s=jomega} G(jω)=G(s)∣s=jω

-
方法3:
利用fourier变换
G ( j ω ) = C ( j ω ) R ( j ω ) G(jomega)=frac{C(jomega)}{R(jomega)} G(jω)=R(jω)C(jω)

也就是先通过复域传递函数,进行拉氏反变换,然后把s替换成 j ω jomega jω,化简之后发现变成了傅氏反变换的形式,因此推导出这个公式。
接下来根据定义做一道例题:

由于稳态正弦响应一定是与输入频率相同的正弦函数,所以只需要确定出幅值和相位就可以写出函数了。
要表示系统频率特性,可以采用多种不同的方法:

幅相频率特性 Nyquist
也叫做极座标图。在复平面上,频率特性可以表示为一个向量,向量的长度表示频率特性的幅值,向量与实轴正方向的夹角为频率响应的相位,这样就构成了Nyquist图。
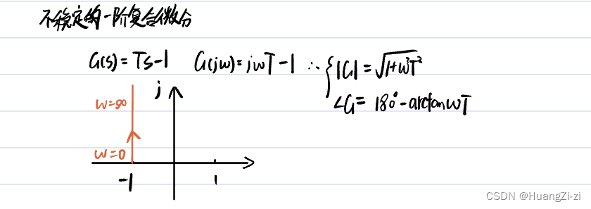
典型环节的幅相特性曲线
比例 微分 积分 惯性 一阶复合微分环节


现在再来看Nyquist图,颇有一种根轨迹的感觉。平面叫做G平面,也就是说平面上的每一个点都表示一个
G
(
j
ω
)
G(jomega)
G(jω)。随着
ω
omega
ω的取值从0到无穷,频率特性留下的轨迹就成为了幅相特性曲线。
根据一个点的位置,可以知道
G
(
j
ω
)
G(jomega)
G(jω)的幅值和相位,但并不能直接读出
ω
omega
ω

之前都是已知系统传递函数来画图。但也可以从Nyquist图反求系统传递函数:

震荡环节

震荡环节和之前最大的不同就是根据 ξ xi ξ的不同,Nyquist图的形状也不同。
研究曲线的形状,求幅值的最值:

1.在
ξ
xi
ξ较大时,随
ω
omega
ω增大,幅值单调减小,也就是曲线一直趋近原点。时间响应该震荡依旧震荡
而
ξ
xi
ξ较小时,随
ω
omega
ω增大,幅值先增大后减小,也就是曲线先远离原点,再趋近原点。
2.引入谐振频率和谐振峰值来表示幅值最大点的频率和幅值。
由图像反求传递函数:

二阶复合微分环节

「这个不稳定二阶微分,还有前面的不稳定一阶复合微分,是我自己瞎取的名字,方便和不稳定震荡环节、不稳定惯性环节相对应」
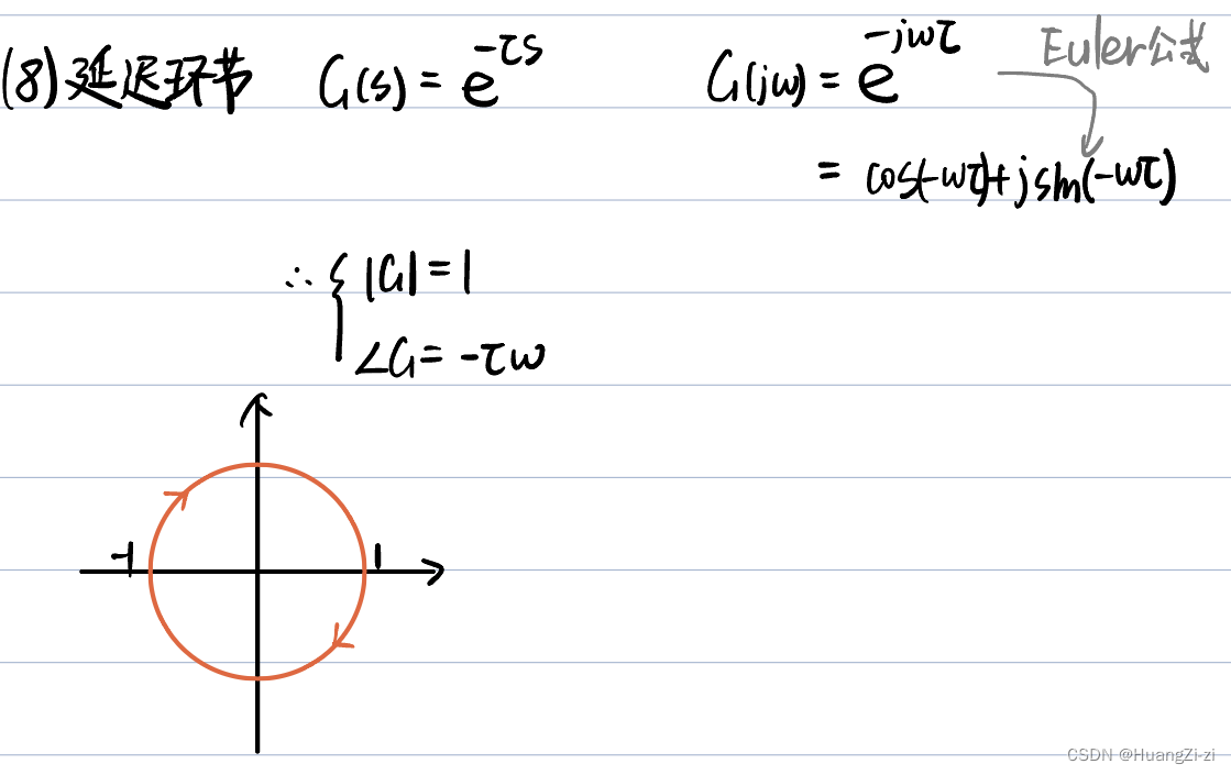
延迟环节

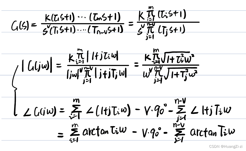
开环幅相特性曲线
之前是每一个环节分开来。现在直接从开环传递函数入手。仍然是分成幅值和相角两个方面分别计算,再合成为矢量。根据
ω
omega
ω的变化绘制成曲线。

绘制开环幅相特性一般不要求高精度,所以根据起点、终点,大概勾勒出形状即可。如果有更高的要求,可以代入与实轴的交点等条件增加精度。
0 1 2 3型系统的开环Nyquist
看这个例题:


也就是说不同的系统型别,开环幅相特性曲线朝向是不同的。而对于某一型的系统,可以根据这个例题,直接勾勒出对应的曲线形状。
来看个例题:

基本思路:实部虚部分开,计算与实轴的交点,找出渐近线,再根据相应系统的型别对应的曲线形状勾勒出曲线。
那如果不是0 1 2 3型系统,而是其他型别该怎么办?
其他型别系统的开环Nyquist

那就先根据起点和终点勾勒出一个形状,再实部虚部分开计算与座标轴的交点,描绘曲线。
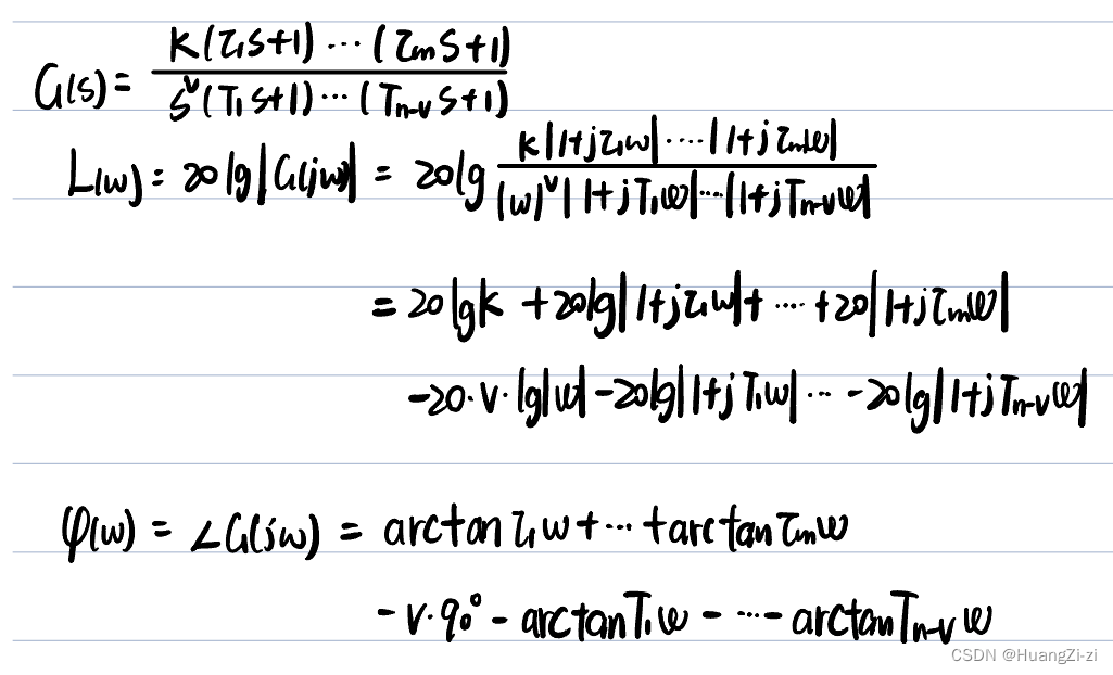
对数频率特性 Bode
Nyquist图计算比较繁琐,而且无法直观看出每个零点和极点的影响。而Bode图更加方便因此工程实际中使用更多。
Bode图由对数幅频曲线和对数相频曲线两部分组成。
半对数座标系
Bode图是画在半对数座标系里面的。
横轴:频率
ω
omega
ω,但按照频率的对数
lg
ω
lg omega
lgω标定
纵轴1:对数幅值(Logarithm magnitude,简称Lm)
L
m
G
(
j
ω
)
=
20
lg
∣
G
(
j
ω
)
∣
LmG(j omega)=20lg |G(jomega)|
LmG(jω)=20lg∣G(jω)∣,线性标定
纵轴2:相角,线性标定

两个纵轴都很好理解,一个是对幅值取对数×20,一个就是相角本身,也都是线性标度。
而对于横轴,由于划分刻度是按照对数,因此疏密不一。这里一定要注意:横座标上的某个点,直接读出其座标值,是频率,而不是频率对数
对数分度,有"等距等比"的性质,也就是当变量增大或减小10倍(记为dec,称为十倍频或者旬距)时,座标间的距离变化一个单位长度。
典型环节的对数频率特性曲线
part1:比例 微分 积分 惯性 一阶复合微分环节


惯性环节和一阶复合微分环节的特征是
±
20
d
B
/
d
e
c
pm20dB/dec
±20dB/dec
注意:

这里的
L
(
ω
)
L(omega)
L(ω)曲线都是画的直线,是经过了近似处理,为研究方便的。
φ
(
ω
)
varphi(omega)
φ(ω)曲线全部都是中心对称的,这里只证明了一个。画的时候可以根据对称性更轻松画出。
震荡 二阶复合微分 延迟环节


震荡环节和二阶复合微分环节的特征是
±
40
d
B
/
d
e
c
pm40dB/dec
±40dB/dec

例题与其他概念
例题由图像倒求传递函数

概念有这么几个,了解即可。
转折频率
对数幅值频率特性拐弯的点
对于惯性、一阶复合微分:
1
T
frac{1}{T}
T1
对于震荡、二阶复合微分:
ω
n
omega_n
ωn
之前都是画的近似曲线,变成折线,但实际上在转折频率处
L
(
ω
)
L(omega)
L(ω)已经有改变了。以惯性环节为例,在转折频率处有-3dB的衰减

截止频率
对数幅值频率特性为0的点,也就是 ∣ G ( j ω c ) ∣ = 1 |G(jomega_c)|=1 ∣G(jωc)∣=1
开环对数频率特性

在这里可以发现,绘制开环对数频率特性的时候,无论是对数幅值还是相角,都符合线性定理,可以根据多个典型环节叠加而来。
绘制开环Bode图的步骤
- 将开环传递函数化为尾1标准型
- 列出每一个环节的转折频率
- 确定基准线(最小的转折频率左边的情况)
基准线过点( ω = 1 , L ( 1 ) = 20 lg K omega=1,L(1)=20lg K ω=1,L(1)=20lgK)
斜率 − 20 v d B / d e c -20v dB/dec −20v dB/dec,v为系统型别 - 叠加做图:
惯性、一阶复合微分 ∓ 20 d B / d e c mp20dB/dec ∓20dB/dec
震荡、二阶复合微分 ∓ 40 d B / d e c mp40dB/dec ∓40dB/dec - 修正:
两惯性环节转折频率很接近时 → to →用圆弧修正
震荡环节 ξ < 0.38 或 ξ > 0.8 时 → xi<0.38或xi>0.8时to ξ<0.38或ξ>0.8时→用曲线表示 - 检查:
L ( ω ) L(omega) L(ω)最右端斜率为 − 20 ( n − m ) d B / d e c -20(n-m)dB/dec −20(n−m)dB/dec
转折点个数=惯性、一阶复合微分、震荡、二阶复合微分环节个数和
φ ( ω ) → − 90 ° ( n − m ) varphi(omega)to -90degree(n-m) φ(ω)→−90°(n−m)

关于相角频率特性,这里只是大致勾勒一下。开环的相角频率特性同样是多个典型环节特性的叠加。
实在严谨的做图中,需要使用圆规测距描点,再连接成曲线。但因为工程实践不太看这个曲线,所以多做题根据手感勾一条一般问题不大。


紧接着借这道例题讲一下Nyquist图和Bode图的对应关系:

先看幅值,Bode图的一个幅值,对应Nyquist图上的一个圆,根据圆与曲线的交点就可以找出两图中对应的点。
再看相角,Bode图的一个相角,对应Nyquist图上的一条射线,同理可以找出两图对应的点。
例题:从对数频率特性反求传递函数

通过转折点、斜率可以知道系统的构型。本题全是直线,
ξ
xi
ξ是不可求的,因此要求的参数只有一个K。
除了这种方法,这道题还有很多别的方法

这里绿色框的近似处理,跟前面讲典型环节时的近似处理是一样的意思,如果代入
ω
omega
ω后s项大于1,把1舍去;反之,把s项舍去。
最后在这里拓展一下:

首先是基准线的函数关系式:
L
(
ω
)
=
20
l
g
∣
K
ω
v
∣
L(omega)=20lg|frac{K}{omega^v}|
L(ω)=20lg∣ωvK∣
由此可以得出,已知基准线与横轴交点座标
ω
0
omega_0
ω0时:
K
=
ω
0
v
,
ω
o
=
K
1
v
K=omega_0^v,omega_o=K^{frac{1}{v}}
K=ω0v,ωo=Kv1
非最小相角系统
先来看一道例题:
之前在没有给出相频特性的情况下,默认所有环节都是稳定的。但是如果给出了相频特性,就需要根据这条曲线来确定具体哪些环节稳定而哪些环节不稳定了。

「这里是用了代数的方法去计算相角,做题的时候也可以画零点极点分布图来帮助确定相角。」
在这里就涉及到了非最小相角系统:
在右半S平面存在开环零、极点,或带有纯延时环节的系统称为非最小相角系统。
如果更加直观的解释,就是系统的各个环节中,含有某一个或几个不稳定环节或者纯延时环节。
也就是前面那个例题,在+ -,- +,- -的情况下,都属于非最小相角系统。
之所以叫做非最小相角系统,是因为相比最小相角系统,非最小相角系统相角变化的绝对值一般更大
但值得注意的是:非最小相角系统未必不稳定
对数幅相特性 Nichols
使用得比较少,只简单介绍一下。
相当于把Bode图的幅值、相角两条曲线合为一条。以相角
φ
(
ω
)
varphi(omega)
φ(ω)为横座标,对数幅值
L
(
ω
)
L(omega)
L(ω)为纵座标,根据频率
ω
omega
ω变化,描绘出对应的点形成的曲线。
最后
以上就是健忘白昼最近收集整理的关于「自控原理」5.1 频率特性及其图示频率特性的基本概念幅相频率特性 Nyquist对数频率特性 Bode对数幅相特性 Nichols的全部内容,更多相关「自控原理」5.1内容请搜索靠谱客的其他文章。
发表评论 取消回复