我是靠谱客的博主 听话毛衣,这篇文章主要介绍开环传递函数判断系统类型_第七章-离散系统(1-20),现在分享给大家,希望可以做个参考。

先背下下面的表:

8e81815fa1c1051ee664721d13d38c04.png

1fde5bf42063803c7fef945fb7874495.png

0366db97d2840cc792869108f2d12a6f.png

类似零阶保持器。

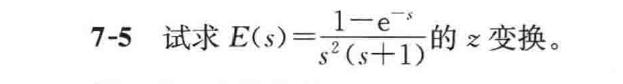
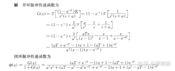
解:

516d75eea8f03f16b342cc68eff5c662.png

66bb9c52cba230410f7fa4c79ed2fa61.png

差分方程时域表达注意初试情况,采样的就不必

解:

6c355100db0c59721e1b469527aa2bd5.png

af385441089953a861341cb4c1892196.png

只手写了(C):

23038762b0654c75c4c5b382441cca90.png

3a0129fde2183bee086179d9a4239e59.png

嵌套的带有零阶保持器的非单位负反馈的系统,两处反馈的传递函数直接相加;再运用单位负反馈带有零阶保持器的系统规律。

课本上零阶保持器的系统:

84185f2be7da47c337b78d94335f99ed.png

c468e30277f4be42d28f5a935ffa2342.png

解:

102efa4e0b32a790b29ab4b2a43f0938.png

7-10 同类型的基础题目(会用零阶保持器的公式):

c0dbee0aa44c9e23f4b92cb819ae83a2.png

bfa50a3042d54494f5f6763588ad665b.png

7-16

46f816ef11bfde3aedd3382dee7d266f.png

动态误差系数法不做.

a60511037eecf181851706c7690c0923.png

7-17&7-18同类型:

5a431e77d51b810c917d04e5a0bfc99d.png

abfd4080cee7385521d7a88ddff5cf7b.png

c65c6a524e4f4b09da9e66d6687f709b.png

31f7f2703cb58cc5e55ee7ce51d0ba9e.png

7-12&7-13都是根据劳斯判据判断系统稳定性或者求灵界稳定时候临界放大系数K的值

ebd2b34ebc63fdb3e61fe7c2adaf7c0f.png

4a157f41f41b37e6d44d0dcb0247b159.png

7-19&7-20 运用离散系统的终值定理求得误差参数:

公式出处:

08a72030c90085da23dc31fd272fcb52.png

e64758f07a79ebc92650ee0e1f027e31.png

7ff84415ace97ff56ec9dd2429ed84ad.png

最后

以上就是听话毛衣最近收集整理的关于开环传递函数判断系统类型_第七章-离散系统(1-20)的全部内容,更多相关开环传递函数判断系统类型_第七章-离散系统(1-20)内容请搜索靠谱客的其他文章。

本图文内容来源于网友提供,作为学习参考使用,或来自网络收集整理,版权属于原作者所有。
点赞(222)

评论列表共有 0 条评论

立即
投稿
返回
顶部