概率分布
概率分布是指用于表述随机变量取值的概率规律,包括连续分布和离散分布。
下面作了这些概率分布的一个思维导图。


文章目录
- 概率分布
- 1、离散概率分布
- 1.1、两点分布
- 2.2、 二项分布
- 1.3、几何分布
- 1.4、超几何分布
- 1.5、泊松分布
- 2、连续概率分布
- 2.1、均匀分布
- 2.2、正太分布
- 2.3、beta分布
- 2.4、柯西分布
- 2.5、卡方分布
- 3、参考资料
概率分布
1、离散概率分布
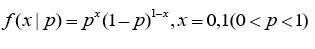
1.1、两点分布
意义:指的是一次实验中有两个事件,成功或者失败,出现的概率记为p,1-p。
分布律:
数字特征:
举例:比如一个口袋中有十个球,其中红球3个,白球7个,问从中取到红球的概率?
f=0.31 ×0.70=0.3
2.2、 二项分布
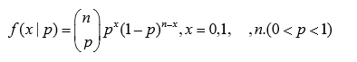
意义:两点分布独立重复n次,则实验成功的次数服从一个参数为(n,p)的二项分布
分布律:
或者
数字特征:
举例:比如一个口袋中有100个球,其中红球30个,白球70个,重复有放回地取30次,其中有10次取到红球的概率?
f=C3010 (0.3)10*(0.7)20
1.3、几何分布
其中一种定义为:在n次伯努利试验中,试验k次才得到第一次成功的机率。详细的说是:前k-1次皆失败,第k次成功的概率。
分布律:
数字特征:
举例:比如一个口袋中有100个球,其中红球30个,白球70个,第10次取到红球的概率?
f=0.3×0.79
1.4、超几何分布
定义:它描述了从有限N个物件中抽出n个物件,成功抽出该指定种类的物件的次数
在产品质量的不放回抽检中,若N件产品中有M件次品,抽检n件时所得次品数X=k,则
数字特征:
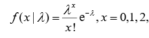
1.5、泊松分布
泊松分布是经济生活中一种非常重要的分布形式,在生活中有很多应用,如:物料订单的规划,道路交通信号灯的设计,生产计划的安排,海港发货船期的调度。
分布律:
数字特征
例子:
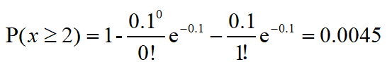
1、通过某路口的每辆汽车发生事故的概率为p=0.0001,假设在某路段时间内有1000辆汽车通过此路口,则求此时间段内发生交通事故次数X的概率分布。
通过路口的1000辆车是否发生交通事故,可以看成n=1000次伯努利试验,所以X服从二项分布,由于n=1000很大,p=0.0001很小,且np=0.1,所以X服从泊松分布,
此段时间内发生两次交通事故为:
2、连续概率分布
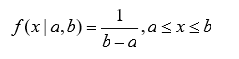
2.1、均匀分布
在概率论和统计学中,均匀分布也叫矩形分布,它是对称概率分布,在相同长度间隔的分布概率是等可能的。 均匀分布由两个参数a和b定义,它们是数轴上的最小值和最大值,通常缩写为U(a,b)
密度函数:
数字特征:
例:设电阻值R是一个随机变量,均匀分布在900ΩΩ~ 1100ΩΩ.求R概率密度及R落在950ΩΩ~1050ΩΩ的概率。
解:R的概率密度为
因此:
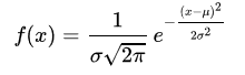
2.2、正太分布
正态分布(Normal distribution),也称“常态分布”,又名高斯分布。
若随机变量X服从一个数学期望为μ、方差为σ2的正态分布,记为N(μ, σ2)。
其概率密度函数为正态分布的期望值μ决定了其位置,其标准差σ决定了分布的幅度。
当μ = 0,σ = 1时的正态分布是标准正态分布。
密度函数:
数字特征
正太曲线的性质:

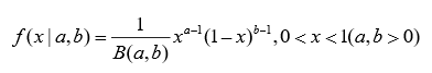
2.3、beta分布
贝塔分布(Beta Distribution) 是一个作为伯努利分布和二项式分布的共轭先验分布的密度函数。
在概率论中,贝塔分布,也称Β分布,是指一组定义在(0,1) 区间的连续概率分布。
我们先来举个例子,一个袋子里面有很多球,我们不知道球的个数只知道球的颜色(红,白),我们现在从中取出一个球(二次实验),根据先验经验我们猜测红白概率为(0.5,0.5),服从两点分布。那么我们开始有放回地从中抽取100次(多次二项试验),得到红球为70次,黄球为30次,这时候我们又重新猜测红白概率(0.7,0.3)。那么如果我们再将上面试验做150次,即重复150次的多次二次实验,最后得到红白概率为{0.7,0.3}这样概率为多少?这就是beta分布。
函数密度:
数字特征:
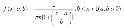
2.4、柯西分布
柯西分布主要应用于物理中,它是描述受迫共振的微分方程的解。在光谱学中,它用来描述被共振或者其他机制加宽的谱线形状。
密度函数:
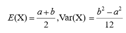
数字特征:均值和方差不存在
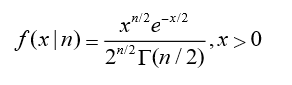
2.5、卡方分布
若n个相互独立的随机变量ξ₁,ξ₂,…,ξn ,均服从标准正态分布(也称独立同分布于标准正态分布),则这n个服从标准正态分布的随机变量的平方和构成一新的随机变量,其分布规律称为卡方分布
密度函数:
数字特征:
3、参考资料
https://wenku.baidu.com/view/142ccef848d7c1c708a145e3.html
https://wenku.baidu.com/view/8133c0056edb6f1aff001f1c.html
https://www.cnblogs.com/171207xiaohutu/p/9341681.html
https://wenku.baidu.com/view/2b4c13730242a8956bece4e9.html
最后
以上就是爱笑白羊最近收集整理的关于常见分布总结-高斯分布、伯努利分布、泊松分布、几何分布、beta分布的全部内容,更多相关常见分布总结-高斯分布、伯努利分布、泊松分布、几何分布、beta分布内容请搜索靠谱客的其他文章。
发表评论 取消回复