更新时间:2020/4/26
文章目录
- 一、两种分布
- 1.1 高斯分布(正态分布)
- 1.2 柯西分布(洛伦兹分布)
- 二、光谱线型函数
- 2.1 光谱线型函数的几种形式
- 2.2 洛伦兹线型函数与多普勒(高斯)线型函数
- 2.3 vogit 线型函数
- 参考文章
一、两种分布
1.1 高斯分布(正态分布)
正态分布(英语:normal distribution)又名高斯分布(英语:Gaussian distribution),是一个非常常见的连续概率分布。正态分布在统计学上十分重要,经常用在自然和社会科学来代表一个不明的随机变量。
若随机变量
X
X
X 服从一个位置参数为
μ
mu
μ、尺度参数为
σ
sigma
σ 的正态分布,记为:
X
∼
N
(
μ
,
σ
2
)
X sim N( mu , sigma^2 )
X∼N(μ,σ2)
则其概率密度函数为 f ( x ) = 1 σ 2 π e − ( x − μ ) 2 2 σ 2 {displaystyle f(x)={frac {1}{sigma {sqrt {2pi }}}};e^{-{frac {left(x-mu right)^{2}}{2sigma ^{2}}}}!} f(x)=σ2π1e−2σ2(x−μ)2
正态分布的数学期望值或期望值 μ mu μ 等于位置参数,决定了分布的位置;其方差 σ 2 sigma^2 σ2的开平方或标准差 σ sigma σ 等于尺度参数,决定了分布的幅度。
正态分布的概率密度函数曲线呈钟形,因此人们又经常称之为钟形曲线(类似于寺庙里的大钟,因此得名)。我们通常所说的标准正态分布是位置参数 μ = 0 mu =0 μ=0,尺度参数 σ 2 = 1 sigma^2 = 1 σ2=1 的正态分布,这个分布能够简化为:
f ( x ) = 1 2 π exp ( − x 2 2 ) f(x) = frac{1}{sqrt{2pi}} , expleft(-frac{x^2}{2} right) f(x)=2π1exp(−2x2)。
正态分布的概率密度函数均值为 μ mu μ 方差为 σ 2 sigma^2 σ2 (或标准差 σ sigma σ)是高斯函数的一个实例:
f ( x ; μ , σ ) = 1 σ 2 π exp ( − ( x − μ ) 2 2 σ 2 ) f(x;mu,sigma) =frac{1}{sigmasqrt{2pi}} , exp left( -frac{(x- mu)^2}{2sigma^2} right) f(x;μ,σ)=σ2π1exp(−2σ2(x−μ)2)。
正态分布中一些值得注意的量:
- 密度函数关于平均值对称 平均值与它的众数(statistical mode)以及中位数(median)同一数值。
- 函数曲线下68.268949%的面积在平均数左右的一个标准差范围内。
- 95.449974%的面积在平均数左右两个标准差 2 σ 2 sigma 2σ 的范围内。
- 99.730020%的面积在平均数左右三个标准差 3 σ 3 sigma 3σ 的范围内。
- 99.993666%的面积在平均数左右四个标准差 4 σ 4 sigma 4σ 的范围内。
- 函数曲线的拐点(inflection point)为离平均数一个标准差距离的位置。
累积分布函数是指随机变量 X X X小于或等于 x x x 的概率,用概率密度函数表示为
F ( x ; μ , σ ) = 1 σ 2 π ∫ − ∞ x exp ( − ( t − μ ) 2 2 σ 2 ) d t . F(x;mu,sigma) =frac{1}{sigmasqrt{2pi}} int_{-infty}^x exp left( -frac{(t - mu)^2}{2sigma^2} right), dt. F(x;μ,σ)=σ2π1∫−∞xexp(−2σ2(t−μ)2 )dt.
下图是几个高斯分布的概率密度函数,其中红线是标准高斯分布

下图是与上图颜色对应的 累积概率密度函数:

维基百科:https://zh.wikipedia.org/wiki/%E6%AD%A3%E6%80%81%E5%88%86%E5%B8%83
1.2 柯西分布(洛伦兹分布)
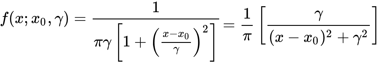
柯西分布也叫作 柯西-洛伦兹分布,它是以奥古斯丁·路易·柯西与亨德里克·洛伦兹 名字命名的连续概率分布,其概率密度函数为:

其中x0是定义分布峰值位置的位置参数,γ是最大值一半处的一半宽度的尺度参数。
作为概率分布,通常叫作柯西分布,物理学家也将之称为洛伦兹分布或者Breit-Wigner分布。在物理学中的重要性很大一部分归因于它是描述受迫共振的微分方程的解。在光谱学中,它描述了被共振或者其它机制加宽的谱线形状。在下面的部分将使用柯西分布这个统计学术语。
x0 = 0且γ = 1的特例称为标准柯西分布,其概率密度函数为
f ( x ; 0 , 1 ) = 1 π ( 1 + x 2 ) . f(x; 0,1) = frac{1}{pi (1 + x^2)}. ! f(x;0,1)=π(1+x2)1.
其累积分布函数为:
F ( x ; x 0 , γ ) = 1 π arctan ( x − x 0 γ ) + 1 2 F(x; x_0,gamma)=frac{1}{pi} arctanleft(frac{x-x_0}{gamma}right)+frac{1}{2} F(x;x0,γ)=π1arctan(γx−x0)+21
柯西分布的逆累积分布函数为
F − 1 ( p ; x 0 , γ ) = x 0 + γ tan ( π ( p − 1 / 2 ) ) . F^{-1}(p; x_0,gamma) = x_0 + gamma,tan(pi,(p-1/2)). ! F−1(p;x0,γ)=x0+γtan(π(p−1/2)).
柯西分布的平均值、方差或者矩都没有定义,它的众数与中值有定义都等于 x0
下图是几个柯西分布的概率密度函数,其中绿线是标准柯西分布

下图是与上图颜色对应的 累积概率密度函数:

维基百科:https://zh.wikipedia.org/wiki/%E6%9F%AF%E8%A5%BF%E5%88%86%E5%B8%83
二、光谱线型函数
谱线宽度 是指 光谱曲线最大强度的一半处所对应的两个波长之差,定义为 该光谱的谱线的宽度,也称作半宽度。发射光谱半宽度的大小 用来衡量发射光谱 谱线宽窄程度。为更准确得到谱线宽度,需要对谱线线型进行拟合。
谱线的展宽大致分为三类:均匀展宽、非均匀展宽和综合展宽。均匀展宽中自然展宽和碰撞展宽最具代表性,它们的谱线轮廓可以用洛伦兹线型来描述,而由多普勒频移效应导致的多普勒展宽是典型的非均匀展宽例子,谱线轮廓可以用高斯线型来描述。以上两种线型是假设只有一种加宽机制存在的情况,而实际实验中引起谱线展宽的过程不是单一的,总是同时存在几种加宽机制且相互间有一定的联系。此时,总线宽及其线型是由它们按一定的规律合成而得到,称为综合展宽。其中最普遍的是洛伦兹线型和多普勒线型的卷积,可以用 Voigt 线型来描述。
2.1 光谱线型函数的几种形式
光谱线型是发光能量(或功率)、光子数随波长、频率的分布,所以光谱线型函数有四种形式,即光子数按频率的分布函数、光子数按波长的分布函数、能量按频率的分布函数及能量按波长的分布函数。

2.2 洛伦兹线型函数与多普勒(高斯)线型函数

关于多普勒线型函数,有的资料上也叫高斯线型函数。仔细对比就会发现洛伦兹线型函数与洛伦兹分布概率密度函数、高斯线型函数与高斯分布概率密度函数超级相似,了不起就是前边多个系数。个人猜测,俩线型函数是由俩分布推导而来的。
2.3 vogit 线型函数
vogit 线型是洛伦兹线型与多普勒线型的卷积
由于光谱线型中包含有发光粒子的内部结构、粒子间相互作用、周围环境(如温度和压力)等信息,光谱线型的研究在化学反应动力学、气象学、宇宙学等研究领域有很重要的理论意义和应用价值。在实际的发光系统,如多普勒展宽和碰撞展宽共存的气体放电系统中,导致谱线展宽的机制不是孤立、单一存在的,两种展宽机制都存在,光谱线型由它们按一定的规律合成为综合展宽线型。此时线型函数是高斯线型函数和洛伦兹线型函数的卷积形式,被称为 Voigt 线型函数。

参考文章
[1] 武臣. 光谱线型函数及拟合方法的研究[D].
[2] 尹增谦, 武臣, 宫琬钰,等. Voigt线型函数及其最大值的研究[J]. 物理学报, 2013(12):220-224.
【注】:本文大部分内容都来源于上述两篇论文,非常感谢前辈们的研究,写这篇博文主要是为了方便以后查阅而做的笔记。
最后
以上就是壮观马里奥最近收集整理的关于高斯分布+柯西-洛伦兹分布+三种光谱线型函数(洛伦兹线型函数+多普勒[高斯]线型函数+vogit 线型函数)一、两种分布二、光谱线型函数的全部内容,更多相关高斯分布+柯西-洛伦兹分布+三种光谱线型函数(洛伦兹线型函数+多普勒[高斯]线型函数+vogit内容请搜索靠谱客的其他文章。
发表评论 取消回复