典型的无线定位方法主要有四种:
1.基于信号到达时间(TOA);
2.基于信号到达时间差(TDOA);
3.基于信号到达角度(AOA)
4.基于接信号强度(RSSI)
各自有着不同的优势和应用范围。
定位时一分为两步,第一步:测量时间、角度、信号强度;
第二步:结合各个节点的几何位置或者信号强度指纹库计算或匹配标签节点的相对位置。
基于信号到达时间的定位方法TOA估计法
TOA定位的原理是根据待定位节点到参考基站的时延估计,从而获得参考点到定位点之间的距离。TOA 的定位方法具有其他定位方法不能超越的优势其在接收端能够充分利用超宽带信号时间分辨率高的特点检测出信号的时延从而估计出待定位节点到参考基站的距离,再根据基本的UWB定位算法就可以计算出待定位节点的坐标。TOA 定位在三维空间的定位模型为球形模型,至少需要四个基站,根据几何知识,四个基站不能在同一平面上。定位精度与基站间精确的时钟同步也有密切的关系。在加上高斯白噪声环境中,方差估计的下限可利用Cramer-Rao下限得出下面的公式(1):

式中,SNR表示信噪比;β是信号的有效带宽。设电磁波在空气中传播的速度为c,t表示发送信号从参考基站传播到定位点所用的时间,那么ct 则表示两者的距离。由几何模型可知,待定位点一定位于以参考基站为圆心,基站与待定位点的距离为半径的三个圆的交点上。所以TOA 定位也叫圆周定位,如图下图所示。

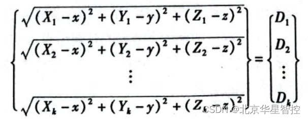
在三维的定位环境中,可以根据式(2)出定位节点的坐标:

式中,(Xk,Yk,Zk是已知的参考基站的坐点;(x,y,z) 是需要定位的节点坐标;D是待定位节点到第个参考基站的距离值。
按照移动台是否与参考基站有时钟同步关系,TOA的测距方式可以分为两种:单程测距(One Way Ranging,OWR)和双程测距(Two Way Ranging,TWR)。
(1)单程测距方式
如果待定位节点与参考基站间有着共同的时钟,那么我们采用单程测距来计算两者之间的距离值。如图下图所示,假设节点A在时刻 T0将包含时间标识的信息包传递给接收节点 B,接收节点在T1时刻收到该信号,则两个节点的距离为c(T1-T0),其中c为电磁波的传播速度。

(2)双程测距方式
如果参考基站与待定位节点间没有共同的时钟,那么我们使用双程测距来完成,利用收发双方往返的时间差来求解距离。如图下所示,发射端A在T0时刻发射超宽带信号,在T1时刻接收到该信号。由此可以计算出脉冲信号在两个模块之间的飞行时间,从而确定飞行距离d,见式(3):

要获得良好的定位精度,必须实现定位节点与参考基站间完全的时间同步其作用就是使收发双方的时间步调相同。但在实际中,由于存在多路径环境的影响,信号在传输的过程中存在噪声的干扰,导致它很难实现待定位点与参考基站之间严格的时间同步,往往存在随机时延。相交的往往不是一个点,而是一个区域,需要采用辅助的定位算法来进行目标位置的计算。这样就使得我们对高精度时间获取非常昂贵,即使非常微小的时间差值都可能会导致百米的距离误差。虽然双程测距能够避免待定位节点和参考基站之间的时间差值,但是信号需要在定位点和参考基站之间往返两次,这就累加了信号传播过程中的误差,降低了定位的精度。所以,基于TOA 的定位方法在实际当中并不经常使用。

基于信号到达时间差的定位方法TDOA估计法
基于时间差的定位方法不需要参考基站与定位点的时间同步,仅要求参考基站之间严格的时间同步即可,定位原理如下图所示。这样很容易做到,因为只要接入到同一个网络中就能保证参考基站间的时钟的同步,相对于TOA的定位技术,TDOA定位技术更容易实现。在实际的应用当中,往往使用三个以上的参考基站来进行超宽带的定位,这样可以利用TDOA值得到的冗余信息来提高定位的准确度,降低定位过程中的误差。

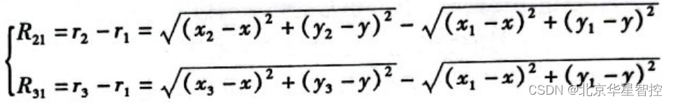
TDOA定位方法也叫双曲线测距法,这种方法的基本原理是:不同的参考基站在不同的时刻收到待定位点发射的信号,根据如上 TOA 测量方式获得TOA 值。选取某一个参考基站作为基准,用其他各个参考基站的 TOA值减去该基准基站的TOA 值,得到一系列的时间差,即为TDOA 值。待定位点一定处于以两个参考基站为焦点的双曲线上,联立双曲线方程组即可得到目标节点。
图中,BS1,BS2,BS3为三个参考基站,BS1为基准基站,假设电磁波信号到达三个参考基站的时间分别为t1,t2,t3,Ri1待定位节点第i个参考基站与到基准参考基站间的距离差值,ri表示待定位节点与第个参考基站的距离,则Ri1=c(ti-t1)。双曲线方程组见式(4),求解方组即可求得带定位节点坐标 (x,y)值。

基于信号到达角度的定位方法AOA估计法
基于信号到达角度定位方法的最大特点就是不需要测量待定位点到参考基站间的距离,而是直接利用发射信号到达基站接收天线时的入射角度进行定位。AOA定位方法需要在基站上方建立智能天线矩阵,若是待定位点与参考基站间在有LOS环境时,则利用直达路后号的到达角度测量得到目标的位置信息,位原理如下图所示。在二维空间下,仅仅需要两个参考基站就能完成。具体的实施步骤为:a)智能天线矩阵在接收端对移动站发送信号的方位角信息构造正切函数方程组;b)联立方程组,求得目标的坐标。

根据上可得式(5)所示的方程组。

解该方程组得到定位点坐标(x,y),但当MS,BS1,BS2处于同一条直线上时,方程组无解。当信号在实际的环境中传播时由于环境复杂多变,到达角度很难测量。此外,AOA 算法需要基站之间严格的时间同步和严密的协同计算且在具体的实施中移动台与基站间角度关系的获取存在很大的难度。同时,为了获得精准的定位信息,终端需要同时与两个及两个以上的基站进行通信。
最后
以上就是淡然烤鸡最近收集整理的关于UWB定位算法介绍的全部内容,更多相关UWB定位算法介绍内容请搜索靠谱客的其他文章。
发表评论 取消回复