我是靠谱客的博主 花痴大米,这篇文章主要介绍数字逻辑概论,现在分享给大家,希望可以做个参考。

【数电笔记】01 数字逻辑概论

      • 1.1 数字信号与数字电路
      • 1.2 数制
      • 1.3 数制转换
      • 1.4 二进制代码
      • 1.5 二值逻辑变量与基本逻辑运算
      • 1.6 逻辑函数及其表示方法

1.1 数字信号与数字电路

1、电子电路中信号可分为数字信号和模拟信号

模拟信号:

数字信号:

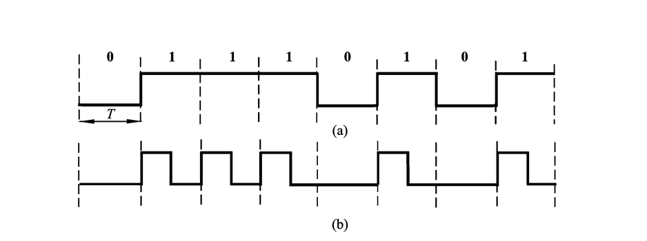
2、数字波形

比特率:每秒钟传输数据的位数

归零型与非归零型:

如果在一个时间拍内用高电平代表1,低电平代表0,则该波形称为非归零型。
如果在一个时间节拍内有脉冲代表1,无脉冲代表0,则该波形称为归零型。

周期性与非周期性:

占空比q:表示脉冲宽度tw占整个周期T的百分数。

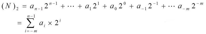
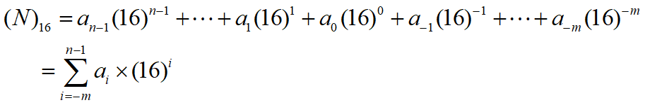
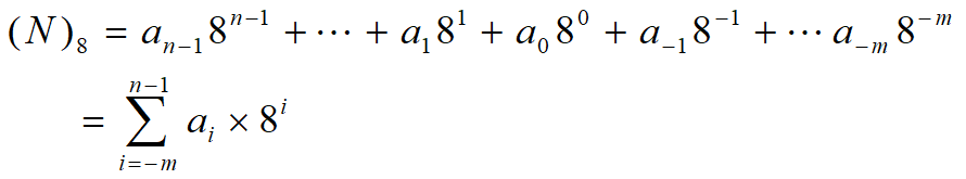
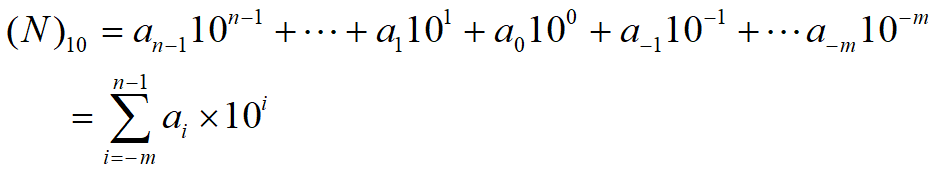
1.2 数制

1、十进制数的表述方法

特点:
在每个位置只能出现十进制数数码中的一个。
低位到相邻高位的进位规则是“逢十进一”,故称为十进制。
同一数码在不同的位置(数位)表示的数值是不同的。

2、二进制数的表述方法

加减乘除:

3、八进制数的表述方法

4、十六进制数的表述方法

1.3 数制转换

各进制代表字母
二进制:B
八进制:O
十进制:D
十六进制:H

1、十六进制、二进制与十进制之间的转换

① 二进制→十进制:将对应的二进制数按个位权展开并把各值相加即可。

②十六进制→十进制:将对应的十六进制数按个位权展开并把各值相加即可。

2、十进制转换为二进制、十六进制数

①十进制→二进制:采用基数乘除法

②十进制→十六进制数:采用基数乘除法

3、二进制与十六进制之间的转换

①二进制→十六进制

从小数点开始分别向左右分节,不足四位则补零,然后用一个等值的十六进制数代换。

②十六进制→二进制

将每个十六进制数用4位二进制来写,其最左侧或最右侧的零可以省去。

③ 八进制→二进制

将每个八进制数用3位二进制来写,其最左侧或最右侧的零可以省去。

1.4 二进制代码

编码:
将二进制数以一定的规则编制代码,用以表示十进制数制、字母、符号等的过程。
码制:
编制代码所要遵循的规则

1、BCD码:4位二进制数→十进制数0~9

(1)几种常用的BCD码

(2)求BCD码表示的十进制数
对于有权BCD码,可以根据位权展开求得所代表的十进制数。

(3)用BCD码表示十进制的数

注意BCD码的最高位和最低位零都不能省略。

2、格雷码

格雷码是无权码,特点是任何两个相连代码之间仅有一位不同。该特点可以很好的用于模拟量的转换

(1)二进制码到格雷码的转换
① 格雷码的最高位(最左边)与二进制码的最高位相同
② 从左到右,逐一将二进制码相邻的两位相加(舍去进位),作为格雷码的下一位。

(2)格雷码到二进制码的转换
将产生的每一位二进制码,与下一位相邻的格雷码相加(舍去进位)作为二进制码的下一位。

3、ASCII码

1.5 二值逻辑变量与基本逻辑运算

  • 逻辑运算:当0和1表示逻辑状态时,两个二进制数码按照某种特定的因果关系进行的运算。逻辑运算使用的数学工具是逻辑代数。
  • 逻辑代数中只有0和1两个可取值他们分别用来表示 两个完全对立的两个逻辑状态。
  • 逻辑代数中有与或非三种基本的逻辑运算
  • 逻辑运算的描述方式:逻辑代数表达式、真值表、逻辑图、卡诺图、波形图和硬件描述语言(HDL)

1、与运算

与逻辑:只有当决定某一事件的条件全部具备时,这一事件才会发生。

与运算逻辑真值表:

与逻辑符号:

2、或运算

或逻辑:只要在决定某一事件的各种条件中,有一个或几个条件具备时,这一事件就会发生。

或逻辑举例:

或运算真值表:

或逻辑符号:

3、非运算

非逻辑:当事件发生的条具备时,事件不发生;当事件发生的条件不具备时,事件发生。

非逻辑真值表:

非逻辑符号:

4、几种常见的复合运算

①与非运算

② 或非运算

③ 异或逻辑

两个输入变量的值相异,输出为1,否则为0

④ 同或运算

两个输入变量的值相异,输出为1,否则为0

1.6 逻辑函数及其表示方法

逻辑变量分为两种:输入逻辑变量和输出逻辑变量

最后

以上就是花痴大米最近收集整理的关于数字逻辑概论的全部内容,更多相关数字逻辑概论内容请搜索靠谱客的其他文章。

本图文内容来源于网友提供,作为学习参考使用,或来自网络收集整理,版权属于原作者所有。
点赞(213)

评论列表共有 0 条评论

立即
投稿
返回
顶部