时序电路设计1
- 1.时序电路设计步骤:
- 2.形式化
- 3.状态赋值
1.时序电路设计步骤:
1.功能说明;
2.形式化:做状态图或状态表;
3.状态赋值:给每一个状态指定一个编码;
4.确定下一状态方程→触发器的输入方程;
5.确定输出方程;
6.优化表达式;
7.工艺映射;
8.验证。
2.形式化
●方式:做状态图或状态表
●状态:状态是对输入历史的处理或抽象,记录着有意义的、过去的输入特性,用来影响未来的输出。状态要尽可能被重用,即抽象程度要尽量高。
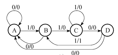
●例:做出1101序列识别器的状态图及状态表:
1).Mealy型电路:


2).Moore型电路:增加一个状态形成输出

Moore型电路状态数通常比Mealy型多;输出不直接随输入而变。
●等价状态:
如果两个状态对于任意一个输入序列,其输出序列均相同;或者对于任意一个输入符号,其输出相同,并且下一个状态相同或等价,则称该两个状态等价。
等价的状态可以合并,仔细定义新的状态可以减少多余的状态。
3.状态赋值
●设有m个状态需要编码(赋值),最少需要logm个二进制位,赋值时用了几个二进制位就要用几个触发器。
●计数顺序分配法:A=00, B=01, C=10, D=11

●格雷码分配法:A=00, B=01, C=11, D=10

●单热点分配法:A=0001, B=0010, C=0100, D=1000

●使用根据:
1).计数分配法适用于大部分情况;
2).格雷码分配法可以对触发器输入方程进行化简,电路功耗少,成本低,出错可能性小,适用于状态繁多的情况;
3).单热点分配法能很容易地获取下一方程(卡诺图中只有一个1),调试分析简单,适用于需快速得到结果的情况。
最后
以上就是如意大神最近收集整理的关于第23讲 时序电路设计11.时序电路设计步骤:2.形式化3.状态赋值的全部内容,更多相关第23讲内容请搜索靠谱客的其他文章。
本图文内容来源于网友提供,作为学习参考使用,或来自网络收集整理,版权属于原作者所有。
发表评论 取消回复