学习《A Tutorial on Joint Radar and Communication Transmission for Vehicular Networks - Part II: State of the Art and Challenges Ahead》笔记
名词注释
State-of-the-art (SoA):最先进技术
Vehicle-to-everything (V2X):车联万物
Global Navigation Satellite System (GNSS):全球导航卫星系统
Massive multi-input multi-output (mMIMO):大规模多输入输出
Vehicle-to-infrastructure (V2I):车联基站
Channel state information(CSI):信道状态信息
Angel of arrival(AoA):到达角
Angel of departure(AoD):偏离角
Extended Kalman filtering(EKF):扩展卡尔曼滤波
Auxiliary beam pair(ABP):辅助波束对
Base station(BS):基站
Uniform linear array(ULA):均匀线性阵列
Road side unit(RSU):道路侧单元
Radar cross-section(RCS):雷达横截面
Cumulative distribution function(CDF):累积分布函数
V2X DFRC
①DFRC旨在联合优化车辆通信性能与兼具定位与感知的遥感性能。
②V2X的应用场景中关键技术的时延要求在数十毫秒,传统通信技术的时延在数百毫秒;V2X的车辆定位与环境感知具有高分辨率的要求,GNSS的感知精度差,传输速率低,无法满足V2X的要求。
③通信过程中,需要建立可靠的通信链路来保护QoS。传统方法是通过通信协议,利用信令与导频的频繁反馈来完成波束的训练与跟踪,但是难以满足高移动性的V2X网络。利用雷达传感辅助通信的DFRC方法相较于传统方法,时延更低,频谱利用率更高,是推进V2X网络的关键技术。
波束训练与追踪

①mmWave CSI包括AoA,AoD,信道增益
②波束训练:Tx发送多束导频,Rx选取SNR较大的波束,估计CSI并反馈给Tx,根据CSI,Tx、Rx分别制定发射波束成型器与接收波束成型器。传统波束训练需要权衡估计精度与导频开销。传输更多的导频会获得更高的精度,提高信道增益与信噪比,但是会增加传输的成本与时延,在高移动性的V2X网络中会引起波束错位从而造成性能损失。
③波束追踪:波束追踪在开始时同样需要进行波束训练,但在随后的信息块中只需发送导频来追踪信道的变化。
ABP波束追踪技术
①技术应用场景:具有Nt个发射天线的mMIMO基站在LoS信道中为单天线用户提供服务。
②技术目标:通过BS已知的用户第n-1个epoch中的来预测第n个epoch中的
。
③ABP技术使用波束成形器与
形成导频
与
,导频在用户端接收可表示为
、
![]()
其中α为LoS信道的信道系数,a()为BS的转向向量,
与
均为方差为
的高斯白噪声
假设基站ULA具有半波长间距并且用表示-π·cos(
),可将转向向量a(
)表示为下式
![]()
由于与
具有时间相关性,两者相距不远,故可根据特性设计波束成形器为
![]()
令导频信号为1来计算用户端接收信噪比,通过信噪比来计算,从而在已知
的情况下求出

通过=arccos(
) 求得
,在接收信噪比均为完全估计时
=
④此方法以少量的导频完成了波束追踪但进行了大量的上行反馈,并且具有一定的估计误差,不适合高移动性的V2X网络。
DFRC技术
①应用场景:具有Nt个发送天线与Nr个接收天线的mmWaveRSU与匀速车辆通过LoS信道通信,假设天线阵列均为ULA并且与道路平行,此时AoA与LoS路径上的AoD相同。
②RSU为车辆传输DFRC窄波信号s(t),车辆接收阵列在接收信号的同时,车身反射回波,在第n个·epoch中RSU接收到回波信号,估计得到
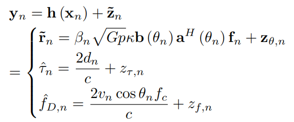
RSU接收到的回波表达式如下:
![]()
其中 为阵列增益,
为RCS与路径损耗,
为径向速度产生的多普勒频率,a(
)与b(
)分别为发射转向矢量与接收转向矢量,
为发射波束成形器
③RSU发射的窄波信号在车辆处接收信号可表示为下式:
![]()
其中为信道系数,
为接收波束成形器,
为车辆的数组响应向量,
为DFRC的AoA,在假设场景中等同于AoD的
④ 基于与模型,RSU预测
与
用于RSU的发射波束形成与车辆的接收波束成形。RSU通过匹配滤波器将
与s(t)匹配得到
与
用于补偿
,从而得到
![]()
G为匹配滤波增益(通常为s(t)的能量)
RSU的估计结果可用表示

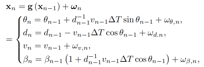
可以通过拓展卡尔曼滤波器获得
,用于预测
与
,预测模型如下式:

其中为状态噪声
重点:基于,RSU建立
,用于下一epoch的发送波束成形;基于
,车辆接收端建立
,用于下下epoc的接收波束成形。由于迭代估计来形成高质量的通信链路。
⑤DFRC技术相比单一通信的优势:
A:DFRC的s(t)兼顾通信与传感,减少了导频,提升了雷达估计的精度
B:使用目标反射回波代替上行反馈,减少了通信开销
C:单一通信需要在反馈前量化角度,DFRC直接使用回波估计,减少了估计误差
D:DFRC用信号进行雷达传感,受益于匹配滤波增益G,精度高于仅适用有限导频进行传感。
⑥现阶段面临问题
A:模型非线性:EKF在面对复杂车辆信号时性能会有所下降,需探索更多可以进一步提升波束跟踪性能的方法
B:依赖于状态转换模型:现阶段,车辆角度的变化由状态转换模型预测,在复杂交通环境中模型形成困难
C:波束关联:DFRC采用信号回波进行传感,但回波中不能添加信息,需要开发波束关联算法将回波关联到正确的目标
总结
这篇论文的第二部分主要讲了传统通信的波形训练与追踪,讲述了ABP波束追踪技术,详细介绍了DFRC运用雷达传感辅助通信的技术,并且量化了性能,展现了DFRC在V2X网络中的关键作用。
知识输出促进消化,意在记录学习过程,希望大佬们看到错误可以指出。
最后
以上就是超级火车最近收集整理的关于无痛学习ISAC(三)名词注释 V2X DFRC波束训练与追踪DFRC技术总结的全部内容,更多相关无痛学习ISAC(三)名词注释 V2X内容请搜索靠谱客的其他文章。
发表评论 取消回复