最简单画Bode图就是bode(tf(num,den))就能解决,但是有些传递函数并不是线性的,比如带有延时之类,Bode函数对于这类问题就无能为力
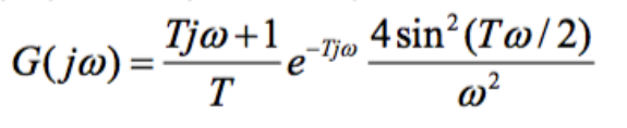
给定系统传递函数

w=logspace(-2,4,1000);
G=(1-exp(-i*w)).^(2).*(i*w+1)./(-w.^2);
margin=abs(G);
phase=angle(G)*180/pi;
figure(1);
hold on;
subplot(2,1,1);
semilogx(w,20*log10(margin),'k');
title('幅频图')
subplot(2,1,2);
semilogx(w,phase,'r')
title('相频图')
最后
以上就是陶醉雪碧最近收集整理的关于MATLAB画带延时系统的伯德图的全部内容,更多相关MATLAB画带延时系统内容请搜索靠谱客的其他文章。
本图文内容来源于网友提供,作为学习参考使用,或来自网络收集整理,版权属于原作者所有。
发表评论 取消回复