Pure Pursuit是一种几何跟踪控制算法,也被称为纯跟踪控制算法。该算法最早由R. Wallace在1985年提出,其思想是基于当前车辆的后轮中心位置(车辆质心),在参考路径上向
(称为前视距离)的距离匹配一个预瞄点,假设车辆后轮中心可以按照一定的转弯半径????行驶至该预瞄点,然后根据前视距离
、转弯半径????、车辆坐标系下预瞄点的朝向角????之间的几何关系来计算前轮转角
。

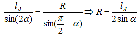
如上图所示,在三角形OAC中,根据正弦定理可得:

根据车辆的运动学方程,有:

所以,前轮转角为:
![]()
车辆坐标系下预瞄点的朝向角????可以由AC的方向角减去车身航向角获得。
定义横向误差为后轮中心位置和预瞄点在横向上的误差,如上图中的
。
![]()
当前轮转角很小是,横向误差可以近似为:

所以,该算法近似于一个P控制器,跟踪效果由前视距离
决定。
利用Matlab可以得到该算法跟踪一个圆形轨迹的效果如下图所示。

减小前视距离,仿真结果如下图所示,可以看出跟踪结果出现了一定程度的震荡,这是因为前视距离减小后,近似P控制器的比例系数增加,从而造成动态响应出现超调和震荡。

如果预瞄点如下图所示,那么????大于90度,车辆后轮的运行轨迹应该是大圆,绕了一个大圈,是在向后跟踪,此时的前轮转角计算公式仍然不变。

在三角形OAC'中,根据正弦定理,有:

所以,前轮转角计算公式仍为:
![]()
最后,再看下????等于90度的情况,车辆后轮的运行轨迹应该是右上那个半圆。

如上图所示,有:
![]()
很容易求得前轮转角的大小为:

通过以上分析,不难发现,三种情况下的前轮转角计算公式均适用,同样“近似P控制器”这个结论在上述三种情况下也都成立。
最后
以上就是如意龙猫最近收集整理的关于路径跟踪之Pure Pursuit控制算法的全部内容,更多相关路径跟踪之Pure内容请搜索靠谱客的其他文章。
发表评论 取消回复