目录
全书目录
第1章知识点
01、比较连续和离散信号的周期性判断
02、信号的时间变换
03、冲激函数的性质
04、判断描述LTI系统的是线性常系数差分方程
05、由微分方程画框图
06、综合举例
第2章知识点
01、微分方程的经典解:完全解 = 齐次解 + 特解
齐次解
特解
02、从已知的初始状态y(j)(0-)设法求得y(j)(0+)
特殊方法
基本方法(系数分配法)
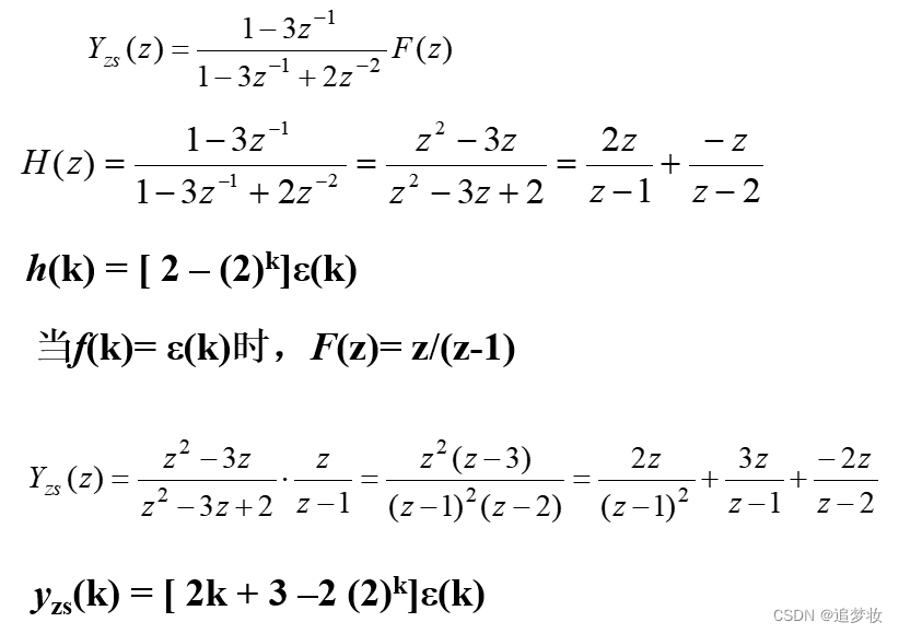
03、零输入响应与零状态响应
定义
求法
04、冲激响应
定义
求解方法
例题
05、阶跃响应
定义
求解方法
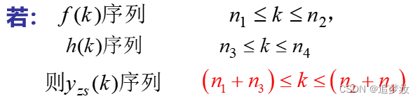
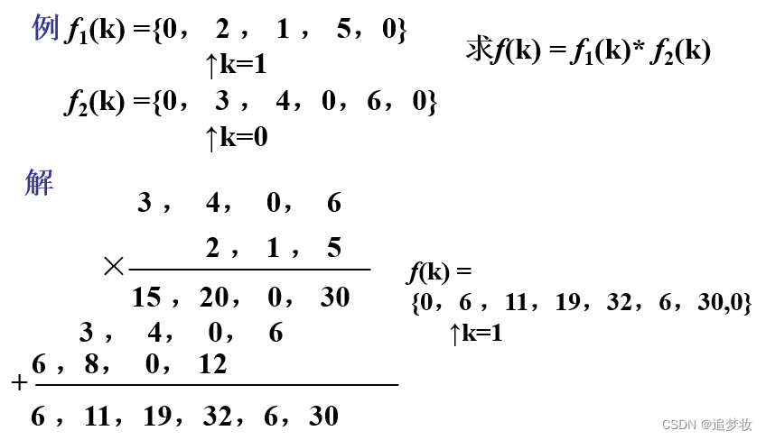
06、卷积积分
定义
任意信号作用下的零状态响应编辑
定义法求卷积
图解法求卷积
07、卷积积分的性质
卷积的代数运算(交换律、分配率和结合律)
函数与冲激和阶跃函数的卷积
卷积的微分与积分
第3章知识点
01、差分方程的经典解
齐次解
特解
全解
02、零输入响应
定义
求解方法
03、零状态响应
定义
求解方法
04、单位序列响应和阶跃响应
定义
求解方法
常用求和公式
05、卷积和
定义
任意序列作用下的零状态响应
卷积的图解法
不进位乘法求卷积
卷积和的性质
第4章知识点
01、正交矢量集
正交矢量集
完备正交函数集
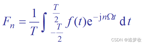
02、傅里叶级数
傅里叶级数的三角函数形式
傅里叶级数的指数形式
傅里叶级数的两种形式的对比
03、奇、偶函数的傅里叶级数
04、周期信号的频谱
05、周期信号的功率
06、非周期信号的频谱
频谱密度函数编辑
傅里叶变换与反变换
07、常用函数的傅里叶变换【重要】
08、信号与其傅里叶变换的奇偶性
09、傅里叶变换的性质
线性
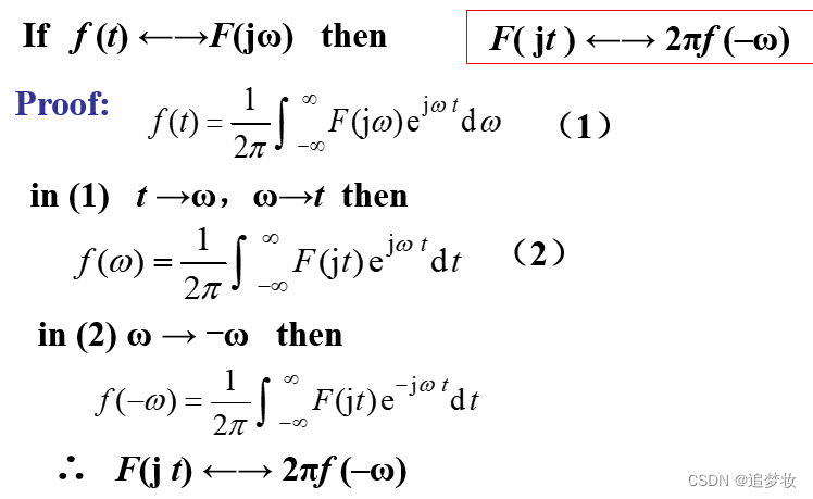
对称性
尺度变换
时移特性
频移特性
卷积定理
编辑时域的微分和积分
利用傅立叶变换计算积分
性质的综合整理【重点】
10、能量谱
11、周期信号的傅里叶变换
正、余弦的傅里叶变换
编辑
一般周期信号的傅里叶变换
编辑
傅里叶系数与傅里叶变换
12、LTI系统的频域分析
频域响应
频率响应H(jω)的求法
例题编辑
无失真传输
理想低通滤波器
13、取样定理
理想取样(周期单位冲激取样)
时域取样定理
第5章知识点
01、拉普拉斯变换
定义
收敛域
(单边)拉普拉斯变换
常见函数的拉普拉斯变换
02、拉普拉斯变换的性质
线性性质
尺度变换
时移特性
复频移(s域平移)特性
时域的微分特性(定理)
时域积分特性(积分定理)
s域微分和积分
初值定理和终值定理
总结
03、拉普拉斯逆变换
部分分式展开法的求解方法
第一种情况:单阶实数极点
第二种情况:有重根存在
04、复频域分析
微分方程的变换解
求解方法
系统函数
系统的s域框图
电路的s域模型
第6章知识点
01、z变换
收敛域
常用序列的z变换
02、z变换的性质
线性性质
移位特性
z域尺度变换
卷积定理
z域微分(序列乘k)
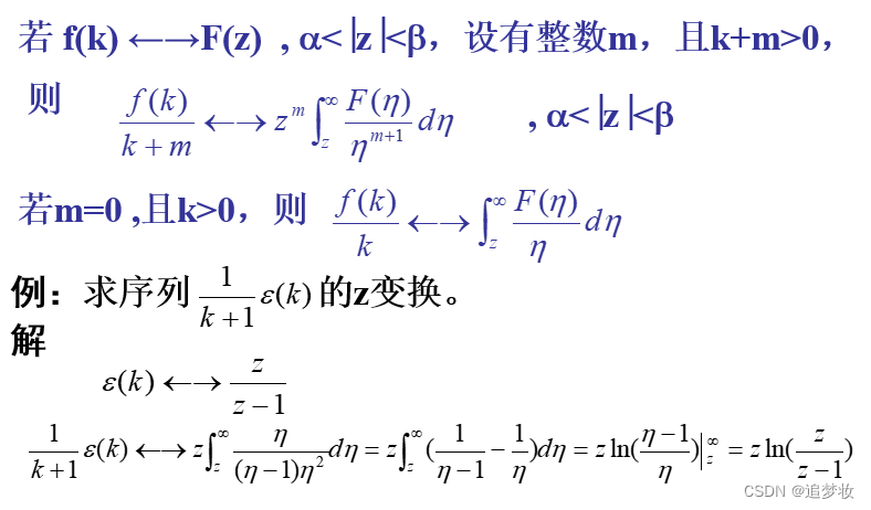
z域积分(序列除(k+m) )(不作要求)
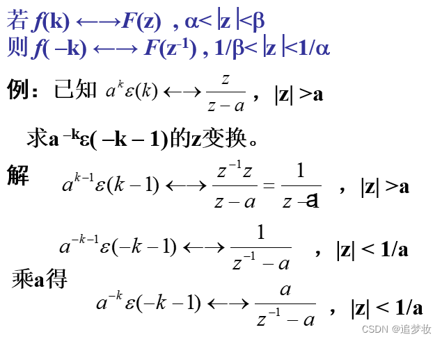
k域反转
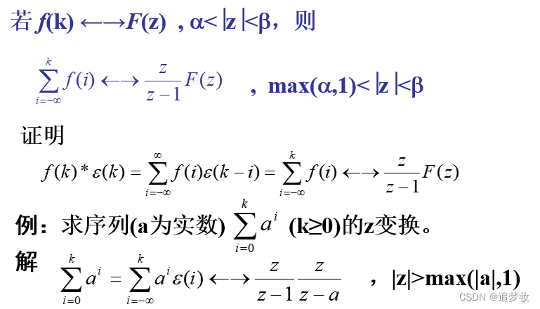
部分和
初值定理
终值定理
总结
03、逆z变换
幂级数展开法
部分分式展开法(真分式)【重点】
04、z域分析【重点】
差分方程的变换解
系统函数
系统的z域框图
利用z变换求卷积和
s域与z域的关系
第7章知识点
01、系统函数与系统特性
系统函数的零、极点分布图
系统函数H(·)与时域响应h(·)
系统函数与频率响应
02、系统的因果性
03、系统的稳定性
(1)连续系统稳定的充分必要条件
(2)离散系统稳定的充分必要条件
连续因果系统稳定性判断准则—罗斯-霍尔维兹准则
离散因果系统稳定性判断准则—朱里准则
04、信号流图
信号流图
梅森公式
05、系统的结构
一、直接实现---利用Mason公式来实现
二、级联实现
三、并联实现
全书目录
第一章 信号与系统 信号与系统_第1章 信号与系统
第二章 连续系统的时域分析 信号与系统_第2章 连续系统的时域分析
第三章 离散系统的时域分析
第四章 傅里叶变换和系统的频域分析
第五章 连续系统的s域分析
第六章 连续系统的z域分析
第七章 系统函数
第八章 系统的状态变量分析
附录
第1章知识点
01、比较连续和离散信号的周期性判断
注意对于离散信号来说,想要序列是周期信号,每个三角函数的周期都不能为无理数,即2π/ β不能为无理数。
02、信号的时间变换
通常情况下,是先平移,再压缩,最后反转
03、冲激函数的性质

04、判断描述LTI系统的是线性常系数差分方程
判断方法:方程中均为输出、输入序列的一次关系项,则是线性的。输入输出序列前的系数为常数,且无反转、展缩变换,则为时不变的。
具体的可以见本专栏的“信号与系统_第1章 信号与系统”的“1.6.2 系统的分类与性质”
一个既具有分解特性,又具有零状态线性和零输入线性的系统称为线性系统,否则称为非线性系统。
判别方法:①各阶导数是一次方;②没有相乘项;③没有常数项
05、由微分方程画框图
面对较为复杂的微分方程,我们可以引入中间变量
06、综合举例



【注意】线性系统的一些性质使用,在求导和移项时需要先把ε(t)补充完整
第2章知识点
01、微分方程的经典解:完全解 = 齐次解 + 特解
齐次解
由特征方程→求出特征根→写出齐次解形式
特解
根据微分方程右端函数式形式,设含待定系数的特解函数式→代入原方程,比较系数定出特解。

求全解的步骤:
1. 特征方程和特征根求齐次解(含参数)
2. 根据输入形式得到含参数的特解,代入原方程得到完整的特解形式
3. 根据全解(含参数)和初始状态求出特解的参数,得到完整的全解
02、从已知的初始状态y(j)(0-)设法求得y(j)(0+)
特殊方法
若输入是阶跃函数,最高阶只有两阶,且将输入代入后输出最高阶为冲激函数时,求解方法(定量判断、定性计算)为:
1. 将输入函数代入方程,判断输入所对应的输出,可以得到含冲激函数的在t=0处跃变,不含冲激函数的在t=0处连续
2. 对方程两边积分,得到其他的在0+时的值
基本方法(系数分配法)
1. 将输入函数f(t)代入方程,根据系数匹配法和输出来设置含系数的输出函数y''(t)、y'(t)、y(t)
2. 所有的输出函数代入方程进行整理比较,得到系数,从而得到最完整的输出函数
3. 将输出函数进行积分,得到0+、0-之间的差值
当微分方程右端含有冲激函数时,响应y(t)及其各阶导数中,有些在t=0处将发生跃变,否则不会跃变。
03、零输入响应与零状态响应
定义
零输入响应是激励为零时仅由系统的初始状态{x(0)}所引起的相应,用y zi (t)表示。
零状态响应是系统的初始状态为零时,仅由输入状态f(t)引起的响应,用y zs (t)表示。
求法
零输入相应:
1. 根据公式可以知晓初始状态
2. 根据特征方程和微分方程求出带系数的齐次解
3. 将初始状态代入,求得完整的零输入相应,此时的t的范围是t≥0。
零状态响应:
1. 求出t=0+时的值(t=0-时激励未接入,均为0)
2. 根据t>0列出方程,并求出此时的齐次解和特解,从而求得零状态响应,此时的t的范围是t≥0。
【注意】
当输入的阶数比输出的阶数高时,可以借助简单系统来进行计算,且结果具有高阶,具体例题可以见书本P48的例2.1-7;
同时,零状态响应也可以通过卷积来进行求解。
全响应:
将零输入相应与零状态响应相加,或将齐次解与特解相加
【注意】
当给出的的是0+时的值,我们先求零状态响应,并得到零状态时的0+时的值,再求零输入响应。
求响应时也可以使用F(jω)、F(s)以及F(z)来求得。
【区分】通过齐次解和特解、零状态和零输入来求全解的过程
齐次解和特解的方法步骤与求零状态响应的步骤是一样的,只是初始状态会不一样;
对于含有初始状态的来说,可能就齐次解和特解更加方便简单;
而对于不含有初始状态的来说,可以直接使用零状态来求解。
04、冲激响应
定义
一个LTI系统,当其初始状态为零时,输入为单位冲激函数δ(t)所引起的响应为单位冲激响应,简称冲激响应,记为h(t),h(t)=T[{0},δ(t)]。
求解方法
冲激响应(采用线性时不变性质法)
1. 将输入f(t)冲激函数(即函数右边)代入方程,得到此时的解
2. 根据函数右边的方程,求出正确的解
【注意】
若输入f(t)代入后在等式右侧含有冲激偶或者更高阶冲激函数,那么借助简单系统来进行计算;
若给出系统f(t)和子系统的冲激响应求复合系统的冲激响应时,设f(t)=δ(t),再运用卷积进行计算
例题

05、阶跃响应
定义
一个LTI系统,当其初始状态为零时,输入为单位阶跃函数ε(t)所引起的响应为单位阶跃响应,简称阶跃响应,记为g(t),g(t)=T[{0},ε(t)]。
阶跃响应是冲激响应的积分,冲激响应是阶跃响应的导数。
求解方法
1. 将输入f(t)阶跃函数ε(t)(即函数右边)代入方程,得到此时的解
2. 根据函数右边的方程,求出正确的解
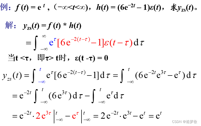
06、卷积积分
定义
已知定义在区间( – ∞,∞)上的两个函数f1(t)和f2(t),则定义积分
为f1(t)与f2(t)的卷积积分,简称卷积;记为f(t)= f1(t)*f2(t)。
注意:积分是在虚设的变量τ下进行的,τ为积分变量,t为参变量。结果仍为t 的函数。
任意信号作用下的零状态响应

定义法求卷积

【注意】计算时主要是要注意积分区间的上限与下限的选择
图解法求卷积
换元→反转→平移→相乘后积分,即
(1)换元: t换为τ→得 f1(τ), f2(τ)
(2)反转:由f2(τ)反转→ f2(–τ)
(3)平移:由 f2(–τ)右移t → f2(t-τ)
(4)乘积: f1(τ) f2(t-τ)
(5)积分: τ从 –∞到∞对乘积项积分。
注意:t为参变量,确定积分的上下限是关键。
举例
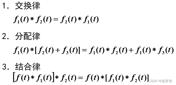
07、卷积积分的性质
卷积的代数运算(交换律、分配率和结合律)

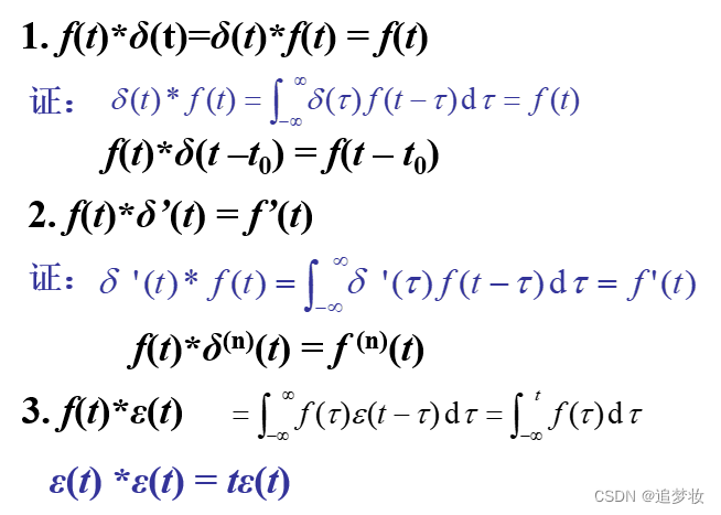
函数与冲激和阶跃函数的卷积


卷积的微分与积分

第3章知识点
01、差分方程的经典解
全解=齐次解+特解
齐次解
求解方法:
1. 列出特征方程和特征根,求出带参数的齐次解形式
2. 根据已知条件,求出参数,得到齐次解
根据特征根,齐次解的两种情况
特解
求解方法
1. 根据激励得到特解形式
2. 将特解代入方程得到参数
根据激励,特解的几种情况
全解
求解方法:
1. 根据特征方程和特征根,求出带参数的齐次解形式
2. 根据激励得到含参数的特解
3. 将特解代入方程得到参数
4. 根据已知条件和方程,求出齐次解参数,得到全解
02、零输入响应
定义
系统的激励为零,仅由系统的初始状态引起的相应,称为零输入相应,用y zi (k)表示。
求解方法
1. 由递推公式得到初始值yzi(0), yzi(1)
2. 根据特征方程和特征根得到含参数的齐次解形式
3. 将初始值代入并解得参数,得到完整的解
03、零状态响应
定义
当系统的初始状态为零,仅由激励f(k)所产生的相应,称为零状态相应,用y zs (k)表示。
求解方法
1. 由递推公式得到初始值yzi(0), yzi(1) 【注意】这里的递推公式与求零输入相应时的递推公式不一样
2. 根据特征方程和特征根得到含参数的齐次解,根据方程右侧得到特解形式
3. 将初始值代入并解得参数,得到完整的解
04、单位序列响应和阶跃响应
定义
单位序列定义为:
单位阶跃序列定义为:
δ(k) =ε(k) –ε(k –1) = ▽ε(k)
当LTI离散系统的激励为单位序列δ(k)时,系统的零状态响应称为单位序列响应,用h(k)表示,即h(k)=T[{0},δ(k)]。
当LTI离散系统的激励为单位阶跃序列ε(k)时,系统的零状态响应称为单位阶跃响应,用g(k)表示,即g(k)=T[{0},ε(k)]。
求解方法
1. 由递推公式得到初始值
2. 根据特征方程和特征根得到含参数的齐次解,若求阶跃响应时也存在特解
3. 将初始值代入并解得参数,得到完整的解
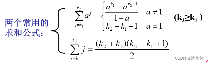
常用求和公式

常用于由序列响应求和得阶跃响应和卷积和的求解
05、卷积和
定义
已知定义在区间( – ∞,∞)上的两个函数f1(k)和f2(k),则定义和
为f1(k)与f2(k)的卷积和,简称卷积,记为f(k)= f1(k)*f2(k)
注意:求和是在虚设的变量i下进行的,i为求和变量,k为参变量。结果仍为k的函数。 
任意序列作用下的零状态响应

ε(k)*ε(k) = (k+1)ε(k)
卷积的图解法
(1)换元: k换为 i→得 f1(i), f2(i)
(2)反转: f2(i)反转→ f2(–i)
(3)平移: f2(–i) → f2(k – i)
(4)乘积: f1(i) f2(k – i)
(5)求和: i 从 –∞到∞对乘积项求和。
注意:k 为参变量。
不进位乘法求卷积(更简单)
f(k)=所有两序列序号之和为k 的那些样本乘积之和。

例题
卷积和的性质

举例

第4章知识点
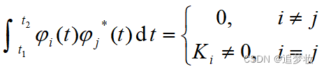
01、正交矢量集
正交矢量集
定义:指由两两正交的矢量组成的矢量集合;若n个函数φ 1(t), φ 2(t),…, φ n(t)构成一个函数集,这些函数在区间(t1,t2)内满足
,则称此函数集为在区间(t1,t2)的正交函数集。
完备正交函数集
定义:如果在正交函数集{φ1(t),φ 2(t),…,φ n(t)}之外,不存在函数φ(t)(≠0)满足
,则称此函数集为完备正交函数集。
例子:
三角函数集 {1,cos(nΩt),sin(nΩt),n=1,2,…}
虚指数函数集{e^(jnΩt),n=0,±1,±2,…}
是两组典型的在区间(t0,t0+T)(T=2π/Ω)上的完备正交函数集。
02、傅里叶级数
傅里叶级数的三角函数形式
设周期信号f(t),其周期为T,角频率ω=2π/T,当满足狄里赫利(Dirichlet)条件时,它可分解为如下三角级数—— 称为f(t)的傅里叶级数 
系数an , bn称为傅里叶系数 

可见, an 是n的偶函数, bn是n的奇函数。
傅里叶级数的指数形式
虚指数函数集{ejnΩt,n=0,±1,±2,…}
。
系数Fn 称为复傅里叶系数
。
傅里叶级数的两种形式的对比

03、奇、偶函数的傅里叶级数

1 .f(t)为偶函数——对称纵坐标
bn =0,展开为余弦级数。
2 .f(t)为奇函数——对称于原点
an =0,展开为正弦级数。
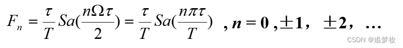
04、周期信号的频谱
周期信号的频谱具有离散型、谐波性和收敛性。
实信号有双边谱,复信号的频谱无单双边之分。
实信号的双边谱具有对称性,双边幅度谱偶对称,双边相位谱奇对称。
令Sa(x)=sin(x)/x (取样函数),
(1)包络线形状:抽样函数
(2)最大值在n=0时,值为τ/T
(3)离散谱(谐波性)
(4)第一个零点坐标:2π/τ
(5)Fn为复函数,Fn>0,相位为0;Fn<0,相位为±π
05、周期信号的功率
周期信号一般是功率信号,其平均功率为
。
直流和n次谐波分量在1Ω电阻上消耗的平均功率之和。
n>0时, |Fn| = An/2。
时域不行来频域,频域不行来时域。
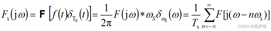
06、非周期信号的频谱
频谱密度函数

傅里叶变换与反变换


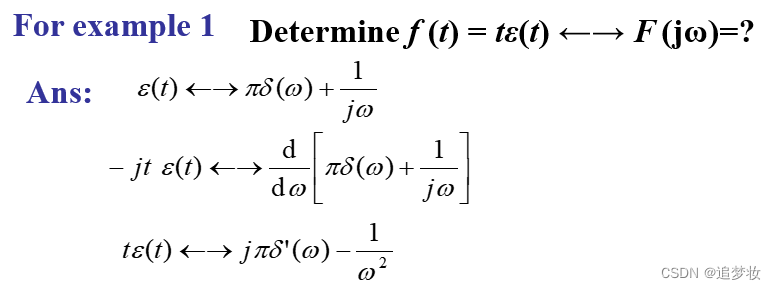
07、常用函数的傅里叶变换【重要】

08、信号与其傅里叶变换的奇偶性
若f(t)是t的实函数,且设f(t)←→F(jω)=R(ω)+jX(ω),则
(1)R(ω)= R(–ω), X(ω)= –X(–ω),|F(jω)|= |F(–jω)|, φ(ω)= –φ(–ω),
(2)f (–t) ←→F(–jω) = F*(jω)
(3)如f (t)= f (–t) ,则X(ω)=0, F(jω) = R(ω)
(4)如f (t)= –f (–t),则R(ω)=0, F(jω) = jX(ω)
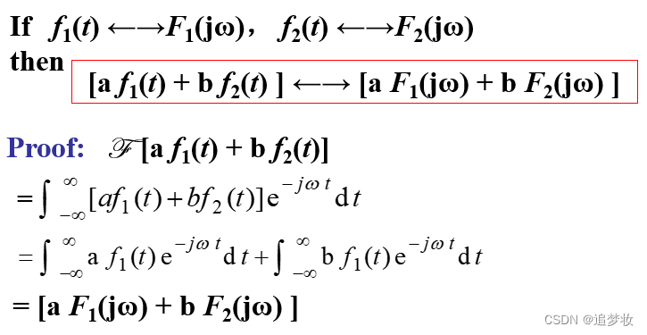
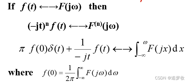
09、傅里叶变换的性质
线性


对称性


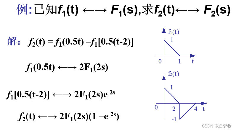
尺度变换


时移特性


频移特性


卷积定理


时域的微分和积分


利用傅立叶变换计算积分

性质的综合整理【重点】

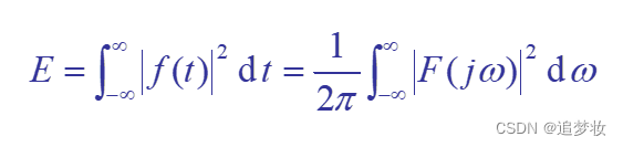
10、能量谱

11、周期信号的傅里叶变换
正、余弦的傅里叶变换
一般周期信号的傅里叶变换
说明:
(1)周期信号fT(t)的傅氏变换由冲激序列组成,冲激函数仅存在于谐波频率处;
(2)谱线的幅度不是有限值,因为F(jω)代表频谱密度。

傅里叶系数与傅里叶变换

上面的式子是傅里叶变换,下面的式子是傅里叶系数
12、LTI系统的频域分析
频域响应
积分
正好是h(t)的傅里叶变换,记为H(jω),称为系统的频率响应函数。
,H(jω)反映了响应y(t)的幅度和相位随频率变化情况。
,
,
|H(jω)|称为幅频特性(或幅频响应);θ(ω)称为相频特性(或相频响应)。
|H(jω)|是ω的偶函数,θ(ω)是ω的奇函数。
频率响应H(jω)的求法
求解方法
例题

无失真传输
定义:信号无失真传输是指系统的输出信号与输入信号相比,只有幅度的大小和出现时间的先后不同,而没有波形上的变化。
系统要实现无失真传输,对系统h(t),H(jω)的要求是:|H(jω)|=K ,θ(ω)= – ω*td 
例题
理想低通滤波器
具有如图所示幅频、相频特性的系统称为理想低通滤波器。ωc称为截止角频率。
理想低通滤波器的频率响应可写为:
13、取样定理
取样定理论述了在一定条件下,一个连续信号完全可以用离散样本值表示。这些样本值包含了该连续信号的全部信息,利用这些样本值可以恢复原信号。可以说,取样定理在连续信号与离散信号之间架起了一座桥梁。为其互为转换提供了理论依据。
理想取样(周期单位冲激取样)



画fS(t)的频谱时, 设定ωS ≥2ωm ,这时其频谱不发生混叠,因此能设法(如利用低通滤波器),从FS(jω)中取出F(jω),即从fS(t)中恢复原信号f(t); 否则将发生混叠。
时域取样定理
为恢复原信号,必须满足两个条件:
(1)f(t)必须是带限信号;
(2)取样频率不能太低,必须fs≥2fm,或者说,取样间隔不能太大,必须Ts≤1/(2fm);
否则将发生混叠。
第5章知识点
01、拉普拉斯变换
定义
复频率 s = σ+jω,用于系统分析的独立变量是复频率 s ,故称为s域分析,所采用的数学工具为拉普拉斯变换。
令s = σ+ jω,dω=ds/j,有
收敛域
求出收敛域,才能使像、原函数一一对应;若能将Fb(s)求出来,则必须积分收敛。




【总结】因果函数的收敛域在收敛边界的右边;反因果函数的收敛域在收敛边界的左边;双边信号的收敛域在收敛边界的中间。
【原则】极点作为收敛边界,收敛域中一定不含极点。
单边拉氏变换
(单边)拉普拉斯变换
定义
常见函数的拉普拉斯变换

02、拉普拉斯变换的性质
线性性质

尺度变换

时移特性


复频移(s域平移)特性


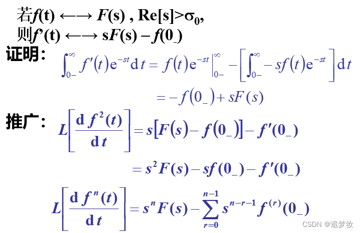
时域的微分特性(定理)

时域积分特性(积分定理)


s域微分和积分



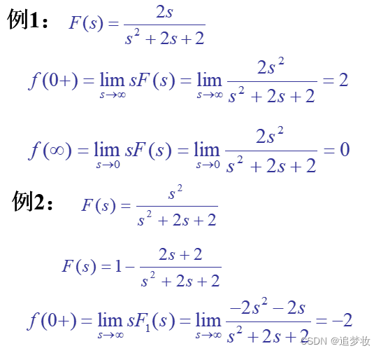
初值定理和终值定理
初值定理
设函数f(t)不含δ(t)及其各阶导数(即F(s)为真分式,若F(s)为假分式化为真分式),则 
终值定理
若f(t)当t →∞时存在,并且 f(t) ← → F(s) , Re[s]>σ0, σ0<0,则 ![]()
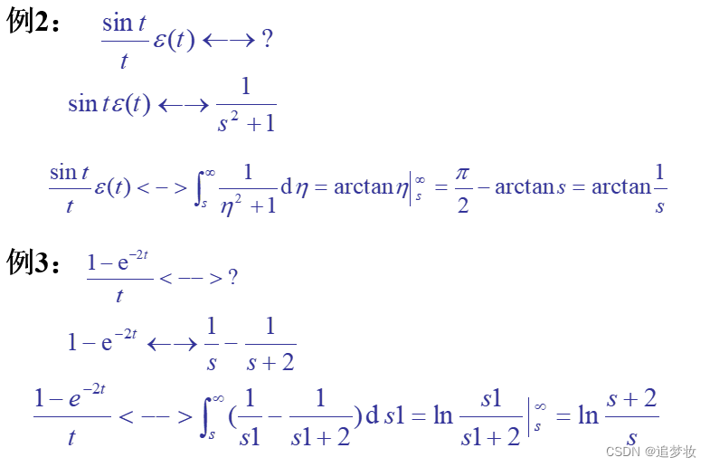
举例
总结【重点】

03、拉普拉斯逆变换
通常的方法(主要讨论有理真分式的情形) :
(1)查表 (2)利用性质 (3) 部分分式展开 -----结合
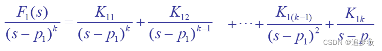
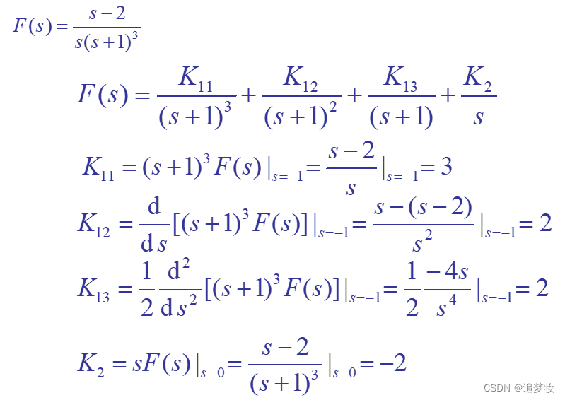
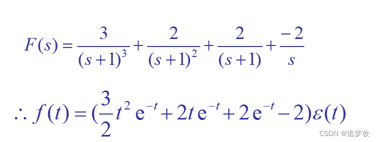
部分分式展开法的求解方法
1. 求F(s)的极点
2. 将F(s)展开为部分分式
3. 查变换表求出原函数f(t)
第一种情况:单阶实数极点

例子

第二种情况:有重根存在


例题1


例题2

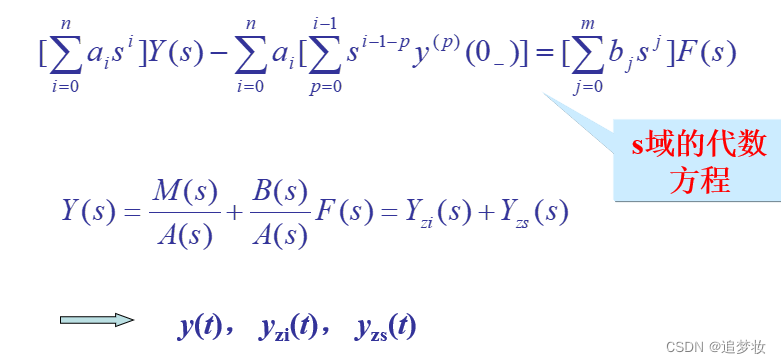
04、复频域分析
微分方程的变换解
用拉普拉斯变换微分特性
若f (t)在t = 0时接入系统,则

举例

求解方法
(1)根据微分方程列出含初值和F(s)的式子
(2)将初值和F(s)代入,并化简成部分分式展开
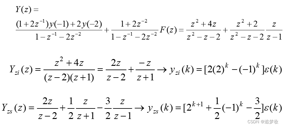
【注意】其中,零输入响应的0+的值由总的0+的值减去零状态响应的0+的值;零状态响应的0+的值由0代入零状态响应的公式得到;故先求零状态响应,再求零输入响应
(3)将s域形式化成时域形式(可以用来求零输入响应和零状态响应)
系统函数
系统函数H(s)定义为
,它只与系统的结构、元件参数有关,而与激励、初始状态无关。

例题
系统的s域框图

例题
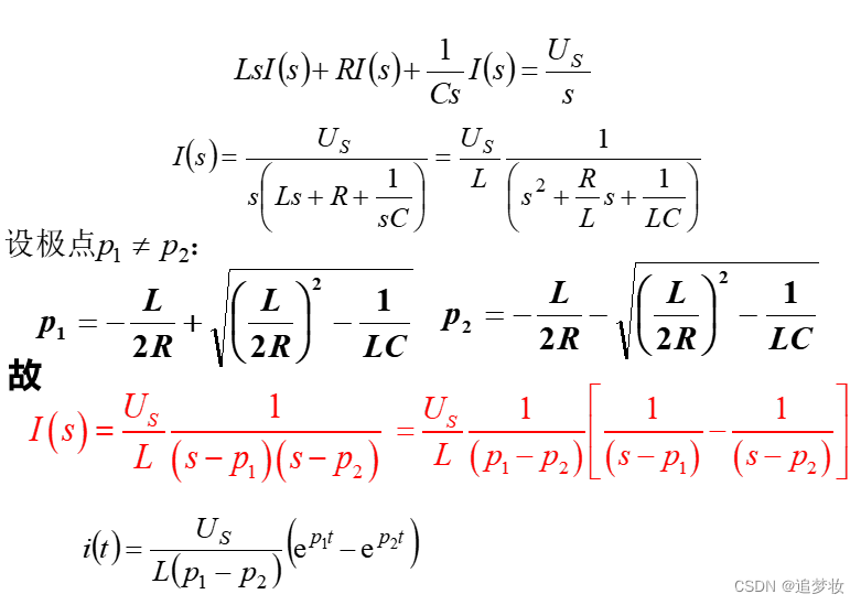
电路的s域模型
电阻 U(s)= R I(s)
电感 ![]()

电容 

求响应的步骤
画0-等效电路,求初始状态;
画s域等效模型;
列s域方程(代数方程);
解s域方程,求出响应的拉氏变换U(s)或I(s);
拉氏反变换求u(t)或i(t)。
例题

第6章知识点
01、z变换
令
,用F(z)表示;f(kT) →f(k) ,得
收敛域
对于序列f(k),满足
所有z值组成的集合称为z变换F(z)的收敛域。



【总结】序列的收敛域大致有一下几种情况:
(1)对于有限长的序列,其双边z变换的收敛域为
;
(2)对因果序列,其z变换某个圆外区域;
(3)对反因果序列,其z变换的收敛域为某个圆内区域;
(4)对双边序列,其z变换的收敛域为环状区域;
注意:对双边z变换必须表明收敛域,否则其对应的原序列将不唯一。 对单边z变换,其收敛域比较简单,一定是某个圆以外的区域。
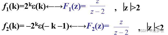
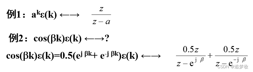
常用序列的z变换

02、z变换的性质
本节讨论z变换的性质,若无特殊说明,它既适用于单边也适用于双边z变换。
线性性质


移位特性

例题
z域尺度变换


卷积定理


z域微分(序列乘k)

z域积分(序列除(k+m) )(不作要求)

k域反转

部分和

初值定理
初值定理适用于右边序列
终值定理
初值定理适用于右边序列,且要求z=1在收敛域内
总结【重点】

03、逆z变换
求逆z变换的常用方法有:幂级数展开法、部分分式展开法等。
一般而言,双边序列f(k)可分解为因果序列f1(k)和反因果序列f2(k)两部分,即
f(k) = f2(k)+f1(k) = f(k)ε(–k – 1) + f(k) ε(k)
相应地,其z变换也分两部分 F(z) = F2(z) + F1(z), α< |z| <β
因果序列和反因果序列的象函数分别是z^(-1)和z的幂级数。其系数就是相应的序列值。
幂级数展开法



部分分式展开法(真分式)【重点】
(1)F(z)均为单极点,且不为0
例题

(2) F(z)有共轭单极点
(3) F(z)有重极点
例题
04、z域分析【重点】
差分方程的变换解
对于单边z变换,n阶系统的后向差分方程的一般形式有:

例子

系统函数
定义
计算:用定义计算、从差分方程计算、从方框图计算、给了输入输出计算
例题
系统的z域框图
迟延单元(零状态)
另外两个基本单元:数乘器和加法器,k域和z域框图相同。
例题


利用z变换求卷积和

s域与z域的关系
s平面的左半平面(σ<0)--->z平面的单位圆内部(|z|=ρ<1)
s平面的右半平面(σ>0)--->z平面的单位圆外部(|z|=ρ>1)
s平面的jω轴(σ=0)--->z平面中的单位圆上(|z|=ρ=1)
s平面上实轴(ω=0)--->z平面的正实轴(θ=0)
s平面上的原点(σ=0,ω=0)---->z平面上z=1的点(ρ=1,θ=0)
第7章知识点
01、系统函数与系统特性
系统函数的零、极点分布图
LTI系统的系统函数是复变量s或z的有理分式,即 
A(.)=0的根p1,p2,…,pn称为系统函数H(.)的极点,在分布图上用×表示;
B(.)=0的根ζ1,ζ2,…,ζm称为系统函数H(.)的零点,在分布图上用○表示。
例如
系统函数H(·)与时域响应h(·)
冲激响应或单位序列响应的函数形式由H(.)的极点确定。
下面讨论H(.)极点的位置与其时域响应的函数形式,所讨论系统均为因果系统。
1.连续因果系统
H(s)按其极点在s平面上的位置可分为:在左半开平面、虚轴和右半开平面三类。
① H(s)在左半平面的极点所对应的响应函数为衰减的。即当t→∞时,响应均趋于0。
② H(s)在虚轴上的一阶极点所对应的响应函数为稳态分量。
③ H(s)在虚轴上的高阶极点或右半平面上的极点,其所对应的响应函数都是递增的。即当t→∞时,响应均趋于∞。
2.离散因果系统
H(z)按其极点在z平面上的位置可分为:在单位圆内、在单位圆上和在单位圆外三类。
根据z平面与s平面的影射关系,得结论:
①H(z)在单位圆内的极点所对应的响应序列为衰减的。即当k→∞时,响应均趋于0。
②H(z)在单位圆上的一阶极点所对应的响应函数为稳态响应。
③H(z)在单位圆上的高阶极点或单位圆外的极点,其所对应的响应序列都是递增的。即当k→∞时,响应均趋于∞。
系统函数与频率响应
连续系统
若系统函数H(s)的收敛域包含虚轴(对于因果系统, H(s)的极点均在左半平面) ,则系统存在频率响应,频率响应与系统函数之间的关系为![]()
(1)全通函数
若系统的幅频响应| H(jω)|为常数,则称为全通系统,其相应的H(s)称为全通函数。
凡极点位于左半开平面,零点位于右半开平面,并且所有零点与极点对于虚轴为一一镜像对称的系统函数即为全通函数。
(2)最小相移函数
对于具有相同幅频特性的系统函数而言,右半开平面没有零点的系统函数称为最小相移函数。
举例
02、系统的因果性
因果系统是指,系统的零状态响应yzs(.)不会出现于f(.)之前的系统。
连续因果系统的充分必要条件是:冲激响应 h(t)=0,t<0,或者,系统函数H(s)的收敛域为:Re[s]>σ0
离散因果系统的充分必要条件是:单位响应 h(k)=0, k<0,或者,系统函数H(z)的收敛域为:|z|>ρ0
03、系统的稳定性
若系统对所有的激励 |f(.)|≤Mf ,其零状态响应 |yzs(.)|≤My(M为有限常数),则称该系统稳定。
(1)连续系统稳定的充分必要条件
时域:
S 域:若H(s)的收敛域包含虚轴,则该系统必是稳定系统。
对于因果系统,若H(s)的极点均在左半开平面,则该系统必是稳定系统。
(2)离散系统稳定的充分必要条件
时域:
Z 域:若H(z)的收敛域包含单位圆,则该系统必是稳定系统。
对于因果系统,若H(z)的极点均在单位圆内,则该系统必是稳定系统。
举例

连续因果系统稳定性判断准则—罗斯-霍尔维兹准则
所有的根均在左半平面的多项式称为霍尔维兹多项式。
1、必要条件—简单方法
一实系数多项式
的所有根位于左半开平面的必要条件是:
(1)所有系数都必须非0,即不缺项;(2)系数的符号相同。
2、罗斯列表
将多项式A(s)的系数排列为如下阵列—罗斯阵列
它由第1,2行,按下列规则计算得到: 
第4行由2,3行同样方法得到。一直排到第n+1行。
罗斯准则指出:若第一列元素具有相同的符号,则A(s)=0所有的根均在左半开平面。若第一列元素出现符号改变,则符号改变的总次数就是右半平面根的个数。
例题

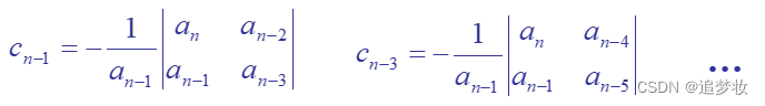
离散因果系统稳定性判断准则—朱里准则
为判断离散因果系统的稳定性,要判断A(z)=0的所有根的绝对值是否都小于1。朱里提出一种列表的检验方法,称为朱里准则。
朱里列表:
第3行按下列规则计算:
一直到第2n-3行,该行有3个元素。
朱里准则指出,A(z)=0的所有根都在单位圆内的充分必要的条件是:
(1) A(1)>0
(2) (-1)^n * A(-1)>0
(3) an>|a0| cn-1>|c0| dn-2>|d0| …… r2>|r0|,即奇数行,其第1个元素必大于最后一个元素的绝对值。
特例:对二阶系统。A(z)=a2z2+a1z+a0,易得 A(1)>0 A(-1)>0 a2>|a0|
举例
04、信号流图
信号流图是用有向的线图描述方程变量之间因果关系的一种图,用它描述系统比方框图更加简便。
信号流图
1、定义:
信号流图是由结点和有向线段组成的几何图形。它可以简化系统的表示,并便于计算系统函数。
2、信号流图中常用术语
(1) 结点: 信号流图中的每个结点表示一个变量或信号。
(2) 支路和支路增益:
连接两个结点之间的有向线段称为支路。
每条支路上的权值(支路增益)就是该两结点间的系统函数(转移函数)。
即用一条有向线段表示一个子系统。
(3) 源点与汇点,混合结点
仅有出支路的结点称为源点(或输入结点)。
仅有入支路的结点称为汇点(或输出结点)。
有入有出的结点为混合结点
(4)通路、开通路、闭通路(回路、环)、不接触回路、自回路:
沿箭头指向从一个结点到其他结点的路径称为通路。
如果通路与任一结点相遇不多于一次,则称为开通路。
闭合的路径称为闭通路(回路、环) 。
相互没有公共结点的回路,称为不接触回路。
只有一个结点和一条支路的回路称为自回路。
(5)前向通路:从源点到汇点的开通路称为前向通路。
(6)前向通路增益,回路增益:通路中各支路增益的乘积
3、信号流图的基本性质
(1)信号只能沿支路箭头方向传输。
支路的输出=该支路的输入与支路增益的乘积。
(2)当结点有多个输入时,该结点将所有输入支路的信号相加,并将和信号传输给所有与该结点相连的输出支路。
(3)混合结点可通过增加一个增益为1的出支路而变为汇点。
4、方框图←→流图
5、流图简化的基本规则:
(1)支路串联:支路增益相乘。
(2)支路并联:支路增益相加。
(3)混联
(4)自环的消除:
化简下列流图
梅森公式
系统函数H(.)记为H。梅森公式为: 
称为信号流图的特征行列式。
例子
05、系统的结构
一、直接实现---利用Mason公式来实现
例
分子中每项看成是一条前向通路。分母中,除1之外,其余每项看成一个回路。画流图时,所有前向通路与全部回路相接触。所有回路均相接触。
二、级联实现
将H分解为若干简单(一阶或二阶子系统)的系统函数的乘积,即 H=H1H2…Hn 

三、并联实现
将H展开成部分分式,将每个分式分别进行模拟,然后将它们并联起来。 
例子
最后
以上就是欣慰大白最近收集整理的关于信号与系统_微总结全书目录第1章知识点 第2章知识点第3章知识点第4章知识点第5章知识点第6章知识点第7章知识点的全部内容,更多相关信号与系统_微总结全书目录第1章知识点 第2章知识点第3章知识点第4章知识点第5章知识点第6章知识点第7章知识点内容请搜索靠谱客的其他文章。


发表评论 取消回复