一.实验目的
1. 掌握IIR 数字滤波器设计的方法;
2. 掌握IIR 数字滤波器直接型、级联型和并联型的基本特点并根据给定的传递函数形式正
确选择是否采用直接型、级联型和并联型。
3. 熟悉直接型、级联型和并联型软件实现的编程方法。
二.实验原理
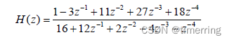
一个IIR 滤波器的系统函数给出为:

有三种结构用于实现一个IIR 滤波器。
1.直接型:结构数字滤波器按给出的差分方程式直接与以实现。有两种型式:直接Ⅰ型和
直接Ⅱ型结构。直接型结构用两个行向量来描述:含有系数{ n b }的向量b 和含有系数{ n a }
的向量a,MATLAB 中其结构实现是用filter 函数。
2. 级联型:将系统函数H(z)写成具有实系数的二阶节的乘积。即将分子分母多项式分解为
它们各自的根,然后将一对复数共轭根或者任意两个实数根组合成二阶多项式。一般假定N
为偶数,有:


三.实验内容
1、根据程序参考流程图,分别编制以下给出的IIR 数字滤波器直接型、级联型和并联型结
构的单位脉冲响应,单位阶跃响应及频率特性的程序。
2、利用所编的程序,对以下IIR 数字滤波器,给出三种结构形式下的滤波器结构及信号流
图,并画出此结构下单位脉冲响应和单位阶跃响应曲线。

参考流程图:

四、思考题
(1)对于实验中的三种结构形式,你认为哪一种在计算机上实现更方便些,为什么?
(2)所给出的IIR 数字滤波器是低通、高通还是带通?3dB 截止频率大约是多少?是否是线性相位的?
(3)为何要将系统函数转换为三种不同的结构,三种结构的优缺点各是什么?
五、实验报告要求
1.简述实验目的及原理。
2.给出数字滤波器三种结构形式的结果。
3.对三种结构形式滤波器的优缺点进行分析比较。
4.简要回答思考题。
b=[1,-3,11,27,18];
a=[16,12,2,-4,-1];
n=0:63;
figure;
h=impz(b,a,n);
u=dstep(b,a,n);
w=linspace(-2*pi,2*pi,500);
H=freqz(b,a,w);
H=20*log10(abs(H));
subplot(3,1,1),stem(n,h,'.');
title('直接型单位冲激响应');
subplot(3,1,2),stem(n,u,'.');
title('直接型单位阶跃响应');
subplot(3,1,3),plot(w/pi,H);
title('直接型频率响应');
axis([0,1,-50,20]);
xlabel('单位:pi');
ylabel('单位:dB');
[sos,g]=tf2sos(b,a);
N=size(sos);
N=N(1);
h0=[n==0];
for k=1:N
b1=sos(k,1:3);
a1=sos(k,4:6);
h1=impz(b1,a1,n);
h0=conv(h0,h1);
end
h0=g*h0;
h0=h0(1:64);
figure;
subplot(3,1,1),stem(n,h0,'.');
title('级联型单位冲激响应');
u0=[n>=0];
for k=1:N
b1=sos(k,1:3);
a1=sos(k,4:6);
h1=impz(b1,a1,n);
u0=conv(u0,h1);
end
u0=g*u0;
u0=u0(1:64);
subplot(3,1,2),stem(n,u0,'.');
title('级联型单位阶跃响应');
w=linspace(-2*pi,2*pi,500);
H0=ones(1,length(w));
for k=1:N
b1=sos(k,1:3);
a1=sos(k,4:6);
H1=freqz(b1,a1,w);
H0=H0.*H1;
end
H0=g*H0;
H0=20*log10(abs(H0));
subplot(3,1,3),plot(w/pi,H0);
title('级联型频率响应');
axis([0,1,-50,20]);
xlabel('单位:pi');
ylabel('单位:dB');
[r,p,q]=residuez(b,a);
N=size(r);
N=N(1);
h0=zeros(1,64);
for k=1:N
b1=r(k);
a1=[1,-1*p(k)];
s=[n==0];
h1=filter(b1,a1,s);
h0=h0+h1;
end
h1=[n==0];
h1=q*h1;
h0=h0+h1;
figure;
subplot(3,1,1),stem(n,h0,'.');
title('并联型单位冲激响应');
u0=zeros(1,64);
for k=1:N
b1=[r(k),0];
a1=[1,-1*p(k)];
s=[n>=0];
u1=filter(b1,a1,s);
u0=u0+u1;
end
u1=[n>=0];
u1=q*u1;
u0=u0+u1;
subplot(3,1,2),stem(n,u0,'.');
title('并联型单位阶跃响应');
w=linspace(-2*pi,2*pi,500);
H10=zeros(1,length(w));
for k=1:N
b1=[r(k),0];
a1=[1,-1*p(k)];
H11=freqz(b1,a1,w);
H10=H10+H11;
end
H10=q+H10;
H10=20*log10(abs(H10));
subplot(3,1,3),plot(w/pi,H10);
title('并联型频率响应');
axis([0,1,-50,20]);
xlabel('单位:pi');
ylabel('单位:dB');


最后
以上就是安静银耳汤最近收集整理的关于IIR 数字滤波器三种结构形式的MATLAB实现的全部内容,更多相关IIR内容请搜索靠谱客的其他文章。
发表评论 取消回复