点击上方蓝字关注“公众号”
MATLAB傅里叶变换、系统的频域分析
当初学信号与系统,天书睡过去啊,一到考试心中mmp。理论的枯燥,有了MATLAB就生动形象啦。
本节旨在掌握:
1、学会用MATLAB实现连续时间信号傅里叶变换
2、学会用MATLAB分析LTI系统的频域特性
3、学会用MATLAB分析LTI系统的输出响应
壹
傅里叶变换的MATLAB求解
MATLAB的symbolic Math Toolbox 提供了直接求解傅里叶变换及逆变换的函数fourier()及ifourier()两者的调用格式如下。
01
Fourier 变换的调用格式
F=fourier(f):它是符号函数f的fourier变换默认返回是关于w的函数。
F=fourier(f,v):它返回函数F是关于符号对象v的函数,而不是默认的w,即

02
Fourier逆变换的调用格式
f=ifourier(F):它是符号函数F的fourier逆变换,默认的独立变量为w,默认返回是关于x的函数。
f=ifourier(f,u):它的返回函数f是u的函数,而不是默认的x.
注意:在调用函数fourier()及ifourier()之前,要用syms命令对所用到的变量(如t,u,v,w)进行说明,即将这些变量说明成符号变量。
03

解: 可用MATLAB解决上述问题
syms t w
ft=ifourier(1/(1+w^2),t)

贰
连续时间信号的频谱图

01
解:MATLAB程序如下所示
ft=sym('4*cos(2*pi*6*t)*(Heaviside(t+1/4)-Heaviside(t-1/4))');
Fw=simplify(fourier(ft))
subplot(121)
ezplot(ft,[-0.5 0.5]),grid on
subplot(122)
ezplot(abs(Fw),[-24*pi 24*pi]),grid

用MATLAB符号算法求傅里叶变换有一定局限,当信号不能用解析式表达时,会提示出错,这时用MATLAB的数值计算也可以求连续信号的傅里叶变换,计算原理是

当
足够小时,近似计算可满足要求。
若信号是时限的,或当时间大于某个给定值时,信号已衰减的很厉害,可以近似地看成时限信号时,n的取值就是有限的,设为N,有

是频率取样点
时间信号取样间隔应小于奈奎斯特取样时间间隔,若不是带限信号可根据计算精度要求确定一个频率 W0为信号的带宽。
02


R=0.02;t=-2:R:2;
f=Heaviside(t+1)-Heaviside(t-1);
W1=2*pi*5;
N=500;k=0:N;W=k*W1/N;
F=f*exp(-j*t'*W)*R;
F=real(F);
W=[-fliplr(W),W(2:501)];
F=[fliplr(F),F(2:501)];
subplot(2,1,1);plot(t,f);
xlabel('t');ylabel('f(t)');
title('f(t)=u(t+1)-u(t-1)');
subplot(2,1,2);plot(W,F);
xlabel('w');ylabel('F(w)');
title('f(t)的付氏变换F(w)');

叁
用MATLAB分析LTI系统的频率特性
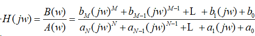
当系统的频率响应H(jw)是jw的有理多项式时,有

MATLAB信号处理工具箱提供的freqs函数可直接计算系统的频率响应的数值解。
其调用格式如下
H=freqs(b,a,w)
其中,a和b分别是H(jw)的分母和分子多项式的系数向量,w为形如w1:p:w2的向量,定义系统频率响应的频率范围,w1为频率起始值,w2为频率终止值,p为频率取样间隔。
H返回w所定义的频率点上,系统频率响应的样值。
01
例如,运行如下命令,计算0~2pi频率范围内以间隔0.5取样的系统频率响应的样值
a=[1 2 1];
b=[0 1];
h=freqs(b,a,0:0.5:2*pi)

02
三阶归一化的butterworth 低通滤波器的频率响应为


解 其MATLAB程序及响应的波形如下
w=0:0.025:5;
b=[1];a=[1,2,2,1];
H=freqs(b,a,w);
subplot(2,1,1);
plot(w,abs(H));grid;
xlabel('omega(rad/s)');
ylabel('|H(jomega)|');
title('H(jw)的幅频特性');
subplot(2,1,2);
plot(w,angle (H));grid;
xlabel('omega(rad/s)');
ylabel('phi(omega)');
title('H(jw)的相频特性');

肆
用MATLAB分析LTI系统的输出响应
已知一RC电路如图所示

系统的输入电压为f(t),输出信号为电阻两端的电压y(t).当RC=0.04,f(t)=cos5t+cos100t,
试求该系统的响应y(t)
解 由图可知 ,该电路为一个微分电路,其频率响应为


计算该系统响应的MATLAB程序及响应波形如下
RC=0.04;
t=linspace(-2,2,1024);
w1=5;w2=100;
H1=j*w1/(j*w1+1/RC);
H2=j*w2/(j*w2+1/RC);
f=cos(5*t)+cos(100*t);
y=abs(H1)*cos(w1*t+angle(H1))+ abs(H2)*cos(w2*t+angle(H2));
subplot(2,1,1);
plot(t,f);
ylabel('f(t)');
xlabel('Time(s)');
subplot(2,1,2);
plot(t,y);
ylabel('y(t)');
xlabel('Time(s)');

MATLAB各种版本下载,关注公众号即可获得链接。
未完待续扫码关注
不迷路

最后
以上就是霸气面包最近收集整理的关于matlab 电路频率响应_MATLAB信号与系统——傅里叶变换、系统的频域分析的全部内容,更多相关matlab内容请搜索靠谱客的其他文章。
发表评论 取消回复