目录
引言:
数字调制的主要目的:
模拟调制与数字调制的异同:
调制的类别:
数字载波调制传输系统的基本结构:
数字载波调制与解调的基本原理:
载波参数的选择:
数字载波调制系统常用星座图映射方式:
数字载波调制信号的功率谱分析:
数字载波调制信号的解调原理:
(1) 相干解调法:
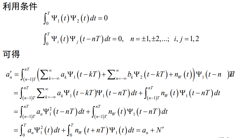
(2)相关(匹配滤波器)解调法:
引言:
数字调制的主要目的:
(1)使数字信号适合在带通信道中传输并易于实现;
(2)能通过频分复用将数字信息(基带信号)安排在不同的频段传输,提高频带利用率。
模拟调制与数字调制的异同:
相同点:
(1)实现信号的频谱搬移和变换;
(2)载波主要为正弦信号;
(3)可采用调幅、调频和调相等方式;
主要区别:数字调制受控参数在有限种取值间变化。可同时调制多于一个的参数,如相位与幅度
调制的类别:
(1)二进制与M进制(M > 2)
(2)线性调制和非线性调制
(3)无记忆调制和有记忆调制
三种基本的数字调制方式示例

数字载波调制传输系统的基本结构:


数字载波调制与解调的基本原理:
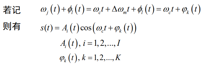
数字载波调制信号的基本表达形式:

其中幅度、频率和相位都是可以调制的载波参量


载波参数的选择:

数字载波调制系统常用星座图映射方式:

数字载波调制信号的功率谱分析:







数字载波调制信号的解调原理:

(1) 相干解调法


(2)相关(匹配滤波器)解调法:






最后
以上就是笨笨高山最近收集整理的关于通信原理笔记—数字载波调制解调的基本原理引言:数字载波调制与解调的基本原理:的全部内容,更多相关通信原理笔记—数字载波调制解调内容请搜索靠谱客的其他文章。
本图文内容来源于网友提供,作为学习参考使用,或来自网络收集整理,版权属于原作者所有。
发表评论 取消回复