前言
关于MATLAB系列的精品专栏大家可参见
MATLAB-30天带你从入门到精通
MATLAB深入理解高级教程(附源码)
喜欢的小伙伴可自行订阅,你的支持就是我不断更新的动力哟!
Matlab在概率统计中的应用(0001)
问题:
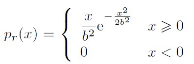
假设已知 Rayleigh 分布的概率密度函数为

试用解析推导的方法求出该分布的分布函数、均值、方差、中心矩和原点矩。生成一组满足 Rayleigh 分布的伪随机数,用数值方法检验得出的解析结果是否正确。
解:
工具相应的数学定义的公式,所需的分布函数、均值、方差、中心矩和原点矩等可 以由下面的语句推导出来。
>> syms x;
syms b positive
p=x*exp(-x^2/2/b^2)/b^2*heaviside(x);
>> syms tau;
F=int(subs(p,x,tau),ta
最后
以上就是端庄八宝粥最近收集整理的关于Matlab在概率统计中的应用问题及解决方案集锦的全部内容,更多相关Matlab在概率统计中内容请搜索靠谱客的其他文章。
本图文内容来源于网友提供,作为学习参考使用,或来自网络收集整理,版权属于原作者所有。
发表评论 取消回复