论文:Deep Learning Underwater Image Color Correction and Contrast Enhancement Based on Hue Preservation
作者:Chia-Hung Yeh
年份:2019
期刊: IEEE Underwater Technology (UT)
文章目录
- 1 介绍
- 框架
- 框架图
- 2 水下图像恢复框架
- A.水下图像灰度变压器
- 优势
- B水下灰度图像细节增强
- C水下图像色彩还原(主要阶段)
- D色相保存增强
- 3 水下训练方法
- 实验结果
1 介绍
框架
本篇论文提出一种基于色相保留的高效的基于深度学习的框架。该框架包含用于水下图像颜色恢复的三个卷积神经网络,框架包括四个阶段:
(1)水下图像灰度阶段:使用第一个CNN将水下图像转换为最佳的灰度通道图像;
(2)灰度水下图像细节增强阶段:通过第二个CNN去除噪声,提高图像质量;
(3)水下图像颜色恢复阶段:通过第三个CNN(端到端CNN进行)对输入的水下图像执行颜色校正;
(4)获得高质量图像并校正水下彩色图像的阶段:基于色相保留的方法,整合三个阶段,将三种CNN的输出进行积分,得到色彩校正后的图像。
水下CNN的问题在于水下训练数据太少并且没有相应的地面真实性。因此,本文使用无监督学习方法CycleGAN来训练水下CNN。设计了一种训练方法,它是三个CycleGAN的组合,可以同时训练三个CNN以共享回归状态。这种训练方法可以让提出的框架的三个CNN互相支持,从而避免训练过度且没有约束。通过提出的框架和训练方法,我们的方法可以高质量,低计算量地处理水下图像。
与WaterGAN(无监督管道,基于生成对抗网络)不同,本文使用无监督学习来训练图像恢复方法,还添加了一些收敛条件来限制网络训练,使网络训练更加全面和正确。
框架图
水下图像恢复框架

2 水下图像恢复框架
A.水下图像灰度变压器
(将RGB三通道相结合的3个系数转换为相应的灰度图像)

与空中图像不同,水下图像的红色和绿色通道会因光传播而衰减,必须分析光衰减的程度,以评估三个通道之间的最佳比率,本文使用卷积神经网络来预测比率。
CNN由四个卷积层组成。连接层(用Concat表示)将两个具有不同滤波器大小的卷积层的输出进行叠加。所有卷积层的激活函数都是整流的线性单元(ReLU)。 ReLU主要用于非线性,可以实现更快,更正确的回归。从最终卷积层的输出中获取每个特征图中所有元素的均值的系数。
优势
优势:可以提取多尺度图像特征,有助于灰度比率预测。

B水下灰度图像细节增强

基于色调保存,提出水下灰度图像细节增强CNN用于水下图像的去噪和CNN处理后的图像细节校正。该CNN将输入的水下灰度图像变换为增强透射图,由七个卷积层组成,选择参数化整流线性单位(PReLU)作为激活函数。在学习有关图像纹理修改和增强的透射图方面,PReLU比ReLU更好。最后,通过将增强透射图添加到输入灰度图像中来获得增强水下灰度图像。
C水下图像色彩还原(主要阶段)

使用端到端卷积神经网络来校正水下图像中的颜色损失。本文设计一个损失函数,该函数限制了水下图像颜色恢复CNN回归的许多条件。作为端对端的图像处理CNN,水下图像颜色恢复CNN的输入和输出是输入水下图像和颜色恢复水下图像。
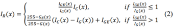
D色相保存增强
使用一种基于色调保持增强的全局对比度自适应增强方法。 这是整合色彩校正和细节增强结果的好方法。 输出图像IR是通过将其他三个阶段的输出积分而生成的:

3 水下训练方法

本文结合三个CycleGAN作为训练方法,以同时训练提出框架的三个CNN。 通过它们的生成器来区分这三个CycleGAN。
(1)训练水下灰度图像细节增强CNN作为第一个CycleGAN生成器。输入训练数据的两个域是灰色水下图像和灰色空中水下图像。
(2)水下图像色彩恢复CNN被训练为第二个CycleGAN的生成器。第二个CycleGAN学习彩色水下图像和彩色空中图像之间的映射。
(3)最后一个CycleGAN的生成器是整个框架,它的训练数据与第二个相同,使用这三个CycleGAN,可以同时训练整个框架中的所有CNN。
但是,仅CycleGAN不能完美地训练水下图像恢复框架,会过度拟合和陷入贪婪优化循环,影响训练结果。因此,在损失函数中额外设置了一些条件来限制CNN回归。这些条件共享其他CNN的训练信息,以使CNN更全面地了解映射。
原始CycleGAN损失函数(生成器G的映射函数:X→Y):

(后向散射生成器????的损失函数:????→????,和(3)相似仅使对抗损失中的域反向:)

为了训练水下图像的灰度变换CNN,损失函数如下:

对于水下色彩恢复CNN必须学习的映射GCR,损失函数如下:

结构相似性损失公式(有助于防止CycleGAN陷入压倒性的优化):

最后,训练水下灰度图像细节增强CNN以学习映射GGE,设计损失函数:

整合这些损失函数和三个CycleGAN架构,可以训练提出的基于深度学习的水下图像恢复框架。
实验结果

最后
以上就是和谐小蝴蝶最近收集整理的关于【论文阅读】DeepLearningUnderwateImageColor Correction and Contrast Enhancement Based on Hue Preservation1 介绍2 水下图像恢复框架3 水下训练方法实验结果的全部内容,更多相关【论文阅读】DeepLearningUnderwateImageColor内容请搜索靠谱客的其他文章。
发表评论 取消回复