信道编码的目的: 为了提高信号传输的可靠性,改善通信系统的传输质量。
信道可以理解为传输水的管道,主要是为了传输码元,信道的大小也会影响到传输的速率,就想管子的口径大,那么传输的水量同样大,信道的传输也是这个道理。
信道编码基本原理图:

差错率:差错率是衡量传输质量的重要指标之一。
比特差错率/比特误码率:指在传输的二进制位总数中发生差错的位数所占的比例。即是平均接收到一个二进制位所产生的错误大小。也称为平均错误概率。
编码码率R(编码效率):每码元携带的平均信息量。 它说明了信道的利用效率,是衡量信道编码性能的一个重要参数。
根据以下公式,可以算出编码的效率

几个基本术语
在学习信息论的时候,常常会有很多概念分不清楚
(1)码长: 码字中码元的个数称为码字的长度,简称码长,用n表示
(2)码重W 码字中非“0”码元的个数称为码字的汉明重量(简称码重,记作W),就是一个码字中除去0以为的码字 举个栗子
例如码字C“110000”,其码长n=6,码重W(C)=2(因为为码字中初去非零的码字后,有2个1),所以其码字为2.
(3))码距d 两个等长码字之间对应码元不相同的数目称为这两个码字的汉明距离(简称码距)。记作d,举个栗子
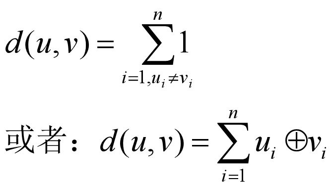
码字u=110000
v=100001
码字的第二和第六位,两个码元是不同的,所以由此得到 汉明距离d(u,v)=2。
用数学的表示法,可以表示为
(4): 在某一码组C中,任意两个码字之间汉明距离的最小值称为该码组的最小距离用dmin表示
即:dmin=mi
最小码距dminn{d(Ci,Cj)}, Ci≠Cj, Ci,Cj∈C
举个栗子
例如:码组C={0111100,1011011,1101001} 的最小码距 dmin=3 。
首先把三个码字两两进行比较,
第一组 0111100和1011011比较,其最小码距是5
第二组 0111100和1101001比较 ,其最小码距是3
第三组 1011011,1101001比较,其最小码距是3
把上面三组的比较,可以得出,最小码距是3(取距离最小的一组)
最后
以上就是冷静雪糕最近收集整理的关于第六章 信道编码的全部内容,更多相关第六章内容请搜索靠谱客的其他文章。

发表评论 取消回复