同步时序逻辑电路分析
- 概述
- 同步时序分析工具
- 状态转换表
- 例子
- 状态转换图
- 时序图
- 同步时钟分析完整流程
- 例1
- 例2
概述
在之前所讨论的组合逻辑电路中,任一时刻的输出信号仅取决于当时的输入信号。但在时序逻辑电路中,电路状态还取决于电路原来状态。
比如串行加法器中,相加结果不仅取决于本位加和,还与低一位是否进位有关,所以需要有记忆功能,以便在做高一位的加法器时使用。
则在电路设计中,需要包括全加器和存储电路。

存储电路的输出状态必须反馈到组合电路的输入端,与输入信号一起决定组合逻辑电路的输出。




此外,根据触发器的动作状态特点不同,分为同步时序电路(同一时钟操作下同时发生)和异步时序电路(触发器状态的变化不是同时发生的)
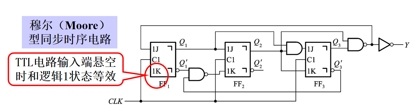
根据输出信号的特点分为:米利(Mealy)型(输出信号不仅取决于存储电路的状态,还取决于输入变量)和穆尔(Moore)型两种(输出信号仅仅取决于存储电路的状态)。
与分析组合逻辑电路不同的是,分析时序电路时需要考虑状态变量(和电路的历史状态有关)和输入信号。
同步时序分析工具
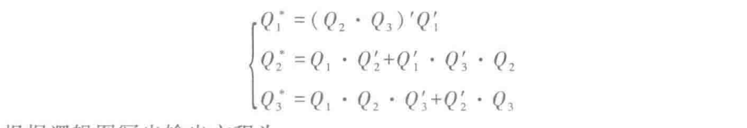
状态转换表

例子
第一种画法:

设电路的初态Q3Q2Q1=000,代入式子后得到Q3Q2Q1=001,再代入式子得到新值。

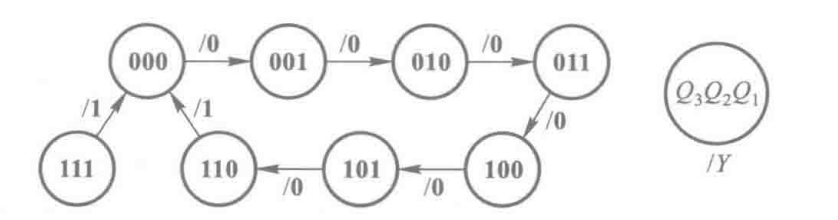
第二种画法:
可以看出每经过7个时钟信号周期状态变化一次,则这个电路具有对时钟信号计数的功能,相当于7进制计数器。输出为进位脉冲。

状态转换图

在状态转换图中以圆圈表示电路的各个状态, 以箭头表示状态转换的方向。同时, 还在箭头旁注明了状态转换前的输人变量取值和输出值。通常将输人变量取值写在斜线以上, 将输出值写在斜线以下。所示中电路没有输人逻辑变量, 所以斜线上方没有注字。

时序图

同步时钟分析完整流程
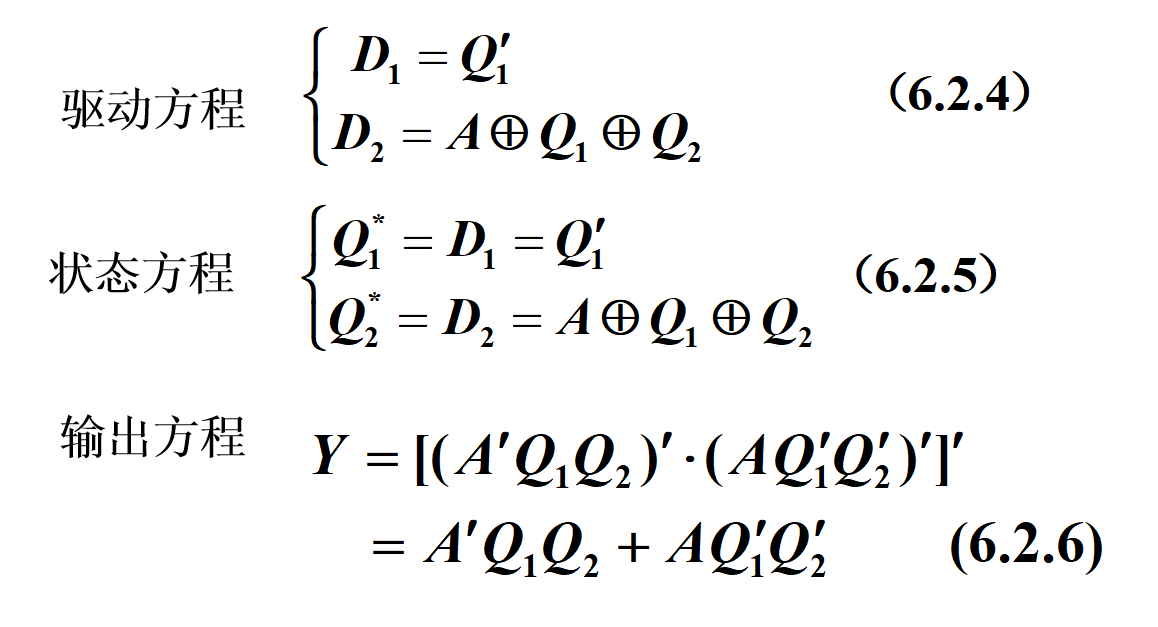
例1









例2




最后
以上就是慈祥龙猫最近收集整理的关于同步时序逻辑电路分析——数电第六章学习的全部内容,更多相关同步时序逻辑电路分析——数电第六章学习内容请搜索靠谱客的其他文章。
发表评论 取消回复