6.实验内容及步骤
(1)测试74HC161的逻辑功能,根据测试结果总结并描述其逻辑功能,表格自行完善。

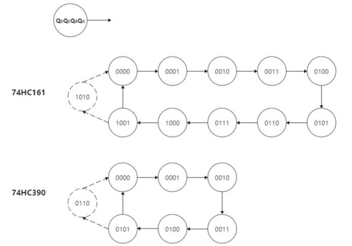
表2.5.1 74HC161的功能表
(2)测试74HC390的逻辑功能,根据测试结果总结并描述其逻辑功能,表格自行完善。

表2.5.2 74HC390功能表
(3)用74LS161和74LS390构成N进制计数器(利用数码管显示)
| 输出端 | 数码管对应的字符 | |||
| QD | QC | QB | QA | |
| 0 | 0 | 0 | 0 | 0 |
| 0 | 0 | 0 | 1 | 1 |
| 0 | 0 | 1 | 0 | 2 |
| 0 | 0 | 1 | 1 | 3 |
| 0 | 1 | 0 | 0 | 4 |
| 0 | 1 | 0 | 1 | 5 |
| 0 | 1 | 1 | 0 | 6 |
| 0 | 1 | 1 | 1 | 7 |
| 1 | 0 | 0 | 0 | 8 |
| 1 | 0 | 0 | 1 | 9 |
| 1 | 0 | 1 | 0 | A |
| 1 | 0 | 1 | 1 | b |
| 1 | 1 | 0 | 0 | C |
| 1 | 1 | 0 | 1 | d |
| 1 | 1 | 1 | 0 | E |
| 1 | 1 | 1 | 1 | F |
以下实验用Multisim仿真
① 用74LS161设计六进制计数器。
a.写出设计方案。
b.画出逻辑图。
c.实验验证其逻辑功能。
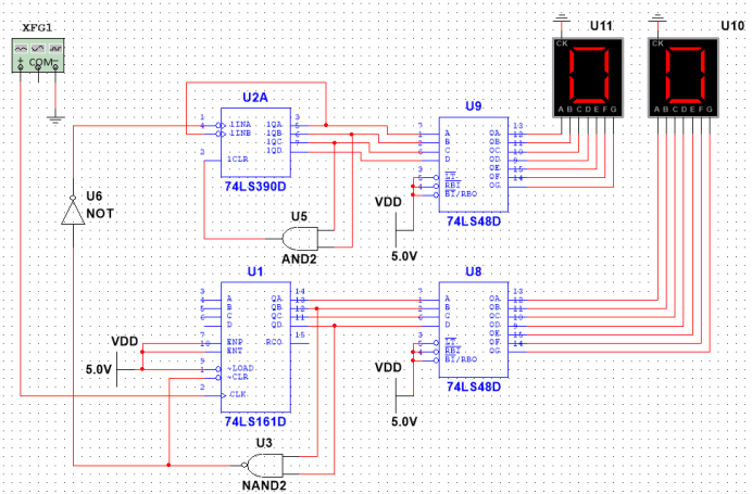
答:这里我使用的是反馈清零法。如下面的电路图所示,借助74LS161的异步清零功能实现。


②用一片74HC161和一片74HC390构成六十进制计数器。
a.写出设计方案,指出个位与十位的进位如何获得。
b.画出接线图。
c.实验验证其逻辑功能。
答:我这里的个位是由74HC161输出,十位是由74HC390输出。清零的方式都是反馈清零法,而进位信号使用的是用一个与非门(U3)和非门(U6)构成的,如下图所示:



③用一片74HC161和一片74HC390构成二十四进制计数器。
a.写出设计方案,特别指出个位与十位的级联如何设计。
b.画出接线图。
c.实验验证其逻辑功能。
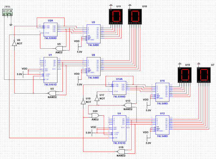
答:我这里的个位是由74HC161输出,十位是由74HC390输出。清零的方式都是反馈清零法,而进位信号使用的是用一个与非门(U3)和非门(U6)构成的,如下图所示:



④级联六十进制计数器和二十四进制计数器。
a.写出设计方案,特别指出六十进制与二十四进制的级联如何设计。
b.画出接线图。
c.实验验证其逻辑功能。



7.思考题
(1)解决电路自启动问题有哪些方法?
答:第一种:修改无效循环中的状态转换关系,断开无效循环并把无效循环状态引导至有效状态,使电路的状态图形成能自启动的状态图,从而来解决自启动问题。第二种:加电预置和检测复位电路,在打开电源的瞬间,使电路处在一个有效状态下,从而避免进入无效状态;当电路工作不正常时,立即发出中断申请,使逻辑电路初始化,重新加电预置。
(2)在采用中规模集成计数器构成N进制计数器时,采用哪两种方法?两者有何区别?
答:用M进制集成计数器构成N进制计数器时,如果M>N,则只需一个M进制集成计数器;如果M<N,则要用多个M进制计数器构成。
M>N时,可以利用反馈清零法和反馈置数法来跳过多余的状态。反馈清零法适用于有清零输入端的集成计数器。在本次实验使用的74LS161和74LS390都具有异步清零功能,在其计数过程中,不管它的输出处于哪一个状态,只要异步清零输入端有效,其输出会立即从那个状态回到0000状态。反馈置数法适用于具有预置数功能的集成计数器。在本次实验使用的74LS161都具有同步预置功能,在其计数过程中,使预置控制端有效时,在下一个CP脉冲作用后,计数器就会把预置数据输入端的状态置入计数器。
M<N时,可以利用多个M进制计数器进行级联。然后利用上述介绍的反馈清零法和反馈置数法来跳过多余的状态。
(3)为什么在搭设六进制计数器过程中会遇到竞争冒险现象。
答:门电路的逻辑功能只有在输入和输出状态稳定时才存在。在没有考虑信号通过导线和逻辑门的传输延迟时间的理想情况下,门电路的输入与输出为稳定状态。实际上,由于信号在传输过程中改变状态都要经历一段极短的过渡时间,或者信号传输路径不同而使信号到达输出端有先有后。综上所述,当一个逻辑门的两个输入端的信号同时向相反方向变化,而变化的时间有差异的现象,称为竞争。由竞争而可能产生输出干扰脉冲的现象称为冒险。
因此在搭设六进制计数器过程中使用的逻辑门是产生竞争冒险现象的根本原因。
(4)描述你所学习到的进位信号产生的经验。
答:在本次实验中,进位信号的产生是利用清零信号的变化来实现的。如搭设二十四进制计数器时:在74LS161输出QDQCQBQA=1010的同时,利用与非门(U3)后再通过一个非门(U6)译码后,就会给74LS390的时钟端一个高电平。当74LS161的QDQCQBQA返回到0000状态时,就会给74LS390的时钟端就一个低电平,产生一个下降沿,进而使74LS390计数,这就是产生了进位。
(5)总结本次实验的心得。
配套仿真文件:
https://download.csdn.net/download/weixin_48592055/85065811
最后
以上就是超级黄豆最近收集整理的关于实验五、计数器逻辑功能和设计的全部内容,更多相关实验五、计数器逻辑功能和设计内容请搜索靠谱客的其他文章。
发表评论 取消回复