本文实例为大家分享了OpenGL绘制贝塞尔曲线的具体代码,供大家参考,具体内容如下
最终效果图:
通过3个点形成一条贝塞尔曲线

1. 鼠标问题
在使用鼠标获取坐标的时候,要知道鼠标获取的坐标和屏幕坐标是不同的;
openGL使用右手坐标
从左到右,x递增
从下到上,y递增
从远到近,z递增
而鼠标是从左到右增x,同时从上到下也是增y
所以在求 y 的时候,用(屏幕大小-y)来获取
2. 绘制
setpoint 用来绘制点
setline 用来绘制线
setBezier 用来绘制贝塞尔曲线
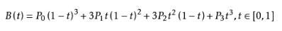
其中公式的意义可以参考百科:

实际绘制的时候就是不断的增加t,求出下一点的值然后将两个链接起来,然后再将下一个点作为起点,再求出下下一个点
Api解释在代码中
#include "GLglut.h"
#include <math.h>
#include <Windows.h>
//这是一个点的类,用于存储其中点的坐标
class Point
{
public:
int x, y;
void setxy(int _x, int _y) {
x = _x;
y = _y;
}
};
//点的数量
static int POINTSNUM = 0;
//用于存储点的集合,因为绘制的都是4个点的贝塞尔曲线,所以数组大小为4
static Point points[4];
//初始化函数
void init(void)
{
glClearColor(1.0, 1.0, 1.0, 0); //设定背景为黑色
glColor3f(0.0,0.0,0.0); //绘图颜色为白色
glPointSize(2.0); //设定点的大小为2*2像素的
glMatrixMode(GL_PROJECTION); // 设定合适的矩阵
glLoadIdentity(); // 是一个无参的无值函数,其功能是用一个4×4的单位矩阵来替换当前矩阵,实际上就是对当前矩阵进行初始化。也就是说,无论以前进行了多少次矩阵变换,在该命令执行后,当前矩阵均恢复成一个单位矩阵,即相当于没有进行任何矩阵变换状态
gluOrtho2D(0.0,600.0,0.0,480.0); //平行投影,四个参数分别是x,y范围
}
//绘制点
void setPoint(Point p) {
glBegin(GL_POINTS);
glVertex2f(p.x, p.y);
glEnd();
glFlush();
}
// 绘制直线
void setline(Point p1, Point p2) {
glBegin(GL_LINES);
glVertex2f(p1.x,p1.y);
glVertex2f(p2.x, p2.y);
glEnd();
glFlush();
}
// 绘制贝塞尔曲线
Point setBezier(Point p1, Point p2, Point p3, Point p4,double t) {
Point p;
double a1 = pow((1 - t), 3);
double a2 = pow((1 - t), 2) * 3 * t;
double a3 = 3 * t*t*(1 - t);
double a4 = t*t*t;
p.x = a1*p1.x + a2*p2.x + a3*p3.x + a4*p4.x;
p.y = a1*p1.y + a2*p2.y + a3*p3.y + a4*p4.y;
return p;
}
//display函数
void display()
{
glClear(GL_COLOR_BUFFER_BIT);
glFlush();
}
// 鼠标事件
void mymouseFunction(int button, int state, int x, int y) {
if (state == GLUT_DOWN) // 如果鼠标按下,不区分左右键的
{
points[POINTSNUM].setxy(x,480- y); // 这里求鼠标点的坐标的时候
// 设置点的颜色,绘制点
glColor3f(1.0,0.0,0.0);
setPoint(points[POINTSNUM]);
// 设置线的颜色,绘制线
glColor3f(1.0,0.0,0.0);
if(POINTSNUM > 0) setline(points[POINTSNUM-1],points[POINTSNUM]);
//如果达到了4个绘制贝塞尔曲线,并在之后给计数器清零
if (POINTSNUM == 3) {
//绘制贝塞尔曲线
glColor3f(0.0, 0.0, 1.0); // 设定贝塞尔曲线的颜色
Point p_current = points[0]; //设为起点
for (double t = 0.0; t <= 1.0; t += 0.05)
{
Point P = setBezier(points[0], points[1], points[2], points[3], t);
setline(p_current, P);
p_current = P;
}
POINTSNUM = 0;
}
else {
POINTSNUM++;
}
}
}
int main(int argc, char *argv[])
{
glutInit(&argc, argv); //固定格式
glutInitDisplayMode(GLUT_RGB | GLUT_SINGLE); //缓存模式
glutInitWindowSize(600, 480); //显示框的大小
glutInitWindowPosition(100, 100); //确定显示框左上角的位置
glutCreateWindow("第四次作业");
init(); // 初始化
glutMouseFunc(mymouseFunction); // 添加鼠标事件
glutDisplayFunc(display); // 执行显示
glutMainLoop(); //进人GLUT事件处理循环
return 0;
}
以上就是本文的全部内容,希望对大家的学习有所帮助,也希望大家多多支持靠谱客。
最后
以上就是默默小蚂蚁最近收集整理的关于OpenGL绘制贝塞尔曲线的全部内容,更多相关OpenGL绘制贝塞尔曲线内容请搜索靠谱客的其他文章。
本图文内容来源于网友提供,作为学习参考使用,或来自网络收集整理,版权属于原作者所有。
发表评论 取消回复