题目描述:
给定一个二叉搜索树的根节点 root ,和一个整数 k ,请你设计一个算法查找其中第 k 个最小元素(从 1 开始计数)。
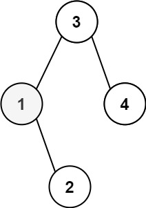
示例 1:

输入:root = [3,1,4,null,2], k = 1
输出:1
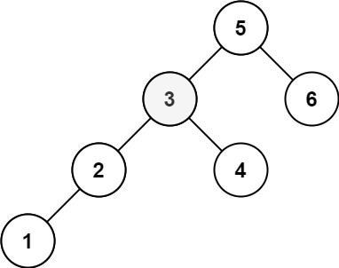
示例 2:

输入:root = [5,3,6,2,4,null,null,1], k = 3
输出:3
提示:
树中的节点数为 n 。
1 <= k <= n <= 104
0 <= Node.val <= 104
代码:
package leetcodeday1;
public class leetcode230 {
/**
* 由于二叉搜索树,左子树一定小于该节点,右子树一定大于该节点,所以我们可以
* 1。先确定第k小元素的位置,我们可以先得到根节点左子树的数量leftNum
* (1)如果k < leftNum,则该元素在根节点的左子树中
* (2)如果k = leftNum + 1, 则该元素是根节点
* (3)如果k > leftNum + 1, 则该元素在根节点的右子树中
* 2。确定位置后,我们可以进行递归回溯,即确定后将该节点的左孩子或者右孩子重新作为根节点进行判断
* 3。结束条件为 情况(2)
*
* 但这样时间复杂度会高很多,因为每次往下都会去统计左子树的元素数量
*/
public int kthSmallest(TreeNode root, int k) {
int leftNum = getLeftNum(root.left);
// 结束条件
if (leftNum + 1 == k){
return root.val;
}
else if (k <= leftNum){
return kthSmallest(root.left, k);
}
else {
return kthSmallest(root.right, k - leftNum - 1);
}
}
// 获得左子树中元素的数量
private int getLeftNum(TreeNode root) {
// 结束条件
if (root == null){
return 0;
}
return getLeftNum(root.left) + getLeftNum(root.right) + 1;
}
}
class TreeNode {
int val;
TreeNode left;
TreeNode right;
TreeNode() {
}
TreeNode(int val) {
this.val = val;
}
TreeNode(int val, TreeNode left, TreeNode right) {
this.val = val;
this.left = left;
this.right = right;
}
}
最后
以上就是淡定小海豚最近收集整理的关于[Leetcode每日一题]230. 二叉搜索树中第K小的元素的全部内容,更多相关[Leetcode每日一题]230.内容请搜索靠谱客的其他文章。
本图文内容来源于网友提供,作为学习参考使用,或来自网络收集整理,版权属于原作者所有。
发表评论 取消回复