问题1:ID3、C4.5、CART树的算法思想
ID3算法的核心是在决策树的每个节点上应用信息增益准则选择特征,递归地构架决策树。
C4.5算法的核心是在生成过程中用信息增益比来选择特征。
(1)经验熵 刻画了对数据集进行分类的不确定性。
(2)经验条件熵 刻画了在特征 A 给定条件下,对数据集分类的不确定性。
(3)信息增益 刻画了由于特征 A 的确定,从而使得对数据集的分类的不确定性减少的程度。
信息增益:数据集 D 的经验熵与关于特征 A 的经验条件熵的差值。
问题2:ID3、C4.5、CART树分裂依据的公式
ID3算法分类依据:信息增益:经验熵 - 经验条件熵
经验熵

经验条件熵

信息增益

C4.5算法分类依据:信息增益比

其中,数据集D关于特征A的经验熵为

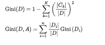
Cart树算法分类依据:基尼指数

问题3:为什么信息增益比比信息增益好?
因为信息增益会倾向于取值较多的特征,信息增益比本质上是对信息增益乘以一个加权系数,可以在一定程度上对取值较多的特征进行惩罚,避免ID3出现过拟合,提升决策树的泛化能力。
问题4:ID3、C4.5、CART树的区别
三种树的分裂依据不同。
ID3只能处理离散型变量;C4.5和CART都可以处理连续型变量。
ID3对缺失值比较敏感;C4.5和CART都可以处理缺失值。
ID3和C4.5只能用于分类任务,CART既可以分类,也可以回归。
ID3和C4.5可以在每个节点上产生多叉分支,且每个特征在层级之间不会复用,CART每个节点只会产生两个分支,因此会形成二叉树,且每个特征可以被重复使用。
问题5:随机森林的大致过程和优缺点
随机森林是一种基于bagging的分类算法,它通过自助法(bootstrap)重采样技术,从原始训练样本集D中有放回地重复随机抽取n个样本生成新的训练样本集合训练决策树,然后按以上步骤生成m棵决策树组成随机森林,新数据的分类结果按分类树投票多少形成的分数而定。
随机森林大致过程如下:
1)从样本集中有放回随机采样选出n个样本;
2)从所有特征中随机选择k个特征,对选出的样本利用这些特征建立决策树(一般是CART,也可是别的或混合);
3)重复以上两步m次,即生成m棵决策树,形成随机森林;
4)对于新数据,经过每棵树决策,最后投票确认分到哪一类。
随机森林是一种基于bagging的分类算法,它通过自助法(bootstrap)重采样技术,从原始训练样本集D中有放回地重复随机抽取n个样本生成新的训练样本集合训练决策树,然后按以上步骤生成m棵决策树组成随机森林,新数据的分类结果按分类树投票多少形成的分数而定。
优点:
每棵树都选择部分样本及部分特征,一定程度避免过拟合;
训练速度快,适合并行计算;
数据无需进行归一化
缺点:
黑盒模型,不好解释。
问题6:随机森林和GBDT区别
随机森林采用的bagging思想,而GBDT采用的boosting思想。这两种方法都是Bootstrap思想的应用,Bootstrap是一种有放回的抽样方法思想。虽然都是有放回的抽样,但二者的区别在于:Bagging采用有放回的均匀取样,而Boosting根据错误率来取样(Boosting初始化时对每一个训练样例赋相等的权重1/n,然后用该算法对训练集训练t轮,每次训练后,对训练失败的样例赋以较大的权重),因此Boosting的分类精度要优于Bagging。Bagging的训练集的选择是随机的,各训练集之间相互独立,弱分类器可并行,而Boosting的训练集的选择与前一轮的学习结果有关,是串行的。
组成随机森林的树可以是分类树,也可以是回归树;而GBDT只能由回归树组成。
组成随机森林的树可以并行生成;而GBDT只能是串行生成。对于最终的输出结果而言,随机森林采用多数投票等;而GBDT则是将所有结果累加起来,或者加权累加起来。
随机森林对异常值不敏感;GBDT对异常值非常敏感。
随机森林对训练集一视同仁;GBDT是基于权值的弱分类器的集成。随机森林是通过减少模型方差提高性能;GBDT是通过减少模型偏差提高性能。
金三银四求职季,进大厂是大部分程序员的梦想,而进大厂的门槛也是比较高的。刷题,也成为面试前的必备环节。
七妹给大家准备了“秘籍”,七月在线干货组继19年出的两本书《名企AI面试100题》和《名企AI面试100篇》后,又整理出《机器学习十大算法系列》、《2021年最新大厂AI面试题 Q4版》两本图书,总结了市面上大厂的面试题。
为了让更多AI人受益,七仔现把电子版免费送给大家,希望对你的求职有所帮助。如果点赞和点在看的人数较多,我会后续整理资料并分享答案给大家。
↓ ↓ ↓以下4本书,电子版,直接送 ↓ ↓ ↓
评论区回复 " 007 " 领取!

最后
以上就是顺心硬币最近收集整理的关于大厂常考决策树模型面试题总结问题1:ID3、C4.5、CART树的算法思想问题2:ID3、C4.5、CART树分裂依据的公式问题3:为什么信息增益比比信息增益好?问题4:ID3、C4.5、CART树的区别问题5:随机森林的大致过程和优缺点问题6:随机森林和GBDT区别的全部内容,更多相关大厂常考决策树模型面试题总结问题1:ID3、C4.5、CART树内容请搜索靠谱客的其他文章。
发表评论 取消回复