决策树的工作原理
决策树基本上就是把我们以前的经验总结出来。如果我们要出门打篮球,一般会根据“天气”、“温度”、“湿度”、“刮风”这几个条件来判断,最后得到结果:去打篮球?还是不去?

上面这个图就是一棵典型的决策树。我们在做决策树的时候,会经历两个阶段:构造和剪枝。
构造
构造就是生成一棵完整的决策树。简单来说,构造的过程就是选择什么属性作为节点的过程,那么在构造过程中,会存在三种节点:
-
根节点:就是树的最顶端,最开始的那个节点。在上图中,“天气”就是一个根节点;
-
内部节点:就是树中间的那些节点,比如说“温度”、“湿度”、“刮风”;
-
叶节点:就是树最底部的节点,也就是决策结果。
节点之间存在父子关系。比如根节点会有子节点,子节点会有子子节点,但是到了叶节点就停止了,叶节点不存在子节点。那么在构造过程中,你要解决三个重要的问题:
-
选择哪个属性作为根节点;
-
选择哪些属性作为子节点;
-
什么时候停止并得到目标状态,即叶节点。
剪枝
剪枝就是给决策树瘦身,这一步想实现的目标就是,不需要太多的判断,同样可以得到不错的结果。之所以这么做,是为了防止“过拟合”(Overfitting)现象的发生。
过拟合:指的是模型的训练结果“太好了”,以至于在实际应用的过程中,会存在“死板”的情况,导致分类错误。
欠拟合:指的是模型的训练结果不理想。

造成过拟合的原因:
一是因为训练集中样本量较小。如果决策树选择的属性过多,构造出来的决策树一定能够“完美”地把训练集中的样本分类,但是这样就会把训练集中一些数据的特点当成所有数据的特点,但这个特点不一定是全部数据的特点,这就使得这个决策树在真实的数据分类中出现错误,也就是模型的“泛化能力”差。
泛化能力:指的分类器是通过训练集抽象出来的分类能力,你也可以理解是举一反三的能力。如果我们太依赖于训练集的数据,那么得到的决策树容错率就会比较低,泛化能力差。因为训练集只是全部数据的抽样,并不能体现全部数据的特点。
剪枝的方法:
- 预剪枝:在决策树构造时就进行剪枝。方法是,在构造的过程中对节点进行评估,如果对某个节点进行划分,在验证集中不能带来准确性的提升,那么对这个节点进行划分就没有意义,这时就会把当前节点作为叶节点,不对其进行划分。
- 后剪枝:在生成决策树之后再进行剪枝。通常会从决策树的叶节点开始,逐层向上对每个节点进行评估。如果剪掉这个节点子树,与保留该节点子树在分类准确性上差别不大,或者剪掉该节点子树,能在验证集中带来准确性的提升,那么就可以把该节点子树进行剪枝。方法是:用这个节点子树的叶子节点来替代该节点,类标记为这个节点子树中最频繁的那个类。
如何判断要不要去打篮球?

我们该如何构造一个判断是否去打篮球的决策树呢?再回顾一下决策树的构造原理,在决策过程中有三个重要的问题:将哪个属性作为根节点?选择哪些属性作为后继节点?什么时候停止并得到目标值?
显然将哪个属性(天气、温度、湿度、刮风)作为根节点是个关键问题,在这里我们先介绍两个指标:纯度和信息熵。
纯度:
你可以把决策树的构造过程理解成为寻找纯净划分的过程。数学上,我们可以用纯度来表示,纯度换一种方式来解释就是让目标变量的分歧最小。
举个例子,假设有 3 个集合:
- 集合 1:6 次都去打篮球;
- 集合 2:4 次去打篮球,2 次不去打篮球;
- 集合 3:3 次去打篮球,3 次不去打篮球。
按照纯度指标来说,集合 1> 集合 2> 集合 3。因为集合1 的分歧最小,集合 3 的分歧最大。
信息熵:表示信息的不确定度
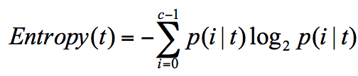
在信息论中,随机离散事件出现的概率存在着不确定性。为了衡量这种信息的不确定性,信息学之父香农引入了信息熵的概念,并给出了计算信息熵的数学公式:

p(i|t) 代表了节点 t 为分类 i 的概率,其中 log2 为取以 2 为底的对数。这里我们不是来介绍公式的,而是说存在一种度量,它能帮我们反映出来这个信息的不确定度。当不确定性越大时,它所包含的信息量也就越大,信息熵也就越高。
举个例子,假设有 2 个集合:
- 集合 1:5 次去打篮球,1 次不去打篮球;
- 集合 2:3 次去打篮球,3 次不去打篮球。
在集合 1 中,有 6 次决策,其中打篮球是 5 次,不打篮球是 1 次。那么假设:类别 1 为“打篮球”,即次数为 5;类别 2 为“不打篮球”,即次数为 1。那么节点划分为类别1的概率是 5/6,为类别2的概率是1/6,带入上述信息熵公式可以计算得出:

同样,集合 2 中,也是一共 6 次决策,其中类别 1 中“打篮球”的次数是 3,类别 2“不打篮球”的次数也是 3,那么信息熵为多少呢?我们可以计算得出:

从上面的计算结果中可以看出,信息熵越大,纯度越低。当集合中的所有样本均匀混合时,信息熵最大,纯度最低。
我们在构造决策树的时候,会基于纯度来构建。而经典的 “不纯度”的指标有三种,分别是信息增益(ID3 算法)、信息增益率(C4.5 算法)以及基尼指数(Cart 算法)。
信息增益:
信息增益指的就是划分可以带来纯度的提高,信息熵的下降。它的计算公式,是父亲节点的信息熵减去所有子节点的信息熵。在计算的过程中,我们会计算每个子节点的归一化信息熵,即按照每个子节点在父节点中出现的概率,来计算这些子节点的信息熵。所以信息增益的公式可以表示为:

公式中 D 是父亲节点,Di 是子节点,Gain(D,a)中的 a 作为 D 节点的属性选择。
假设D 天气 = 晴的时候,会有 5 次去打篮球,5 次不打篮球。其中 D1 刮风 = 是,有 2 次打篮球,1 次不打篮球。D2 刮风 = 否,有 3 次打篮球,4 次不打篮球。那么a 代表节点的属性,即天气 = 晴。

针对图上这个例子,D 作为节点的信息增益为:

也就是 D 节点的信息熵 -2 个子节点的归一化信息熵。2个子节点归一化信息熵 =3/10 的 D1 信息熵 +7/10 的 D2 信息熵。
我们基于 ID3 的算法规则,完整地计算下我们的训练集,训练集中一共有 7 条数据,3 个打篮球,4 个不打篮球,所以根节点的信息熵是:

如果你将天气作为属性的划分,会有三个叶子节点 D1、D2 和D3,分别对应的是晴天、阴天和小雨。我们用 + 代表去打篮球,- 代表不去打篮球。那么第一条记录,晴天不去打篮球,可以记为 1-,于是我们可以用下面的方式来记录 D1,D2,D3:
D1(天气 = 晴天)={1-,2-,6+}
D2(天气 = 阴天)={3+,7-}
D3(天气 = 小雨)={4+,5-}
我们先分别计算三个叶子节点的信息熵:

因为 D1 有 3 个记录,D2 有 2 个记录,D3 有2 个记录,所以 D 中的记录一共是 3+2+2=7,即总数为 7。所以 D1 在 D(父节点)中的概率是 3/7,D2在父节点的概率是 2/7,D3 在父节点的概率是 2/7。那么作为子节点的归一化信息熵 = 3/7*0.918+2/7*1.0=0.965。
因为我们用 ID3 中的信息增益来构造决策树,所以要计算每个节点的信息增益。
天气作为属性节点的信息增益为,Gain(D , 天气)=0.985-0.965=0.020。
同理我们可以计算出其他属性作为根节点的信息增益,它们分别为:
Gain(D , 温度)=0.128
Gain(D , 湿度)=0.020
Gain(D , 刮风)=0.020
我们能看出来温度作为属性的信息增益最大。因为 ID3 就是要将信息增益最大的节点作为父节点,这样可以得到纯度高的决策树,所以我们将温度作为根节点。其决策树状图分裂为下图所示:

然后我们要将上图中第一个叶节点,也就是 D1={1-,2-,3+,4+}进一步进行分裂,往下划分,计算其不同属性(天气、湿度、刮风)作为节点的信息增益,可以得到:
Gain(D , 天气)=0
Gain(D , 湿度)=0
Gain(D , 刮风)=0.0615
我们能看到刮风为 D1 的节点都可以得到最大的信息增益,这里我们选取刮风作为节点。同理,我们可以按照上面的计算步骤得到完整的决策树,结果如下:

于是我们通过 ID3 算法得到了一棵决策树。ID3 的算法规则相对简单,可解释性强。同样也存在缺陷,比如我们会发现 ID3 算法倾向于选择取值比较多的属性。这样,如果我们把“编号”作为一个属性(一般情况下不会这么做,这里只是举个例子),那么“编号”将会被选为最优属性 。但实际上“编号”是无关属性的,它对“打篮球”的分类并没有太大作用。
所以 ID3 有一个缺陷就是,有些属性可能对分类任务没有太大作用,但是他们仍然可能会被选为最优属性。这种缺陷不是每次都会发生,只是存在一定的概率。在大部分情况下,ID3 都能生成不错的决策树分类。针对可能发生的缺陷,后人提出了新的算法进行改进。
在 ID3 算法上进行改进的 C4.5 算法
1. 采用信息增益率
因为 ID3 在计算的时候,倾向于选择取值多的属性。为了避免这个问题,C4.5 采用信息增益率的方式来选择属性。信息增益率 = 信息增益 / 属性熵
当属性有很多值的时候,相当于被划分成了许多份,虽然信息增益变大了,但是对于 C4.5 来说,属性熵也会变大,所以整体的信息增益率并不大。
2. 采用悲观剪枝
ID3 构造决策树的时候,容易产生过拟合的情况。在 C4.5中,会在决策树构造之后采用悲观剪枝(PEP),这样可以提升决策树的泛化能力。
悲观剪枝是后剪枝技术中的一种,通过递归估算每个内部节点的分类错误率,比较剪枝前后这个节点的分类错误率来决定是否对其进行剪枝。这种剪枝方法不再需要一个单独的测试数据集。
3. 离散化处理连续属性
C4.5 可以处理连续属性的情况,对连续的属性进行离散化的处理。比如打篮球存在的“湿度”属性,不按照“高、中”划分,而是按照湿度值进行计算,那么湿度取什么值都有可能。该怎么选择这个阈值呢,C4.5 选择具有最高信息增益的划分所对应的阈值。
4. 处理缺失值
针对数据集不完整的情况,C4.5 也可以进行处理。
假如我们得到的是如下的数据,你会发现这个数据中存在两点问题。第一个问题是,数据集中存在数值缺失的情况,如何进行属性选择?第二个问题是,假设已经做了属性划分,但是样本在这个属性上有缺失值,该如何对样本进行划分?

我们不考虑缺失的数值,可以得到温度 D={2-,3+,4+,5-,6+,7-}。温度 = 高:D1={2-,3+,4+};温度 = 中:D2={6+,7-};温度 = 低:D3={5-} 。这里 + 号代表打篮球,- 号代表不打篮球。比如ID=2 时,决策是不打篮球,我们可以记录为 2-。
所以三个叶节点的信息熵可以结算为:

这三个节点的归一化信息熵为 3/6*0.918+2/6*1.0+1/6*0=0.792。
针对将属性选择为温度的信息增益率为:
Gain(D′, 温度)=Ent(D′)-0.792=1.0-0.792=0.208
D′的样本个数为 6,而 D 的样本个数为 7,所以所占权重比例为 6/7,所以 Gain(D′,温度) 所占权重比例为6/7,所以:
Gain(D, 温度)=6/7*0.208=0.178
这样即使在温度属性的数值有缺失的情况下,我们依然可以计算信息增益,并对属性进行选择。
小结:
首先 ID3 算法的优点是方法简单,缺点是对噪声敏感。训练数据如果有少量错误,可能会产生决策树分类错误。C4.5 在 IID3 的基础上,用信息增益率代替了信息增益,解决了噪声敏感的问题,并且可以对构造树进行剪枝、处理连续数值以及数值缺失等情况,但是由于 C4.5 需要对数据集进行多次扫描,算法效率相对较低。

最后
以上就是怕黑翅膀最近收集整理的关于决策树的全部内容,更多相关决策树内容请搜索靠谱客的其他文章。
发表评论 取消回复