代码行统计并使用Java8流重构
昨天看了一个关于统计大文本的的例子,想起来老师说,对于我们专业的学生,大学四年应该累计代码量达到五万行才算是比较合格的。正好想起来,计算一下自己的Java代码量。
问题定义
我现在主要学习Java以后,很多东西都在Eclipse的工程目录里面了,这个目录下面的文件信息如下。

所以,现在问题就转变为遍历2423个文件夹,寻找Java源文件,并统计代码行数了。
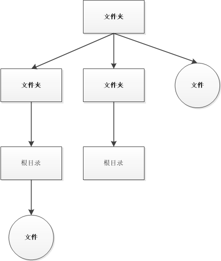
一个简单的工程目录大概如下:

重点就是遍历这个文件夹,找到 CodeCounter.java 文件,并统计代码行数。
分析思路
获取文件的思路
因为文件夹和文件的组织形式是树形的,所以,考虑我们需要访问以下这个目录。所以,可以采用递归的形式,来遍历每一个文件夹,寻找目标文件。
具体思路为:
1.访问一个文件夹,获取其下所有的文件(文件包括文件夹)。
2.如果获取结果为空,则退出当前访问。否则,对于每一个文件,如果其是文件夹,则执行步骤1;否则,记录当前文件的信息,并退出当前访问。
提示: 把文件夹当作左子树,文件当作右子树,类似二叉树的先序遍历。

这里我使用一个 List 记录所有Java源文件的路径。
/**
* 获取指定目录下的代码文件路径,并存入一个 List。
* */
private void ListCodeFile(File file) {
//这里需要注意,这个 name 是文件的 getName 所获取的名字,如果需要访问这个文件,
//必须在当前目录下才可以,即 new File(name) 是不存在的,必须是 new File(dir, name)。
File[] files = file.listFiles(new FilenameFilter() {
@Override
public boolean accept(File dir, String name) {
File f = new File(dir, name);
if (f.isDirectory()) {
return true;
} else {
return name.endsWith(suffix); //以扩展名的方式来过滤指定格式的文件
}
}
});
if (files == null) {
return ;
}
for (File f : files) {
if (f.isDirectory()) {
ListCodeFile(f);
} else {
String path = f.getAbsolutePath();
this.pathList.add(path);
}
}
}
统计文本文件的行数思路
这里我采用通过换行符 n 的数据来确定文件的行数。下面这张图中的 CRLF 就是换行符,注意左边的行号是3,但是换行符的数量是2。这是因为文件结尾是没有换行符的,所以可以得到换行符和文件行数的对应关系:
文件行数 = 文件数 + 文件换行符数。

思路: 对于每一个文件,每次读取一个字节数组的数据,然后对数组内的 n 符号进行计数,循环累加,得到一个文件的换行符数。
注意:源代码中含有空行和注释,我认为注释是必要的,体现了自己的思考,应该计算入代码行数内。但是空行只是为了显示起来不那么拥挤,所以我认为应该去掉空行的数量。
例如,对于如下字节数组序列(空白表示空白字符):

显示为文本应该是:
a = 3;
b = 4;
这应该算做两行代码。所以,对于第一个 n 和 第二个 n 之间的内容,应该被认为是一个空行,不计算入代码行数,这里采用一个标志位 flag 来处理。
private int count(String filename) {
int count = 1; //初始化计数器为 1,这里比较特殊,因为最后一行是没有换行符的,所有初始值应该是1。
byte[] data = new byte[1024]; //字节数组
int hasRead = 0;
try (InputStream in = new BufferedInputStream(new FileInputStream(filename))){
while ((hasRead = in.read(data))!= -1) {
boolean flag = true;
for (int i = 0; i < hasRead; i++) {
if (!flag || !Character.isWhitespace(data[i])) {
flag = false;
}
if (data[i] == 'n') {
if (!flag) //如果不是空行
count++;
flag = true; //重置标识位
}
}
}
} catch (FileNotFoundException e) {
e.printStackTrace();
} catch (IOException e) {
e.printStackTrace();
}
return count++;
}
完整代码
package dragon;
import java.io.BufferedInputStream;
import java.io.BufferedReader;
import java.io.File;
import java.io.FileInputStream;
import java.io.FileNotFoundException;
import java.io.FileReader;
import java.io.FilenameFilter;
import java.io.IOException;
import java.io.InputStream;
import java.util.ArrayList;
import java.util.List;
/**
* 对指定目录及其子目录中所有代码文件进行代码行数统计。
* @author Alfred
* @version 1.0
* */
public class CodeCounter {
private String suffix;
public List<String> pathList;
public CodeCounter(String suffix) {
this.suffix = suffix;
this.pathList = new ArrayList<>();
}
/**
* 获取指定目录下的代码文件路径,并存入一个 List。
* */
private void ListCodeFile(File file) {
//这里需要注意,这个 name 是文件的 getName 所获取的名字,如果需要访问这个文件,
//必须在当前目录下才可以,即 new File(name) 是不存在的,必须是 new File(dir, name)。
File[] files = file.listFiles(new FilenameFilter() {
@Override
public boolean accept(File dir, String name) {
File f = new File(dir, name);
if (f.isDirectory()) {
return true;
} else {
return name.endsWith(suffix);
}
}
});
if (files == null) {
return ;
}
for (File f : files) {
if (f.isDirectory()) {
ListCodeFile(f);
} else {
String path = f.getAbsolutePath();
this.pathList.add(path);
}
}
}
/**
* 统计每一个文件的代码行数总和
* */
private int codeCount(List<String> pathList) {
int sum = 0;
for (String filename : pathList) {
sum += this.count(filename);
}
return sum;
}
//统计一个文件的代码行数
private int count(String filename) {
int count = 1; //初始化计数器为 1,这里比较特殊,因为最后一行是没有换行符的,所有初始值应该是1。
byte[] data = new byte[1024]; //字节数组
int hasRead = 0;
try (InputStream in = new BufferedInputStream(new FileInputStream(filename))){
while ((hasRead = in.read(data))!= -1) {
boolean flag = true;
for (int i = 0; i < hasRead; i++) {
if (!flag || !Character.isWhitespace(data[i])) {
flag = false;
}
if (data[i] == 'n') {
if (!flag) //如果不是空行
count++;
flag = true; //重置标识位
}
}
}
} catch (FileNotFoundException e) {
e.printStackTrace();
} catch (IOException e) {
e.printStackTrace();
}
return count++;
}
public static void main(String[] args) {
long start = System.currentTimeMillis();
CodeCounter counter = new CodeCounter(".java");
counter.ListCodeFile(new File("D:\JavaProject"));
System.out.println("Java源文件数:" + counter.pathList.size());
int sum = counter.codeCount(counter.pathList);
System.out.println("代码行数:" + sum);
System.out.println("运行时间毫秒数:" + (System.currentTimeMillis()-start));
counter.pathList.forEach(System.out::println);
}
}
运行结果:
过滤空格:

最初不过滤空格的结果:

说明
通过一个简单的代码统计,也用到了不少的知识。这样也好,活学活用,对于理解一下概念,也是很有帮助的。以前对于文件的操作都用不好,现在也可以较为熟练的使用了,算是一个较大的进步吧。
重构代码
使用Java8学到的一些知识,来重构一下代码,这里不考虑性能的问题。上面统计文本行数的方式,我也看了几个相关的博客,有很好的处理大文件的方式,不过我这个只是很小的数据量了。我就采用这种方式了,对于思考是很有好处。别人推荐的都是工具类了,处理确实很简单。但是我们的思考过程就没了!
获取文件方法重构
1.对于过滤文件的代码,采用 Lambda 表达式来代替匿名对象。 但是,这里我又使用了三目运算符,把代码给简化成一行了,有点失去了易读性。(不过,可以多用用,不然看别人的代码不容易看懂!)
2.对于for循环遍历数组的方式,改为使用内部迭代的方式,利用流来处理。 不过感觉也没有什么简化,可能我只能简化到这一步吧,哈哈!
/**
* 获取指定目录下的代码文件路径,并存入一个 List。
* */
private void ListCodeFile(File file) {
//这里需要注意,这个 name 是文件的 getName 所获取的名字,如果需要访问这个文件,
//必须在当前目录下才可以,即 new File(name) 是不存在的,必须是 new File(dir, name)。
File[] files = file.listFiles((dir, name)->true == new File(dir, name).isDirectory() ? true : name.endsWith(this.suffix));
if (files == null) {
return ;
}
Stream.of(files).forEach(f->{
if (f.isDirectory()) {
ListCodeFile(f);
} else {
String path = f.getAbsolutePath();
this.pathList.add(path);
}
});
}
统计文本文件的行数的方法重构
1.使用字符流的 readLine 方法,来统计代码行数,不使用字节流的方式,这样处理起来比较方便。 对于只有一行代码的文件,却又一个换行符,即下一行是空行,但是上面那种方式会计算为两行代码,所以就造成了一个代码量统计偏高。但是因为一个文件最多就多统计一行,所以也就认为是正确的吧。下面使用 readLine 来处理之后,可以很方便的处理这种问题,这也体现了工具的重要性了。
注意:这个方法是静态的,这是有意为之!为了下面使用方法引用。
public static int countByLine(String filename) {
int count = 0; //这里不是上面那种方式了,初始值为 0
try (BufferedReader reader = new BufferedReader(new FileReader(filename))){
String line = null;
while ((line = reader.readLine()) != null) {
if (!line.trim().equals("")) { //不计算空行
count++;
}
}
} catch (FileNotFoundException e) {
e.printStackTrace();
} catch (IOException e) {
e.printStackTrace();
}
return count;
}
2.函数式编程的一个目的就是减少使用 for、while 等外部迭代的方式,转而使用内部迭代的形式处理代码。
/**
* 统计每一个文件的代码行数
* */
private int codeCount(List<String> pathList) {
int sum = 0;
for (String filename : pathList) {
sum += this.count(filename); //因为我不使用字节流的方式了,所以这个 count 方法,应修改为上面使用的 countByLine 方法。
}
return sum;
}
上面这段代码中使用了循环、累加,正好可以很方便的重构一下代码。
//上面的方法是静态的,所以这里可以使用方法引用。
private int codeCounteByLine(List<String> pathList) {
return pathList.stream()
.map(CodeCounter::countByLine) //对每一个文件名,经过 countByLine 方法,转为 int,达到了一个映射的目的。即 String -> Integer
.reduce(0, (a, b)->a+b); // 使用 reduce 来进行累加操作。
}
这样处理以后,显得逻辑清晰,很方便理解。
3.使用字符流的 readLine 方法,来统计代码行数,不使用字节流的方式,这样处理起来比较方便。
注意:这个方法不是静态的,为了下面使用另一种形式的方法引用。
public int countByLine1(String filename) {
//方法体同上面的 countByLine
}
使用并行流进行处理,这个并行流我并不熟悉,这里就是尝试一下, 似乎效果不明显。可能是数据量太少了,并行不一定比串行速度快。这里可以忽略这个并行流,还是用上面的 Stream,可以比较两种形式方法引用的区别。
private int parallelCodeCounteByLine(List<String> pathList) {
return pathList.parallelStream() //使用并行流处理了
.map(this::countByLine1) //另一种形式的方法引用
.reduce(0, (a, b)->a+b);
}
使用Scala重构代码
最近看了一点点Scala,因为使用Java8重构代码,主要就是使用学习到的函数式编程方式,所以就想着利用 Scala 来重构一次。我以为很简单的事情,结果搞了几个小时,说起来都是泪。我只是看了几页的Scala就敢来重构,踩了太多的坑,查了很多资料,才最终解决了。下面只是把代码贴出来,就不详细说明了,写的不好,而且我也不是很理解这个Scala。
简要说明:使用 Scala 确实简洁了许多,代码量大为减少,当时因为不是很熟悉,所以写起来很难受,搞得我的学习热情都消退了。
import java.io.File
import scala.io.Source
object CodeCounter {
def main(args: Array[String]): Unit = {
val counter: CodeCounter = new CodeCounter(".java")
counter.ListCodeFile(new File("D:\JavaProject"))
println("Java 源文件数:" + counter.pathList.size)
var sum: Int = counter.count
println("代码行数" + sum)
}
}
class CodeCounter {
var suffix: String = _;
var pathList: List[String] = _;
def this(suffix: String) {
this()
this.suffix = suffix
this.pathList = List() //创建一个空列表
}
def ListCodeFile(file: File): Unit = {
val files: Array[File] = file.listFiles((dir: File, name: String)=>{
if (new File(dir, name).isDirectory) {
true //似乎不能使用 return,否则函数就结束了,这是一个大坑!
} else {
name.endsWith(this.suffix)
}
})
if (files == null) {
return
}
files.foreach(f => {
if (f.isDirectory){
ListCodeFile(f)
} else {
val path = f.getAbsolutePath
pathList = pathList :+ path //在列表的尾部添加一个元素,这是一个坑,好奇怪的用法。
}
})
}
//如果文件不是使用UTF-8 会报错,导致我手动改了十几个使用 GBK 编码的文件才解决。
def countByLine(filename: String) = Source.fromFile(filename, "UTF-8")
.getLines()
.filter(line => !line.trim().equals(""))
.map(line => 1)
.reduce(_ + _) //.reduce((a: Int, b: Int) => a+b)
def count() = pathList.map(countByLine).reduce(_ + _)
}
运行结果:

最后
以上就是笨笨小懒虫最近收集整理的关于代码行统计并使用Java8和Scala重构代码行统计并使用Java8流重构的全部内容,更多相关代码行统计并使用Java8和Scala重构代码行统计并使用Java8流重构内容请搜索靠谱客的其他文章。
发表评论 取消回复