我是靠谱客的博主 笨笨西牛,这篇文章主要介绍变换上三角矩阵_线性代数9——消元矩阵与置换矩阵,现在分享给大家,希望可以做个参考。

消元矩阵

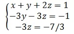
  如果用矩阵表示一个有解的方程组,那么矩阵经过消元后,最终能变成一个上三角矩阵U。用一个三元一次方程组举例:

479d1e6dae41d3500ed1902d1c236356.png


  A经过一些列变换,最终得到了一个上三角矩阵U:

ce62a81c99343f5569e6a3fd6b9af35a.png

  回代到方程组后可以直接求解:

d80db0ae1701d005928f791e5c3c0a58.png

  如果上面的变换去掉增广矩阵,可以简写为:

6c508c5a8de821fff7b4150949c4c563.png <

最后

以上就是笨笨西牛最近收集整理的关于变换上三角矩阵_线性代数9——消元矩阵与置换矩阵的全部内容,更多相关变换上三角矩阵_线性代数9——消元矩阵与置换矩阵内容请搜索靠谱客的其他文章。

本图文内容来源于网友提供,作为学习参考使用,或来自网络收集整理,版权属于原作者所有。
点赞(193)

评论列表共有 0 条评论

立即
投稿
返回
顶部