
1.分类与回归树简介
分类与回归树的英文是Classfication And Regression Tree,缩写为CART。CART算法采用二分递归分割的技术将当前样本集分为两个子样本集,使得生成的每个非叶子节点都有两个分支。非叶子节点的特征取值为True和False,左分支取值为True,右分支取值为False,因此CART算法生成的决策树是结构简洁的二叉树。CART可以处理连续型变量和离散型变量,利用训练数据递归的划分特征空间进行建树,用验证数据进行剪枝。
-
如果待预测分类是离散型数据,则CART生成分类决策树。
-
如果待预测分类是连续性数据,则CART生成回归决策树。
2.CART分类树
2.1算法详解
CART分类树预测分类离散型数据,采用基尼指数选择最优特征,同时决定该特征的最优二值切分点。分类过程中,假设有K个类,样本点属于第k个类的概率为Pk,则概率分布的基尼指数定义为

根据基尼指数定义,可以得到样本集合D的基尼指数,其中Ck表示数据集D中属于第k类的样本子集。

如果数据集D根据特征A在某一取值a上进行分割,得到D1,D2两部分后,那么在特征A下集合D的基尼系数如下所示。其中基尼系数Gini(D)表示集合D的不确定性,基尼系数Gini(D,A)表示A=a分割后集合D的不确定性。基尼指数越大,样本集合的不确定性越大。

对于属性A,分别计算任意属性值将数据集划分为两部分之后的Gain_Gini,选取其中的最小值,作为属性A得到的最优二分方案。然后对于训练集S,计算所有属性的最优二分方案,选取其中的最小值,作为样本及S的最优二分方案。

2.1实例详解

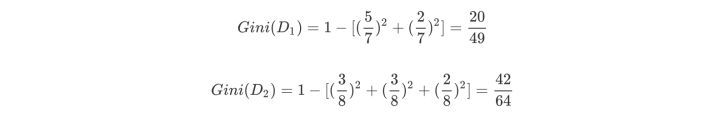
针对上述离散型数据,按照体温为恒温和非恒温进行划分。其中恒温时包括哺乳类5个、鸟类2个,非恒温时包括爬行类3个、鱼类3个、两栖类2个,如下所示我们计算D1,D2的基尼指数。

然后计算得到特征体温下数据集的Gini指数,最后我们选择Gain_Gini最小的特征和相应的划分。

3.CART回归树
3.1算法详解
CART回归树预测回归连续型数据,假设X与Y分别是输入和输出变量,并且Y是连续变量。在训练数据集所在的输入空间中,递归的将每个区域划分为两个子区域并决定每个子区域上的输出值,构建二叉决策树。

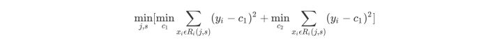
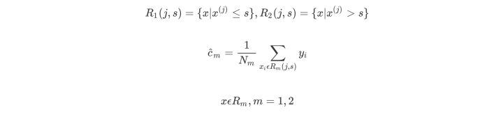
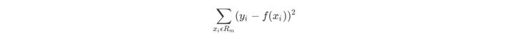
选择最优切分变量j与切分点s:遍历变量j,对规定的切分变量j扫描切分点s,选择使下式得到最小值时的(j,s)对。其中Rm是被划分的输入空间,cm是空间Rm对应的固定输出值。

用选定的(j,s)对,划分区域并决定相应的输出值

继续对两个子区域调用上述步骤,将输入空间划分为M个区域R1,R2,…,Rm,生成决策树。

当输入空间划分确定时,可以用平方误差来表示回归树对于训练数据的预测方法,用平方误差最小的准则求解每个单元上的最优输出值。

3.2实例详解

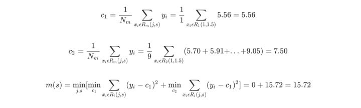
考虑如上所示的连续性变量,根据给定的数据点,考虑1.5,2.5,3.5,4.5,5.5,6.5,7.5,8.5,9.5切分点。对各切分点依次求出R1,R2,c1,c2及m(s),例如当切分点s=1.5时,得到R1={1},R2={2,3,4,5,6,7,8,9,10},其中c1,c2,m(s)如下所示。

依次改变(j,s)对,可以得到s及m(s)的计算结果,如下表所示。

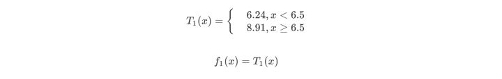
当x=6.5时,此时R1={1,2,3,4,5,6},R2={7,8,9,10},c1=6.24,c2=8.9。回归树T1(x)为

然后我们利用f1(x)拟合训练数据的残差,如下表所示

用f1(x)拟合训练数据得到平方误差

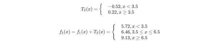
第二步求T2(x)与求T1(x)方法相同,只是拟合的数据是上表的残差。可以得到

用f2(x)拟合训练数据的平方误差

继续求得T3(x)、T4(x)、T5(x)、T6(x),如下所示

用f6(x)拟合训练数据的平方损失误差如下所示,假设此时已经满足误差要求,那么f(x)=f6(x)便是所求的回归树。

4.CART剪枝
此处我们介绍代价复杂度剪枝算法
我们将一颗充分生长的树称为T0 ,希望减少树的大小来防止过拟化。但同时去掉一些节点后预测的误差可能会增大,那么如何达到这两个变量之间的平衡则是问题的关键。因此我们用一个变量α 来平衡,定义损失函数如下

-
T为任意子树,|T|为子树T的叶子节点个数。
-
α是参数,权衡拟合程度与树的复杂度。
-
C(T)为预测误差,可以是平方误差也可以是基尼指数,C(T)衡量训练数据的拟合程度。
那么我们如何找到这个合适的α来使拟合程度与复杂度之间达到最好的平衡呢?准确的方法就是将α从0取到正无穷,对于每一个固定的α,我们都可以找到使得Cα(T)最小的最优子树T(α)。
-
当α很小的时候,T0 是这样的最优子树.
-
当α很大的时候,单独一个根节点就是最优子树。
尽管α的取值无限多,但是T0的子树是有限个。Tn是最后剩下的根结点,子树生成是根据前一个子树Ti,剪掉某个内部节点后,生成Ti+1。然后对这样的子树序列分别用测试集进行交叉验证,找到最优的那个子树作为我们的决策树。子树序列如下

因此CART剪枝分为两部分,分别是生成子树序列和交叉验证,在此不再详细介绍。
最后
以上就是健壮铃铛最近收集整理的关于决策树总结的全部内容,更多相关决策树总结内容请搜索靠谱客的其他文章。
发表评论 取消回复