1. CH2-kNN(1)
2. CH2-kNN(2)
3. CH2-kNN(3)
4. CH3-决策树(1)
5. CH3-决策树(2)
6. CH3-决策树(3)
7. CH4-朴素贝叶斯(1)
8. CH4-朴素贝叶斯(2)
9. CH5-Logistic回归(1)
10. CH5-Logistic回归(2)
======== No More ========
决策树(Decision Tree)
(1)是个基本的【分类】算法。
(2)基本思想:决策树是一种树结构,其中的每个内部节点代表对某一特征的一次测试,每条边代表一个测试结果,叶节点代表某个类或类的分布。决策树的决策过程需要从决策树的根节点开始,待测数据与决策树中的特征节点进行比较,并按照比较结果选择选择下一比较分支,直到叶子节点作为最终的决策结果。
(3)举个例子吧:
比如,两个同班同学A和B,玩一个游戏。A头脑中想着班上的一个同学,让B来猜是谁。B可以不断地通过向A提问,来逐渐缩小猜测范围,比如“这个人是男生还是女生”,“这个人身高是160以下,是160-170,是170-180,还是180以上”,“这个人有没拿过国家奖学金”等等,直到剩下一个或很有限个几个候选人。
嗯...这个过程其实类似于决策树的决策过程,也就是拿到一条待分类的数据,给他进行分类:从决策树的根节点开始,按照一定顺序验证这条数据的特征。在每个特征节点上,按照该数据特征值对应的分类,顺着决策树的边,进入下一层节点,直到到达叶节点,得到最终的决策结果(即标签)。例如...有一家贷款机构拿到了一个人的个人信息(可能是信息泄露了),然后想根据下面这棵决策树,判断这个人有没贷款意向,从而决定要不要给他打骚扰电话:

决策树的构造过程,其实就是他的“机器学习过程”,也就是机器根据数据集创建规则的过程。什么规则?就是在树的每一个节点上,究竟该选择哪一个数据属性,来把这个节点中的数据集分开呢?比如上面那个猜同学的游戏,是先问“性别”,还是先问“身高”,才能达到缩小猜测范围的最佳效果呢?
等下会介绍。
(4)优点:复杂度不高
缺点:可能会产生过度匹配的问题
适用数据类型:离散型,连续型。
------------------------------------------------------------------------------------------------
信息增益(Information Gain)、熵(Entropy)
回到刚才那个问题,在决策树的每个节点上,究竟是选择哪个特征来把这个节点里的数据集划分开呢?
划分数据集的大原则是:将无序的数据变得更加有序。
那么,怎样度量数据有序还是无序?一种方法就是使用信息论来度量。
在划分数据集之前之后,信息发生的变化称为信息增益。我们希望计算出每个特征值划分数据集获得的信息增益。那么,信息增益最高的特征就是最好的选择。坠吼滴!
对于一个数据集合而言,信息的度量方式称为香农熵,或简称为熵。熵越大,说明数据集越混乱、越无序。一个数据集合,再划分前、划分后,熵的变化,就是信息增益了。信息增益越大,说明数据集合划分之后,有序程度的增加量越大。
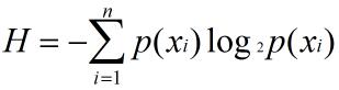
那么怎样计算熵呢?熵定义为信息的期望值。如果待分类的事务可能划分在多个分类之中,假设 Xi是其中的一个类,则符号 Xi 的信息定义为:

其中,p(Xi) 是选择该分类的概率。
为了计算熵,我们需要计算所有类别的所有可能值所包含的信息期望值:

其中,n是分类的数目。
还是来举个栗子:

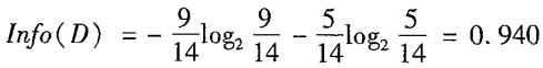
这个例子取自于《数据挖掘:概念与技术》。前4列:age(年龄)、income(收入)、student(是否是学生)、credit_rating(信用评级)是特征值。最后一列:buys_computer(是否买电脑)是分类(也就是标签)。
这里有14条数据,他们现在处于同一个节点之中,我们先用4个特征中的某一个,来划分它们。先算当前没划分时的熵:

根据最后一列的标签,这对数据有两个分类:yes / no。这14条数据里,有9条的分类是yes,5条是no。那么按上面的公式计算,当前数据集合的熵就是0.940。
接下来,我们看看按照4种特征划分这个数据集合后,熵变成了多少。
首先是age(年龄)。如果按照age来分,那么会分出3个子数据集,因为age有3种不同的特征值:<=30,31-40,>40。
<=30:一共5条数据,其中2条yes,3条no
30-40:一共4条数据,其中4条yes,0条no
>40:一共5条数据,其中3条yes,2条no
那么,按照age来分的话,划分后的熵就是:

注意,这里计算的是划分后3个子数据集的熵的总和,每个子数据集的熵之前还乘上了一个权重,也就是这个子数据集的概率。
然后,拿划分前的熵减划分后的熵,就得到了信息增益:

接下来算按照income、student、credit_rating来划分的情况,过程一样的:
Infoincome(D) = 4/14 * [ -2/4*log(2/4) - 2/4*log(2/4)] + 6/14* [ -4/6*log(4/6) - 2/6*log(2/6)] + 4/14* [ -3/4*log(3/4) - 1/4*log(1/4)]
Gain(income) =0.029
Infostudent(D) = 7/14 * [ -3/7*log(3/7) - 4/7*log(4/7)] + 7/14* [ -1/7*log(1/7) - 6/7*log(6/7)]
Gain(student) =0.151
Infocredit_rating(D) = 6/14 * [ -3/6*log(3/6) - 3/6*log(3/6)] + 8/14 * [ -6/8*log(6/8)- 2/8*log(2/8)]
Gain(credit_rating) = 0.048
比较之后,发现按照 age 划分,信息增量是最大的。所以在这个节点,我们决定按照 age 来进行划分。
哦对了,以上的算法是ID3算法。它倾向于选择具有大量值的属性,即值比较分散的属性。除此之外还有C4.5算法。它引入了增益率(gain ratio)的概念,具体就不介绍了。
嗯,决策树最核心的部分应该就是这些了。下一篇博客上代码。
最后
以上就是香蕉鸡翅最近收集整理的关于《机器学习实战》第三章:决策树(1)基本概念的全部内容,更多相关《机器学习实战》第三章内容请搜索靠谱客的其他文章。
发表评论 取消回复