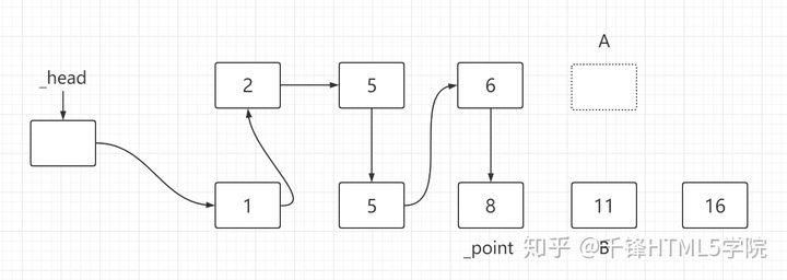
将两个有序(均为升序或降序)链表合并为一个新的升序链表并返回。
function(A, B) {
var _head = new Node(null);
var _point = _head;
//A 和 B都存在时
while(A && B) {
//找AB当中较小的, 链接再_point后面
if(A.val>B.val){
_point.next = B;
B = B.next; //B指向下一个节点
} else {
_point.next = A;
A= A.next; //A指向下一个节点
}
_point = _point.next; //_point指向下一个
}
//当其中一个链表走完以后. 可能还会有一个链表剩余一部分
//找到AB不为空的节点, 接在point后面即可
_point.next = A|| B;
//_head节点没有什么作用, 是一个多余节点. 创建它就是为了最后再返回时比较方便.
return _head.next;
};

最后
以上就是迅速黑猫最近收集整理的关于前端企业面试题:企业真实案例——21的全部内容,更多相关前端企业面试题内容请搜索靠谱客的其他文章。
本图文内容来源于网友提供,作为学习参考使用,或来自网络收集整理,版权属于原作者所有。
发表评论 取消回复