我是靠谱客的博主 鲜艳发卡,这篇文章主要介绍矩阵乘法几何意义,现在分享给大家,希望可以做个参考。

矩阵的几何意义,它可以总结为3个容易理解的特性。

变换(Transformations)

你应该已经知道变换(transformation),它将任意3D点的坐标变换到另一个3D点的坐标。下图你可以看到3个基本变换的例子:​

      第一个变换只是简单地将3D空间中的所有点移动到左下方,这种变换叫做平移(translation)。第二个变换是旋转(rotation),所有点绕一个指定轴旋转,本例中是绕Z轴旋转。最后一个基本变换是缩放,所有点的坐标乘以一个特定的数值。我将它们称为基本变换,是因为你能想象的任何变换都可以用这三个基本变换的组合表示。

下图你可以看到平移的结果,然后还要进行旋转:

 

矩阵的3个特性

特性1:矩阵可以看做一个特殊(但并不复杂)的元素,可以表示上述变换。所以假如你有3个矩阵:Mtrans, Mrot和Mscal,它们分别对应一种变换。

特性2: 如果你将一个矩阵乘以对应的3D点坐标,就可以获取变换后的点坐标,如下图所示:

 

这意味着对任意点,你可以简单地通过将它的坐标乘以一个矩阵获取它的投影、旋转和缩放!

特性3: 如果你将两个矩阵M1和M2相乘,会获得一个新矩阵M3。对应这个新矩阵M3的变换即对应前两个矩阵的变换组合。

第三个特性非常有用。例如上面平移后旋转的例子中,计算给定点的位置的一个方法是首先计算经过平移矩阵M1的变换,然后将结果乘以M2计算旋转,这让你必须为每个点计算2次,由下图表示:

使用第三个特性,你只需简单地先计算M1和M2的乘积获取M3。然后将点乘以矩阵 M3获取点的平移并旋转后的坐标!2个矩阵的乘法很快(64次乘法和48次加法),而变换场景中的所有点要慢得多(每个点16次乘法和12次加法)

矩阵数学

你可以将一个3D点的坐标作为一个矩阵的一列和3行,点和矩阵间的乘法如下定义:

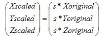
现在你应该知道了所有知识。如你所见,并不是很难。下面举一个例子。设3D空间有一个坐标为(6,18,9.5)的点。先看一个简单的例子:我们想将场景变大为2倍,这意味着我们要缩放2倍,一个简单的缩放矩阵如下所示:

结果是:

在这个例子中,s = 2,所以点的坐标变为(12, 36, 19)。

下面看一下旋转矩阵,它看起来有点复杂,但记住所有sin和cos实际上就是一个介于-1和+1之间的数值。下面三个矩阵表示绕X,Y和Z轴的旋转,θ为旋转角度:

例如将点(10,5,0)绕Z轴旋转45度,我们的旋转矩阵如下:

因为pi=3.14对应180度,45度对应pi/4。结果是:

所以当我们将点(10,5,0)旋转45度,结果是点(10.6065, -3.5355, 0)!幸运的是,DirectX可以为你完成这些运算,但现在我们理解了工作原理。

带平移的矩阵

如果一个矩阵,你会看到16个数据项,这意味着4行和4列。选择这种方式是为了让矩阵也可以表示平移。

       要平移一个点,我们需要添加一个数字。使用3x3矩阵,我们只能获取初始矩阵的倍数。所以在X,Y和Z边上需要添加一个常数。为了简单起见,设为1。从现在开始,我们使用4个坐标表示一个3D点。例如,位于(10,5,0)的点的坐标为(10,5,0,1)。

缩放和旋转矩阵保持不变,但多了一个额外的行和列其值为0,但m44值为1。下图你可以看到以平移形式的缩放和Y旋转矩阵:

看起来有点复杂,但现在我们可以定义一个平移矩阵了:

让我们看一个小例子。如果我们想将点(10,5,0)移动(-8,2,4)。可以这样做:

结果是(2,7,4)。但这里我仍想强调3个基本特性:

1) 我们有一个矩阵对应每个基本变换

2) 将点的坐标乘以一个矩阵会获得变换后的坐标

3) 两个矩阵相乘获得一个新矩阵,对应变换的组合

如果你理解以上特性,你会注意到第4个坐标没有几何意义,它只是让我们可以定义一个平移矩阵。

你会注意到有时这个常量不是1。事实上,通用规则是只需简单地将X,Y和 Z 坐标除以第4个坐标,我们将第4个坐标称之为W坐标。

简单地说:(20,10,0,2) = (10,5,0,1),这两个坐标表示的是同一个3D点(10,5,0),所以从4个坐标中获取3D点的简单规则是:

此篇文章来自于http://www.riemers.net/index.php,原文地址分别是Matrices and DirectX,The maths behind Matrices,Homogeneous matrices

最后

以上就是鲜艳发卡最近收集整理的关于矩阵乘法几何意义的全部内容,更多相关矩阵乘法几何意义内容请搜索靠谱客的其他文章。

本图文内容来源于网友提供,作为学习参考使用,或来自网络收集整理,版权属于原作者所有。
点赞(217)

评论列表共有 0 条评论

立即
投稿
返回
顶部