G题
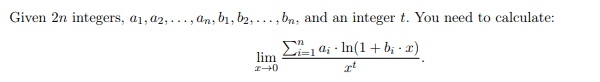
题目大意:第一行给个n,t,接下来给n行每行一个ai,bi,求下式的极限
一开始没看这道题,后面队友跟榜看到过了一车人就开这题,显然把ln(1+bix)泰勒展开一下分子就变成一个多项式,然后按照正常判断极限的的方式判断输出就好了。代码难度也比较低,10min写完。
(这题好像没有出先输出小数的情况,我的代码对于出现小数的结果应该是会wa的但是还是一发过了)
化出来的式子
#include <bits/stdc++.h>
#define int long long
using namespace std;
int g[15];
int a[100005],b[100005];
int t,n,m;
void solve(){
cin>>n>>t;
if(t==0){
cout<<0;
return;
}
for(int i=1;i<=n;i++){
cin>>a[i]>>b[i];
g[1]+=a[i]*b[i];
g[2]+=a[i]*b[i]*b[i]*-1;
g[3]+=a[i]*b[i]*b[i]*b[i];
g[4]+=a[i]*b[i]*b[i]*b[i]*b[i]*-1;
g[5]+=a[i]*b[i]*b[i]*b[i]*b[i]*b[i];
}
for(int i=1;i<t;i++){
if(g[i]!=0){
cout<<"infinity";
return;
}
}
cout<<g[t]/t;
}
signed main(){
solve();
return 0;
}
J题
签到题,从最高点模拟流水过程就好了
#include <bits/stdc++.h>
#define int long long
using namespace std;
int h[505][505],cnt,n,m;
double s[505][505];
int x[5]={1,0,0,-1};
int y[5]={0,1,-1,0};
struct node{
int i,j,h;
bool operator < (const node p){
return h>p.h;
}
}a[300005];
void judge(node t){
int sum=0;
for(int i=0;i<4;i++){
int di=t.i+x[i];
int dj=t.j+y[i];
if(di>0&&di<=n&&dj>0&&dj<=n&&h[t.i][t.j]>h[di][dj]){
sum++;
}
}
if(sum){
for(int i=0;i<4;i++){
int di=t.i+x[i];
int dj=t.j+y[i];
if(di>0&&di<=n&&dj>0&&dj<=n&&h[t.i][t.j]>h[di][dj]){
s[di][dj]+=s[t.i][t.j]/sum;
}
}
}
}
void solve(){
cin>>n>>m;
for(int i=1;i<=n;i++){
for(int j=1;j<=n;j++){
cin>>h[i][j];
cnt++;
a[cnt].i=i;
a[cnt].j=j;
a[cnt].h=h[i][j];
s[i][j]=m;
}
}
int maxn=n*n;
sort(a+1,a+maxn+1);
for(int i=1;i<=maxn;i++){
judge(a[i]);
}
for(int i=1;i<=n;i++){
for(int j=1;j<=n;j++){
if(h[i][j]!=0){
cout<<0<<" ";
}
else{
printf("%.6lf ",s[i][j]);
}
}
cout<<endl;
}
}
signed main(){
solve();
return 0;
}
我队打了四道题,分别是GHJM
HM题解见队友
HM题解
最后
以上就是聪明酸奶最近收集整理的关于2021/9/25 ICPC网络赛第二场题解的全部内容,更多相关2021/9/25内容请搜索靠谱客的其他文章。
本图文内容来源于网友提供,作为学习参考使用,或来自网络收集整理,版权属于原作者所有。
发表评论 取消回复