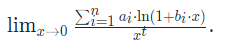
Given 2n integers, a1,a2,…,an,b1,b2,…,bn, and an integer t. You need to calculate:

Input
The first line consists of two integers n,t.
In the following n lines, the i-th line consists of two integers ai,bi.
1≤n≤100000,−100≤ai,bi≤100,0≤t≤5.
Output
Please output the result of this limit. If the result is ∞, please output "infinity" (without quotes). And if the result is an integer, please output this integer directly. Otherwise, the answer must be ba, such that a and b are coprime and b≥2, please output "a/b".
题目描述:给出一个极限的式子,让我们计算它的数值
解题思路:首先我们需要知道高阶无穷小和低阶无穷小的情况,对于任意的分母x^t,如果存在x^k(k < x)的情况,那么将会让整个式子无穷大,若存在x ^ k(k > x)的情况,那么式子将会无穷小不受影响,如果不存在无穷大的情况,那么整个式子的结果将会等于分子和分母指数相同时的系数之比
再者我们需要知道ln(x + kx)是能够展开的
然后就用这个方法写就可以了

然后贴一下最终代码
#include <bits/stdc++.h>
using namespace std;
#define FAST std::ios::sync_with_stdio(false),cin.tie(0),cout.tie(0);
int n,t;
long long a,b;
long long xs[10];
int main()
{
FAST
cin >> n >> t;
if(t == 0)
{
cout <<"0"<<"n";
return 0;
}
for(int i = 1;i <= n;++i)
{
cin >> a >> b;
xs[1] += a * b;
xs[2] -= a * b * b;
xs[3] += a * b * b * b;
xs[4] -= a * b * b * b * b;
xs[5] += a * b * b * b * b * b;
}
for(int i = 1;i < t;++i)
{
if(xs[i] != 0)
{
cout <<"infinity"<<"n";
return 0;
}
}
if(xs[t] % t == 0) cout << xs[t] / t<<"n";
else cout <<xs[t]<<"\"<<t<<"n";
return 0;
}
最后
以上就是高贵台灯最近收集整理的关于2021 ICPC第二场网络赛 G题题解的全部内容,更多相关2021内容请搜索靠谱客的其他文章。
发表评论 取消回复