接着上文(地址),我们来聊一聊自动机算法(有限自动机字符串匹配算法)和KMP算法。
====#=有限自动机算法=#=====
关于有限自动机,网上的分析的资源,大部分都很笼统,算导上的知识点,全是数学公式,看的也会特别累。因此,打算从算导的第一题开始讲起。从习题入手,讲这个算法的思想。
例子:对模式 P = aabab构造出相应的字符串匹配自动机,并说明它在文本字符串T=aaababaabaababaab上的操作过程。
再讲这个例子之前,我们有必要先来了解一下自动机是什么意思?
有限自动机是什么意思?他是一个处理信息的简单机器,通过对文本字符串T进行扫描,找出模式P的所有出现的位置。它们只对每个文本字符检查一次,并且检查每个文本字符时所用的时间为常数。
我们来看看它的伪代码:
n=T.length
q= 0
for i = 1to n
q=ξ(q,T[i])if(q ==m)
print"..."
可以看出,他的时间复杂度为o(n),但是,这个匹配时间,并没有包括计算转移函数ξ的预处理时间。接下来,我们来做一做上面那个题目。
有限自动机分为5个组员(Q,q=0,A,∑,ξ)
我们假设:Q = {0,1,2,3,4,99} //99用来表示不会取得,如果等于99就跳出循环。
q:初始化为0
A={0} //代表了终点,这里只有一个终点
∑={a,b,c,d....x,y,z}
关于函数,我设计成这样:

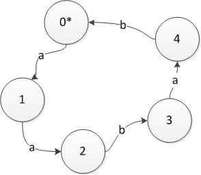
aabab: {0* -> 1 -> 2 -> 3 -> 4 -> 0*}
1 #include
2 #include
3 #include
4 #include
5 intmain()6 {7 int a[] = { 1,2,0,0,0,8 0,0,0,0,0,9 0,0,0,0,0,10 0,0,0,0,0,11 0,0,0,0,0,0};12 int b[][5] ={13 /*, a, b*/
14 { 99,1,99 },//0
15 { 99,2,99 },//1
16 { 99,99,3 },//2
17 { 99,4,99 },//3
18 { 99,99,0 },//4
19
20 };21 char c[100];22 loop:23 while (std::cin >>c)24 {25 int str =strlen(c);26 for (int p = 0, i = 0;i < str;i++, p = 0)27 {28 int count =i;29 while (p < 99 && c[count] != 'r' && count
我们先创建一个数组a,因为字符串aabab只有a和b,所以初始化依次从1递增,其他为0。二维数据b,保存p值。
29 while (p < 99 && c[count] != 'r' && count
这段代码,用于获取p值。也就是ξ函数。也许,我们需要把他单独摘出来,要不然这个函数的执行时间为O(n*m)(展开下列函数,可看到和伪代码相同的c++代码),但事实上,他已经比BF算法好太多了。当然他也有弊病,如果预处理的时间太长,该怎么办?这是一个值得考虑的问题。换句话说,如果∑特别多,我们这里只有2个,建立的自动机时间也很长。我们有方法处理。


1 #include
2 #include
3 #include
4 #include
5
6 char c[100];7 int ppp(int &p, int &i, int &str);8
9 static int a[] = { 1,2,0,0,0,10 0,0,0,0,0,11 0,0,0,0,0,12 0,0,0,0,0,13 0,0,0,0,0,0};14 static int b[][5] ={15 /*, a, b*/
16 { 99,1,99 },//0
17 { 99,2,99 },//1
18 { 99,99,3 },//2
19 { 99,4,99 },//3
20 { 99,99,0 },//4
21 };22 intmain()23 {24
25
26 loop:27 while (std::cin >>c)28 {29 int str =strlen(c);30 for (int p = 0, i = 0;i < str;i++, p = 0)31 {32 int count =i;33 p =ppp(p,i,str);34 if (p == 0) {35 printf("YESn");36 gotoloop;37 }38 }39 }40 std::cout << "NO" <<:endl system>
44 int ppp(int &p, int &i,int &str)45 {46 int count =i;47 while (p < 99 && c[count] != 'r' && count
和伪代码格式相同的代码 O(n) 点击展开
当然,代码是有bug,如果输入的文本串中没有模式串,可能会显示不出来,我并没有考虑到这点。有待改善,但是为了理解算法本身,我就不再修改太多的东西,因为上面的代码已经比较清楚了。(好吧,其实是我比较懒,大半夜写代码,不容易啊)
我觉得要是理解上面的方法,和思想,再去看《算导》,应该就会稍微清楚一点了。但是《算导》上还是列出了一堆的数学公式。真心不是特别建议看这节,个人觉得会用就好,当然你能看下来都是好事。
练练手:地址 (这个更加复杂,因为∑有7个字符,以及6个字符串)
感言:这几天心特别躁,师兄研三了,找工作挺不容易的。阿里校招从3000减到了400(据说),而且他是找c++方向的。工作不好找,因此,感慨算法是多么重要。好好学习算法,多做做项目,才是王道啊。
注:KMP留给下吧。欢迎交流。如果有什么错的地方,欢迎指正。
最后
以上就是喜悦曲奇最近收集整理的关于java自动机字符串匹配_4种字符串匹配算法:有限自动机(中)的全部内容,更多相关java自动机字符串匹配_4种字符串匹配算法内容请搜索靠谱客的其他文章。
发表评论 取消回复