GMM聚类
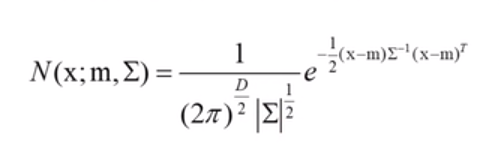
高斯分布

GMM

一、参数初始化
# GMM 参数初始化
# dataset: [N,D]
# K : cluster的个数(高斯成分的个数)
def init_GMM(dataset,K):
N,D = np.shape(dataset)
val_max = np.max(dataset,axis=0)
val_min = np.min(dataset,axis=0)
centers = np.linspace(val_min,val_max,num=K+2)
mus = centers[1:-1,:]
sigmas = np.array([0.5*np.eye(D) for i in range(K)])
ws = 1.0/K * np.ones(K)
return mus,sigmas,ws # (K, D) (K, D, D) (K,)
二、计算 N(X;m,Σ)

# 计算一个高斯pdf
# x(dataset): 数据[N,D]
# sigma 方差[D,D]
# mu 均值[1,D] ;注意这里的mu是数据的均值(不是mus)
def getPdf(x,mu,sigma,eps=1e-12):
N,D = np.shape(x)
if D==1:
sigma = sigma+eps
A = 1.0 / (sigma)
det = np.fabs(sigma[0])
else:
sigma = sigma + eps*np.eye(D)
A = np.linalg.inv(sigma) # np.linalg.inv()这里矩阵求逆
det = np.fabs(np.linalg.det(sigma)) # np.linalg.det()矩阵求行列式
# 计算系数
factor = (2.0 * np.pi)**(D / 2.0) * (det)**(0.5)
# 计算 pdf
dx = x - mu
pdf = [(np.exp(-0.5*np.dot(np.dot(dx[i],A),dx[i]))+eps)/ factor for i in range(N)]
return pdf
三、更新参数




def train_GMM_step(dataset,mus,sigmas,ws):
N,D = np.shape(dataset)
K,D = np.shape(mus)
# 计算样本在每个Cluster上的Pdf
pdfs = np.zeros([N,K])
for k in range(K): # 这里算出N(x;m...)
pdfs[:,k] = getPdf(dataset,mus[k],sigmas[k])
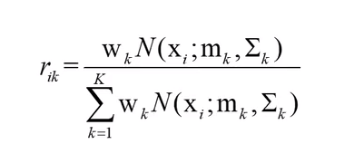
# 获取r
r = pdfs*np.tile(ws,(N,1))
r_sum = np.tile(np.sum(r,axis=1,keepdims=True),(1,K))
r = r/r_sum # 这里为R ik
# 进行参数更新
for k in range(K):
r_k = r[:,k] # r_k.shape=(N,)
N_k = np.sum(r_k)
r_k = r_k[:,np.newaxis] # r_k.shape=(N,1)
# 更新mu
mu = np.sum(dataset*r_k,axis=0)/N_k #[D,1]
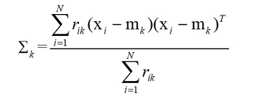
# 更新sigma
dx = dataset - mu
sigma = np.zeros([D,D])
for i in range(N):
sigma = sigma + r_k[i,0]*np.outer(dx[i],dx[i]) # np.outer用来求矩阵外积
sigma = sigma/N_k
# 更新w
w = N_k/N
mus[k] = mu
sigmas[k] = sigma
ws[k] = w
return mus,sigmas,ws # (K, D) (K, D, D) (K,)
四、GMM训练
# GMM训练
def train_GMM(dataset,K,m=10):
mus,sigmas,ws = init_GMM(dataset,K)
# print(mus,sigmas,ws)
for i in range(m):
# print("step: ",i)
mus,sigmas,ws = train_GMM_step(dataset,mus,sigmas,ws)
# print(mus,sigmas,ws)
return mus,sigmas,ws
五、计算数据在每个模型上的似然值
def getlogPdfFromeGMM(dataset,mus,sigmas,ws):
N,D = np.shape(dataset)
K,D = np.shape(mus)
weightedlogPdf = np.zeros([N,K])
for k in range(K):
temp = getPdf(dataset,mus[k],sigmas[k],eps = 1e-12)
weightedlogPdf[:,k] = np.log(temp) + np.log(ws[k]) # 这里为公式log(w*N())
return weightedlogPdf, np.sum(weightedlogPdf,axis=1)
六、利用GMM进行聚类(通过比较似然值)
def clusterByGMM(datas,mus,sigmas,ws):
weightedlogPdf,_ = getlogPdfFromeGMM(datas,mus,sigmas,ws)
labs = np.argmax(weightedlogPdf,axis=1)
return labs # 得到分类标签
测试:
# 作图
def draw_cluster(dataset,lab,dic_colors):
plt.cla()
vals_lab = set(lab.tolist())
for i,val in enumerate(vals_lab):
index = np.where(lab==val)[0]
sub_dataset = dataset[index,:]
plt.scatter(sub_dataset[:,0],sub_dataset[:,1],s=16.,color=dic_colors[i])
# GMM聚类测试
dic_colors = {0:(0.,0.5,0.),1:(0.8,0,0),2:(0.5,0.5,0),3:(0.5,0.5,0.9)}
a = np.random.multivariate_normal([2,2],[[.5,0],[0,.5]],200)
b = np.random.multivariate_normal([0,1],[[.5,0],[0,.5]],200)
c = np.random.multivariate_normal([1,4],[[.5,0],[0,.5]],200)
d = np.random.multivariate_normal([4,4],[[.5,0],[0,.5]],200)
dataset = np.r_[a,b,c,d]
# print(dataset.shape)
# 真实标签
lab_true = np.r_[np.zeros(200),np.ones(200),2*np.ones(200),3*np.ones(200)].astype(int)
# 绘制原始数据散点图
draw_cluster(dataset,lab_true,dic_colors)
原始数据

# 训练GMM
mus,sigmas,ws = train_GMM(dataset,K=4,m=10)
#print(mus,sigmas,ws)
# 进行聚类
labs_GMM = clusterByGMM(dataset,mus,sigmas,ws)
#print(labs_GMM)
# 绘制聚类后图片
draw_cluster(dataset,labs_GMM,dic_colors)
GMM聚类效果

GMM与K-means比较
原始数据

K-means聚类效果

GMM聚类效果

最后
以上就是和谐微笑最近收集整理的关于GMM聚类GMM聚类的全部内容,更多相关GMM聚类GMM聚类内容请搜索靠谱客的其他文章。
本图文内容来源于网友提供,作为学习参考使用,或来自网络收集整理,版权属于原作者所有。
发表评论 取消回复