matlab-逻辑回归二分类(Logistic Regression)
逻辑回归二分类
今天尝试写了一下逻辑回归分类,把代码分享给大家,至于原理的的话请戳这里 https://blog.csdn.net/laobai1015/article/details/78113214 (在这片博客的基础上我加了一丢丢东西)。
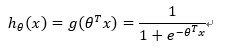
用到的预测函数为

其中,h为预测函数(大于0.5为一类,小于等于0.5为另一类)。θ为各个特征的参数。θ=[
最后
以上就是暴躁墨镜最近收集整理的关于matlab-逻辑回归二分类(Logistic Regression)逻辑回归二分类的全部内容,更多相关matlab-逻辑回归二分类(Logistic内容请搜索靠谱客的其他文章。
本图文内容来源于网友提供,作为学习参考使用,或来自网络收集整理,版权属于原作者所有。
发表评论 取消回复