我是靠谱客的博主 高大金毛,这篇文章主要介绍点对点信道互连以太网实验_基于可编程无线环境的太赫兹频段多射线信道模型...,现在分享给大家,希望可以做个参考。

引用:罗文宇, 刘河潮. 基于可编程无线环境的太赫兹频段多射线信道模型[J]. 通信学报, 2019, 40(7): 162-168.

摘要:基于可编程无线环境的太赫兹通信系统允许针对不同无线设备以最适宜的方式进行电磁波传播的编程定制,不仅能够改善严重的衰落、干扰和非视距问题,还能显著提升系统的安全性和隐私性。针对可编程无线环境中太赫兹无线通信的信道建模问题,首先基于射线跟踪技术,结合视距、非视距的传播模型建立了太赫兹波段可编程无线环境的多射线信道模型。然后,在所建立传播模型的基础上,进一步研究了反射系数、注水功率分配策略下的宽带信道容量、均方根时延扩展等问题。实验仿真和分析结果表明,可编程无线环境通过对电磁波传输的主动干预,大大减轻了太赫兹室内无线传播中路径损耗和多径衰落的影响,提高了系统的传输容量。所提模型为后期太赫兹通信系统,尤其是室内太赫兹通信系统的设计提供了参考依据。

关键词:可编程无线环境;射线跟踪;太赫兹;多径

1 引言

随着大容量、高速低时延通信需求的爆发式增长,即使是新一代无线通信系统,仍然面临着巨大的挑战。由于能够提供从几十吉赫兹到几太赫兹的带宽,面向太赫兹频段的通信技术有望解决当前无线通信系统频谱稀缺和容量限制的问题,并促进大量新的应用。然而对于太赫兹频段,即使特别小的物体也会成为散射体,信号受衰落的影响较大,从而限制了通信设备的连接半径。在60 GHz及以上频段,非视距(NLoS, non-line-of-sight)传输无线环境下甚至很难实现有效通信。因此,面向太赫兹频段的无线通信技术需要充分考虑并克服 衰落、时延等因素的影响。

近年来,出现了利用可编程的方式人为地控制无线传播环境特性的新技术,该技术利用可编程超表面加强透镜效应及其模块单元超贴片能够任意调控反射角的功能,来减轻无线传播的路径损耗,被用以增加电磁波的传输距离和解决NLoS传输问题。因此,针对可编程无线环境中通信技术的研究越来越受到学者们的关注。在太赫兹无线通信中,只要能够在一定程度上降低衍射、反射和 散射带来的影响,就能够降低信号衰减、消除多径影响。一般太赫兹通信信道模型主要包含反射、衍射、 散射等,而在可编程无线环境中,能够用软件对收发链路周围智能表面、墙壁、阵列等在物理层中的电磁特性进行有效的控制,从而以完全可定制的方式操控无线电波的传播,使无线传输中只存在直达径和反射径。因此,可编程无线环境具备抑制路径损耗和多径衰落的能力,进而有效提高接收信号的质量。此外,可编程无线环境对天线单元的辐射方式几乎没有限制,很容易避免相互耦合效应和天线单元之间的相关性。

尽管可编程无线环境为太赫兹无线通信带来了诸多好处,但基于可编程无线环境的太赫兹通信系统设计仍需要解决各种各样的实际问题,其中,面向可编程无线环境建立一种能够准确描述太赫兹频谱特性的无线信道模型最为重要。因此,针对可编程无线环境的太赫兹无线信道建模问题,本文在分析可编程超表面电磁波控制原理的基础上,建立了能够精确表征反射系数、宽带信道容量、均方根(RMS, root-mean squared)时延扩展等特征的多射线信道模型,该模型在抑制太赫兹无线路径损耗和多径衰落等方面有优异的表现,能大大提高系统传输容量。

2 可编程无线环境中太赫兹多射线模型

由于太赫兹电磁波的波长非常短,射线跟踪技术具有非常好的预测能力,利用射线光学的方法能够得到较精确的传输模型。本文基于几何光学原理,利用多射线追踪技术研究可编程无线环境中太赫兹传输模型,包括视距(LoS, line-of-sight)、反射、散射、衍射等。此外,太赫兹频段具有较宽的频带,无线信道传输具有频率相关性,因此,在进行多射线跟踪建模时,需要将太赫兹频段划分为多个子带单独分析。不失一般性,假设每个子带带宽足够窄,以至于子带内具有平坦的频率响应。

可编程无线环境中,电磁超表面对电波传播特性的影响如图1所示,且遵循广义斯涅尔定律。超表面单元及其相互连接的动态开关控制元件能够影响超表面的表面电流,总表面电流包含入射波在超表面上感应的电流、其他超表面单元通过无线感应引起的单元电流及开关元件状态变化引起的 向内或向外的电流。超表面整体电磁响应可以由总表面电流的激射场得出,因此通过调控开关单元状态可以完全重构入射电磁波,从而以软件可编程的方式产生可定制的电磁响应。

b33018dfbd216ef819b89bc29bd939dc.png
图1 可编程超表面电磁波控制原理

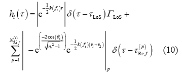
假设系统中太赫兹工作频段共分为I个子带,每个子带可表示为i∈{1,…,I},对于第i个子 带,利用Ni个射线叠加表示其信道冲激响应。第n个射线的衰减和时延分别为αi,n和τn,而时延τn=rn/c与时间无关,其中,rn为传输距离,c为光速。因此,t时刻第i个子带的多射线信道模型可以表示为

a53a1b8168b79e34ef675532a5f5ebcf.png

对于线性时不变(LTI, linear time-invariant)系统,省略信道模型中的时间参数,可将式(1)表示为

5b7db039b395e38fa4bb1d24b8cd01ee.png

可编程无线环境的无线信道模型如图2所示。可编程无线环境中,由于发射端和接收端周 围完全被可编程超表面涂敷,可以通过软件控制的方式将反射、散射和衍射到周围环境中的射线反射到接收端,因此,多射线在空中的传输最终只受空气分子的吸收及可编程超表面控制射线的效率两方面因素的影响(本文立足于理想的可编程电磁超表面及其构成的可编程无线环境,因此并不考虑动态调控及外部因素对超表面性能的影响)。

64d375c581631f7b8fbff75f7a74b0ec.png
图2 可编程无线环境无线信道模型

2.1 直达径传播

LoS环境主要包括直达径传输。从发射端到接收端的过程中,直达径会受到包括反射、散射、衍射以及吸收等空气分子的影响。除了吸收损耗之外,其他影响的总和可以建模为

316727c662ff43756a0cffa5cf05bad8.png

在太赫兹频段,波长与粗糙表面的尺度相当,低频段相对光滑的表面在太赫兹频段仍显得粗糙。因此,太赫兹波传播的一个主要挑战在于周围环境的粗糙表面使电磁波大量散射到空中。而对于可编程无线环境,周围环境均被可编程超表面涂敷,被软件操控的超表面可以将入射的电磁波通过最优路径转发到接收端,如图2(b)所示。因此,由于周围存在可编程超表面,反射、散射及衍射的部分还是可以通过可编程超表面对电磁波的调控到达接收端,只存在吸收损耗,因此在理想情况下,H Spr(f)=1。对于可编程无线环境,LoS环境可以建模为

5b1478bb5e4c060c1030c14f0f4bbc61.png

其中,分子吸收损耗函数为

e8e22d7af58070a8b59d8aab937523cd.png

其中,r表示发射与接收之间的距离;τLoS=r/c表示射线传播时延。吸收损耗是电磁波能量在传播介质中转化为分子内部动能的部分,可用比尔−朗伯定律计算;k是一个与频率相关的吸收损耗参数,可以表示为

723b421231f9e5aa0c371d1c05fc5981.png

其中,p表示开氏温标下的系统压力,p0示参考压力,Tstp标准压力下的温度,Qq表示气体q每单位包含的分子数目,σq表示气体q的吸收截面。在太赫兹频段的规则介质中,对总吸收的主要贡献来自水蒸气的分子。因此,式(2)可以表示为

ee9fb72b8d8a31ea7e1680c71602509f.png

通过引用 Wiener-Khinchin 定理,第i个频率子带中的各个衰减可以分别表示为各个电磁波多径传输函数的模,即

65ca2b16f48fc7b0f5a7e880703d9be6.png

2.2 反射径传播

假设R(f)表示频率f所在频段电磁波的反射系数,可以利用Kirchhoff理论获取镜面反射中的 反射系数,r1、r2分别表示发射端与反射点、反射点与接收端之间的距离,则反射射线的传输函数表示为

fe6bb894a17f91f75635955f78fe223f.png

传统环境中,反射系数依赖于障碍物在反射点位置的材料、 形状以及表面形状的粗糙程度。因此,在传统的无线环境中,反射系数通常为从菲涅耳方程导出的光滑表面反射系数γTE(f)乘以瑞利粗糙度因子ρ。 然而,在可编程无线环境中,可以控制可编程超表面将入射的电磁波沿着无损耗的最佳路径传输到接收端。因此,在可编程超表面的入射点可以看作 镜面反射,即瑞利粗糙度因子ρ=1,此时R(f)可表示为

02658d6ee6e8cb83acd6f9467baa3d0e.png

其中,θi表示反射点入射波的入射角,可以根据发射、接收及反射点的位置的余弦定理得出,如图 2(b)所示

95ed8074afaad141f286e9aad4900810.png

其中r是发射端=与接收端之间的距离;nt表示折射率,随频率和介质材料而变化。在考虑大入射角时,式(9)中光滑表面反射系数的泰勒近似在太赫兹频率上具有良好的精度,负号表示π的相位变化。

2.3 可编程无线环境多射线信道建模

结合以上直达径传播和反射径传播的分析,合并式(7)~式(9),即可得到可编程无线环境太赫兹多射线信道模型为

fa8413540e08cebbf33129ad186c5cdf.png

3 可编程无线环境太赫兹通信分析

利用建立的可编程无线环境太赫兹通信多射线传播模型,本节对太赫兹频段的宽带信道特性进行详细分析,内容包括无线宽带信道容量、均方根时延扩展和相干带宽。

3.1 无线宽带信道容量

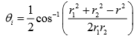
根据第2节的分析,为了评估宽带信道容量, 先将可编程无线环境太赫兹工作带宽分解为多个 子带的集合。将第i个子带定义为△fi=fi+1 - fi,该子带发射信号功率为Pi,其中,NB表示所有子带数,P表示总的发射功率,则子带容量Ci可表示为

405190cfae40d9910034dd13834e5cbb.png

其中,SN表示加性高斯白噪声的功率谱密度。整个宽带信道容量可以表示为多个子带容量之和,即

339af5c45d89ceac52e528fca8416f42.png

3.2 均方根时延扩展和相干带宽

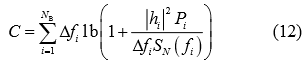
在对无线信道的刻画中,通常用时域的均方根时延扩展和频域的相干带宽这2个参数来描述多径信道的时间色散特性。均方根时延扩展是多径信号的功率时延分布的二阶矩的平方根,而相干带宽是从均方根时延扩展得出,两者成反比关系。因此,本文只分析均方根时延扩展的解析表达式,即

377409a0bf65fff396e6c2ad83e89deb.png

44e6735106676efc3e983bff24b549ad.png

分别是瞬时功率时延分布的一阶矩(或称为平均过量时延)和二阶矩αi,n是式(2)的第i个子带中第n条射线的幅度。

4 仿真分析

由于每一个子带足够窄,子带内部的衰落可以看作平坦衰落。此外,与传统环境中的多射线模型不同,可编程无线环境中的信道线模型可以简化为 LoS和反射径的线性叠加。为了验证可编程无线环境多射线信道模型,选定的室内空间维度5 m×2.75 m×2.5 m。空间内所有墙壁、屋顶、地面及遮挡物均被可编程超表面涂敷,LoS环境下收发距离为3 m,fi=0.3THz。

传统多射线信道模型中不仅包括 LoS 路径,还包括反射、散射、衍射等路径。然而,在可编程无线环境中,由于电磁超表面对电磁波的超强调控能力,多射线信道中接收信号仅由LoS和NLoS环境中的反射射线组成。本节的仿真首先验证反射系数,然后对子带多射线模型宽带信道容量以及相干带宽进行验证分析。

4.1 反射系数

3d72f8e9b95043db5773fef2ac057364.png
图3 2种信道的反射系数对比曲线

图3分别以频率和入射角为变量对传统多射线信道与可编程无线环境多射线信道的反射系数进行了对比分析。由图3(a)可知,随着频率的增加,传统多射线信道中反射系数逐渐降低。这是因为对于较小的电磁波波长,传统环境中相同的粗糙墙面的反射损耗更严重。对于可编程无线环境,电磁波反射被完全控制,并不随频率的增加发生明显的变化。

由图3(b)可知,随着入射波接近垂直于表面即入射角接近零,无论是传统环境还是可编程无线环境均会损失更多的能量。对于相同的入射角,可编程无线环境的反射系数要高于传统环境的反射系数。

4.2 宽带信道容量

880dab8548b6a066a6100677cbe92733.png
图4 信道容量与发射功率的关系

图4假设发射功率为0~10 dBm,利用的频带为 0.1~1 THz,发射端和接收端的距离为 3 m。采用两种功率分配模式,一种是平均功率分配策略,另一种是注水功率分配策略。由图4可知,多径信道容量随发射功率的增加而增大。对于传统无线环境,注水功率分配策略比平均功率分配策略的多径信道容量更大。这是因为在太赫兹频段,信道具有更高的频率选择性,注水功率分配对于更优的路径分配更多的功率,而对整个容量贡献较小的路径分配更少的功率。对于可编程无线环境,由于利用了可编程电磁超表面对电磁波的调控能力,自定义射线引导功能,太赫兹波在传输过程中衰减和时延大幅度降低,多径信道容量也得到了大幅增加。在可编程无线环境中,注水功率分配策略和平均功率分配策略多径信道容量相差不大,这是因为可编程无线环境路径本身就是经过软件控制优选的高质量路径。该结果表明,在可编程无线环境中,可以采用更低成本的功率分配方式,其性能并没有明显的差异。

4.3 相干带宽

相干带宽定义为信道相关度超过50%的频率范围,表示为0.2/σi。由图5可知,对于传统的无线环境,随着频率的升高,电磁波波长与周围环境粗糙表面的尺度也越接近,电磁波散射带来的损耗也变得越来越严重。由于传播路径的高损耗,增加频率将导致多径效应减小,从而导致更小的时延扩展,以获得较大的相关带宽。然而,对于可编程无线环境,频率的增加并没有带来损耗的增加,因此其多径效应和相干带宽并不会随着频率的升高而显著改变。

c4c32d9953c67bbc9373c269f1f34a0c.png
图5 相干带宽与频率的关系

5 结束语

本文利用射线跟踪技术,提出了基于可编程无线环境的太赫兹多射线信道模型。由于可编程无线环境对电磁波幅度、相位、极化等特征的超强调控能力,消除了散射、衍射等现象对电磁波带来的损耗,基于该多射线追踪模型建立的系统具有更优异的性能。此外,本文还对该模型下的信道特征进行了解析,并在平均功率分配和注水功率分配的条件下对传统无线环境太赫兹通信与可编程无线环境太赫兹通信进行了仿真分析。下一步可进行以下两个方面的工作:1)在本文所提模型的基础上,提出具体的面向可编程无线环境的太赫兹通信技术;2) 详细分析容量、覆盖、能效等指标,研究可编程无线环境下太赫兹无线通信系统性能提升的理论上界。

论文解决的主要问题:

搭建可编程无线环境的太赫兹多射线信道模型

论文中所使用的算法:

射线跟踪技术

主要处理方法:

首先基于射线跟踪技术,结合视距、非视距的传播模型建立了太赫兹波段可编程无线环境的多射线信道模型。然后,在所建立传播模型的基础上,进一步研究了反射系数、注水功率分配策略下的宽带信道容量、均方根时延扩展等问题。

个人感悟:

太赫兹频段是目前5G通信建设的一个重要频段,对太赫兹频段信道建模的研究推进了5G的发展。文中搭建的模型在抑制太赫兹无线路径损耗和多径衰落等方面有优异的表现,能大大提高系统传输容量,可以借鉴给5G其他频段如微波、毫米波。

最后

以上就是高大金毛最近收集整理的关于点对点信道互连以太网实验_基于可编程无线环境的太赫兹频段多射线信道模型...的全部内容,更多相关点对点信道互连以太网实验_基于可编程无线环境内容请搜索靠谱客的其他文章。

本图文内容来源于网友提供,作为学习参考使用,或来自网络收集整理,版权属于原作者所有。
点赞(220)

评论列表共有 0 条评论

立即
投稿
返回
顶部