转自:https://blog.csdn.net/shayashi/article/details/82500031
特征函数定义是:设X是实值随机变量,则对任意实数t,有
称为随机变量X的特征函数,其中
。
一、离散概率分布
1.单点分布
单点分布的分布列为
。
其特征函数计算方法如下:
2.二项分布
二项分布的分布列为
。
其特征函数的计算方法如下:
3.泊松分布
泊松分布的分布列为
。
其特征函数的计算方法如下:
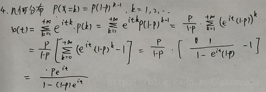
4.几何分布
几何分布的分布列为
。
特征函数的计算方法如下:
二、连续概率分布
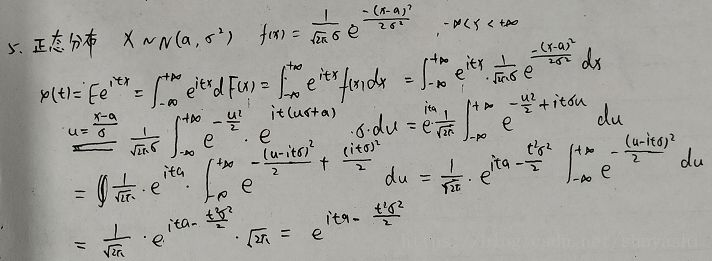
1.正态分布
正态分布的分布密度是
。
特征函数推导过程如下:
2.均匀分布
均匀分布的分布密度是
。
特征函数推导过程如下:
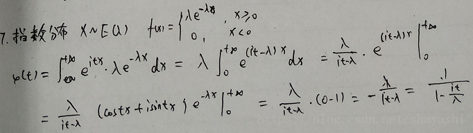
3.指数分布
指数分布的分布密度是
。
特征函数推导过程如下:
--------------------- 本文来自 shayashi 的CSDN 博客 ,全文地址请点击:https://blog.csdn.net/shayashi/article/details/82500031?utm_source=copy
最后
以上就是凶狠电话最近收集整理的关于常见概率分布的特征函数推导的全部内容,更多相关常见概率分布内容请搜索靠谱客的其他文章。
本图文内容来源于网友提供,作为学习参考使用,或来自网络收集整理,版权属于原作者所有。
发表评论 取消回复