AI面试必备/深度学习100问1-50题答案解析
转载: https://blog.csdn.net/T7SFOKzorD1JAYMSFk4/article/details/80972658
1、梯度下降算法的正确步骤,(正确步骤dcaeb)(梯度下降法其实是根据函数的梯度来确定函数的极小值),这里的问题与其说是梯度下降算法的步骤不如说类似图图像分类训练的整个流程:网络初始化-输入to输出-期望输出与实际差值-根据误差计算更新权值-迭代进行。
a.计算预测值和真实值之间的误差; b.重复迭代,直至得到网络权重的最佳值; c.把输入传入网络,得到输出值 ;d.用随机值初始化权重和偏差; e.对每一个产生误差的神经元,调整相应的(权重)值以减小误差。
2、已知:大脑是有很多个叫做神经元的东西构成,神经网络是对大脑的简单的数学表达。每一个神经元都有输入、处理函数和输出。神经元组合起来形成了网络,可以拟合任何函数。为了得到最佳的神经网络,我们用梯度下降方法不断更新模型。
给定上述关于神经网络的描述,什么情况下神经网络模型被称为深度学习模型?(正确是A)
A.加入更多层,使神经网络的深度增加; B.有维度更高的数据; C.当这是一个图形识别的问题时; D.以上都不正确
神经网络理论上说是仿照生物神经学一层层迭代处理结构(生物学认为视觉系统是层级结构),层层抽象与迭代,多少层算深层结构没有硬性的规定,一般要超过2层。
3、训练CNN时,可以对输入进行旋转、平移、缩放等预处理提高模型泛化能力。这么说是对,还是不对?(正确答案:对)
扩充数据是提高泛化能力常用的方式,对数据的平移、旋转等是对CNN训练数据的扩充的操作方式。
4、下面哪项操作能实现跟神经网络中Dropout的类似效果?
A.Boosting B.Bagging C.Stacking D.Mapping(正确:B)
典型的神经网络其训练流程是将输入通过网络进行正向传导,然后将误差进行反向传播,Dropout就是针对这一过程之中,随机地删除隐藏层的部分单元,进行上述过程。步骤为:1)随机删除网络中的一些隐藏神经元,保持输入输出神经元不变;2)将输入通过修改后的网络进行前向传播,然后将误差通过修改后的网络进行反向传播;3)对于另外一批的训练样本,重复上述操作。他的作为从Hinton的原文以及后续的大量实验论证发现,dropout可以比较有效地减轻过拟合的发生,一定程度上达到了正则化的效果。A:Boosting方法是一种用来提高弱分类算法准确度的方法,这种方法通过构造一个预测函数系列,然后以一定的方式将他们组合成一个预测函数。B:bagging同样是弱分类器组合的思路,它首先随机地抽取训练集(training set),以之为基础训练多个弱分类器。然后通过取平均,或者投票(voting)的方式决定最终的分类结果。因为它随机选取训练集的特点,Bagging可以一定程度上避免过渡拟合(overfit)。C:stacking:它所做的是在多个分类器的结果上,再套一个新的分类器。这个新的分类器就基于弱分类器的分析结果,加上训练标签(training label)进行训练。一般这最后一层用的是LR。D:Sammon Mapping降维算法。
5、下列哪一项在神经网络中引入了非线性?(正确:B)
A.随机梯度下降 ; B.修正线性单元(ReLU) ;C.卷积函数 ;D.以上都不正确
"线性"="齐次性"+"可加性","齐次性"是指类似于: f(ax)=af(x),"可加性"是指类似于: f(x+y)=f(x)+f(y),
这里没有太多特别的原因, 就是一个名字. "非线性"当然就是这两条至少之一不成立。修正线性单元是非线性的激活函数。
6.CNN的卷积核是单层的还是多层的?
一般而言,深度卷积网络是一层又一层的。层的本质是特征图, 存贮输入数据或其中间表示值。一组卷积核则是联系前后两层的网络参数表达体, 训练的目标就是每个卷积核的权重参数组。描述网络模型中某层的厚度,通常用名词通道channel数或者特征图feature map数。不过人们更习惯把作为数据输入的前层的厚度称之为通道数(比如RGB三色图层称为输入通道数为3),把作为卷积输出的后层的厚度称之为特征图数。卷积核(filter)一般是3D多层的,除了面积参数, 比如3x3之外, 还有厚度参数H(2D的视为厚度1). 还有一个属性是卷积核的个数N。卷积核的厚度H, 一般等于前层厚度M(输入通道数或feature map数). 特殊情况M > H。卷积核的个数N, 一般等于后层厚度(后层feature maps数,因为相等所以也用N表示)。卷积核通常从属于后层,为后层提供了各种查看前层特征的视角,这个视角是自动形成的。卷积核厚度等于1时为2D卷积,对应平面点相乘然后把结果加起来,相当于点积运算;卷积核厚度大于1时为3D卷积,每片分别平面点求卷积,然后把每片结果加起来,作为3D卷积结果;1x1卷积属于3D卷积的一个特例,有厚度无面积, 直接把每片单个点乘以权重再相加。归纳之,卷积的意思就是把一个区域,不管是一维线段,二维方阵,还是三维长方块,全部按照卷积核的维度形状,对应逐点相乘再求和,浓缩成一个标量值也就是降到零维度,作为下一层的一个feature map的一个点的值!可以比喻一群渔夫坐一个渔船撒网打鱼,鱼塘是多层水域,每层鱼儿不同。船每次移位一个stride到一个地方,每个渔夫撒一网,得到收获,然后换一个距离stride再撒,如此重复直到遍历鱼塘。A渔夫盯着鱼的品种,遍历鱼塘后该渔夫描绘了鱼塘的鱼品种分布;B渔夫盯着鱼的重量,遍历鱼塘后该渔夫描绘了鱼塘的鱼重量分布;还有N-2个渔夫,各自兴趣各干各的;最后得到N个特征图,描述了鱼塘的一切!2D卷积表示渔夫的网就是带一圈浮标的渔网,只打上面一层水体的鱼;3D卷积表示渔夫的网是多层嵌套的渔网,上中下层水体的鱼儿都跑不掉;1x1卷积可以视为每次移位stride,甩钩钓鱼代替了撒网;下面解释一下特殊情况的 M > H:实际上,除了输入数据的通道数比较少之外,中间层的feature map数很多,这样中间层算卷积会累死计算机(鱼塘太深,每层鱼都打,需要的鱼网太重了)。所以很多深度卷积网络把全部通道/特征图划分一下,每个卷积核只看其中一部分(渔夫A的渔网只打捞深水段,渔夫B的渔网只打捞浅水段)。这样整个深度网络架构是横向开始分道扬镳了,到最后才又融合。这样看来,很多网络模型的架构不完全是突发奇想,而是是被参数计算量逼得。特别是现在需要在移动设备上进行AI应用计算(也叫推断), 模型参数规模必须更小, 所以出现很多减少握手规模的卷积形式, 现在主流网络架构大都如此。
7.什么是卷积?
对图像(不同的数据窗口数据)和滤波矩阵(一组固定的权重:因为每个神经元的多个权重固定,所以又可以看做一个恒定的滤波器filter)做内积(逐个元素相乘再求和)的操作就是所谓的『卷积』操作,也是卷积神经网络的名字来源。https://blog.csdn.net/dingyahui123/article/details/72808985
8.什么是CNN的池化pool层?
池化,简言之,即取区域平均或最大,如下图所示(图引自cs231n)上图所展示的是取区域最大,即下图左边部分中 左上角2x2的矩阵中6最大,右上角2x2的矩阵中8最大,左下角2x2的矩阵中3最大,右下角2x2的矩阵中4最大,所以得到上图右边部分的结果:6 8 3 4。关于池化的作用最可靠的解释是在尽量保持原数据关系的基础上进行变化降低维度,常用的是平均和最大池化法。

9.简述下什么是生成对抗网络。
GAN之所以是对抗的,是因为GAN的内部是竞争关系,一方叫generator,它的主要工作是生成图片,并且尽量使得其看上去是来自于训练样本的。另一方是discriminator,其目标是判断输入图片是否属于真实训练样本。更直白的讲,将generator想象成假币制造商,而discriminator是警察。generator目的是尽可能把假币造的跟真的一样,从而能够骗过discriminator,即生成样本并使它看上去好像来自于真实训练样本一样。GAN的主要思想是拥有两个竞争的神经网络模型。 一个将噪声数据作为输入,并产生样本(所谓的生成器)。 另一个模型(称为判别器)从生成器和训练数据接收样本,并且必须能够区分两个来源。 这两个网络进行连续的博弈,生成器学习产生越来越多的现实样本,鉴别器正在学习越来越好地区分生成的数据和实际数据。 这两个网络同时进行训练,最后的希望是竞争能够使生成器生成的样本与实际数据不可区分。
10.学梵高作画的原理是什么?
一个训练好的图像识别模型,比如训练毕加索画式的猫的分类模型会给你反馈一个概率分数,表示它相信这是一张“毕加索猫”照片的程度。这中间经历了很多CNN层,每层CNN都在狗狗照片上寻找输入样本是毕加索猫的图形特征证据,越底层的神经元分析的特征越具体,越高层越抽象。当然,最后模型会给出很低的分数,如果输入是一个狗照片识别毕加索猫的过程中,如果让模型能够修改输入的样本又会怎样呢?给模型网络中加一个反馈回路,让每一层网络可以朝着使最后分数变大的方向上修改狗狗照片。每次迭代网络中的每层都会在狗照上增加一些毕加索猫的特征痕迹,可以迭代很多次,让狗狗照片中加入越来越多的毕加索猫的实物特征。这就是使用卷积神经网络艺术作画的概念基础,让艺术风格模型的CNN按图形特征修改输入图片,叠加艺术效果。大致的实现思路如下:1)输入特征图像,训练风格模型,让计算机学会艺术风格。2)输入待处理图,风格模型引导修改输入图片,生成新的图像,输出“艺术画”。
11.请简要介绍下tensorflow的计算图。
Tensorflow是一个通过计算图的形式来表述计算的编程系统,计算图也叫数据流图,可以把计算图看做是一种有向图,Tensorflow中的每一个节点都是计算图上的一个Tensor, 也就是张量,而节点之间的边描述了计算之间的依赖关系(定义时)和数学操作(运算时)。a=x*y; b=a+z; c=tf.reduce_sum(b);


12.你有哪些deep learning(rnn、cnn)调参的经验?
1、参数初始化,参数初始化影响收敛速度和收敛结果甚至造成Nan等问题,下面的n_in为网络的输入大小,uniform均匀分布初始化:w = np.random.uniform(low=-scale, high=scale, size=[n_in,n_out])。normal高斯分布初始化方法如下:w = np.random.randn(n_in,n_out) * stdev # stdev为高斯分布的标准差,均值设为0
2、数据预处理方式:
zero-center ,这个挺常用的.X -= np.mean(X, axis = 0) # zero-centerX /= np.std(X, axis = 0) # normalize。PCA whitening,这个用的比较少.
3、训练技巧:1)要做梯度归一化,即算出来的梯度除以minibatch size。2)clip c(梯度裁剪): 限制最大梯度,其实是value = sqrt(w1^2+w2^2….),如果value超过了阈值,就算一个衰减系系数,让value的值等于阈值: 5,10,15。3)dropout对小数据防止过拟合有很好的效果,值一般设为0.5,小数据上dropout+sgd在我的大部分实验中,效果提升都非常明显.因此可能的话,建议一定要尝试一下。 dropout的位置比较有讲究, 对于RNN,建议放到输入->RNN与RNN->输出的位置。4)adam,adadelta等,在小数据上,我这里实验的效果不如sgd, sgd收敛速度会慢一些,但是最终收敛后的结果,一般都比较好。如果使用sgd的话,可以选择从1.0或者0.1的学习率开始,隔一段时间,在验证集上检查一下,如果cost没有下降,就对学习率减半. 我看过很多论文都这么搞,我自己实验的结果也很好. 当然,也可以先用ada系列先跑,最后快收敛的时候,更换成sgd继续训练.同样也会有提升.据说adadelta一般在分类问题上效果比较好,adam在生成问题上效果比较好。5)除了gate之类的地方,需要把输出限制成0-1之外,尽量不要用sigmoid,可以用tanh或者relu之类的激活函数.1. sigmoid函数在-4到4的区间里,才有较大的梯度。之外的区间,梯度接近0,很容易造成梯度消失问题。2.输入0均值,sigmoid函数的输出不是0均值的。6)rnn的dim和embdding size,一般从128上下开始调整. batch size,一般从128左右开始调整.batch size合适最重要,并不是越大越好。word2vec初始化,在小数据上,不仅可以有效提高收敛速度,也可以可以提高结果。6、尽量对数据做shuffle:LSTM 的forget gate的bias,用1.0或者更大的值做初始化,可以取得更好的结果,来自这篇论文:http://jmlr.org/proceedings/papers/v37/jozefowicz15.pdf, 我这里实验设成1.0,可以提高收敛速度.实际使用中,不同的任务,可能需要尝试不同的值。Batch Normalization据说可以提升效果,不过我没有尝试过,建议作为最后提升模型的手段,参考论文:Accelerating Deep Network Training by Reducing Internal Covariate Shift。如果你的模型包含全连接层(MLP),并且输入和输出大小一样,可以考虑将MLP替换成Highway Network,我尝试对结果有一点提升,建议作为最后提升模型的手段,原理很简单,就是给输出加了一个gate来控制信息的流动,详细介绍请参考论文:http://arxiv.org/abs/1505.0038.7、Ensemble:Ensemble是论文刷结果的终极核武器,深度学习中一般有以下几种方式1)同样的参数,不同的初始化方式,2)不同的参数,通过cross-validation,选取最好的几组,3)同样的参数,模型训练的不同阶段,即不同迭代次数的模型。4)不同的模型,进行线性融合. 例如RNN和传统模型。
13.CNN最成功的应用是在CV,那为什么NLP和Speech的很多问题也可以用CNN解出来?为什么AlphaGo里也用了CNN?这几个不相关的问题的相似性在哪里?CNN通过什么手段抓住了这个共性?
不相关问题的相关性在于,都存在局部与整体的关系,由低层次的特征经过组合,组成高层次的特征,并且得到不同特征之间的空间相关性。如下图:低层次的直线/曲线等特征,组合成为不同的形状,最后得到汽车的表示。

CNN抓住此共性的手段主要有四个:局部连接/权值共享/池化操作/多层次结构。局部连接使网络可以提取数据的局部特征;权值共享大大降低了网络的训练难度,一个Filter只提取一个特征,在整个图片(或者语音/文本) 中进行卷积;池化操作与多层次结构一起,实现了数据的降维,将低层次的局部特征组合成为较高层次的特征,从而对整个图片进行表示。
14.LSTM结构推导,为什么比RNN好?
推导forget gate,input gate,cell state, hidden information等的变化;因为LSTM有进有出且当前的cell informaton是通过input gate控制之后叠加的,RNN是叠乘,因此LSTM可以防止梯度消失或者爆炸。
15.Sigmoid、Tanh、ReLu这三个激活函数有什么缺点或不足,有没改进的激活函数。
1、1)sig:容易出现梯度消失(gradient vanishing)的现象:当激活函数接近饱和区时,变化太缓慢,导数接近0,根据后向传递的数学依据是微积分求导的链式法则,当前导数需要之前各层导数的乘积,几个比较小的数相乘,导数结果很接近0,从而无法完成深层网络的训练。2)Sigmoid的输出不是0均值(zero-centered)的:这会导致后层的神经元的输入是非0均值的信号,这会对梯度产生影响。以 f=sigmoid(wx+b)为例, 假设输入均为正数(或负数),那么对w的导数总是正数(或负数),这样在反向传播过程中要么都往正方向更新,要么都往负方向更新,导致有一种捆绑效果,使得收敛缓慢。3)幂运算相对耗时.
2、Tanh:解决了Sigmoid函数的非zero-centered问题,但是它也存在梯度消失和幂运算的问题。其实 tanh(x)=2sigmoid(2x)-1。
3、Relu:(1)ReLU的输出不是zero-centered;(2)Dead ReLU Problem(神经元坏死现象):某些神经元可能永远不会被激活,导致相应参数永远不会被更新(在负数部分,梯度为0)。产生这种现象的两个原因:参数初始化问题;learning rate太高导致在训练过程中参数更新太大。 解决方法:采用Xavier初始化方法,以及避免将learning rate设置太大或使用adagrad等自动调节learning rate的算法。(3)ReLU不会对数据做幅度压缩,所以数据的幅度会随着模型层数的增加不断扩张。为了解决ReLU的dead cell的情况,发明了Leaky Relu, 即在输入小于0时不让输出为0,而是乘以一个较小的系数,从而保证有导数存在。同样的目的,还有一个ELU,函数示意图如下:

还有一个激活函数是Maxout,即使用两套w,b参数,输出较大值。本质上Maxout可以看做Relu的泛化版本,因为如果一套w,b全都是0的话,那么就是普通的ReLU。Maxout可以克服Relu的缺点,但是参数数目翻倍。
16、为什么引入非线性激励函数?
第一,对于神经网络来说,网络的每一层相当于f(wx+b)=f(w'x),对于线性函数,其实相当于f(x)=x,那么在线性激活函数下,每一层相当于用一个矩阵去乘以x,那么多层就是反复的用矩阵去乘以输入。根据矩阵的乘法法则,多个矩阵相乘得到一个大矩阵。所以线性激励函数下,多层网络与一层网络相当。比如,两层的网络f(W1*f(W2x))=W1W2x=Wx。第二,非线性变换是深度学习有效的原因之一。原因在于非线性相当于对空间进行变换,变换完成后相当于对问题空间进行简化,原来线性不可解的问题现在变得可以解了。

上图可以很形象的解释这个问题,左图用一根线是无法划分的。经过一系列变换后,就变成线性可解的问题了。如果不用激励函数(其实相当于激励函数是f(x) = x),在这种情况下你每一层输出都是上层输入的线性函数,很容易验证,无论你神经网络有多少层,输出都是输入的线性组合,与没有隐藏层效果相当,这种情况就是最原始的感知机(Perceptron)了。正因为上面的原因,我们决定引入非线性函数作为激励函数,这样深层神经网络就有意义了(不再是输入的线性组合,可以逼近任意函数)。最早的想法是sigmoid函数或者tanh函数,输出有界,很容易充当下一层输入(以及一些人的生物解释)。
17、请问人工神经网络中为什么ReLu要好过于tanh和sigmoid function?
函数图形如下:

第一,采用sigmoid等函数,算激活函数时(指数运算),计算量大,反向传播求误差梯度时,求导涉及除法和指数运算,计算量相对大,而采用Relu激活函数,整个过程的计算量节省很多。
第二,对于深层网络,sigmoid函数反向传播时,很容易就会出现梯度消失的情况(在sigmoid接近饱和区时,变换太缓慢,导数趋于0,这种情况会造成信息丢失),这种现象称为饱和,从而无法完成深层网络的训练。而ReLU就不会有饱和倾向,不会有特别小的梯度出现。
第三,Relu会使一部分神经元的输出为0,这样就造成了网络的稀疏性,并且减少了参数的相互依存关系,缓解了过拟合问题的发生(以及一些人的生物解释balabala)。当然现在也有一些对relu的改进,比如prelu,random relu等,在不同的数据集上会有一些训练速度上或者准确率上的改进,具体的大家可以找相关的paper看。多加一句,现在主流的做法,会多做一步batch normalization,尽可能保证每一层网络的输入具有相同的分布[1]。而最新的paper[2],他们在加入bypass connection之后,发现改变batch normalization的位置会有更好的效果。
18、为什么LSTM模型中既存在sigmoid又存在tanh两种激活函数,而不是选择统一的sigmoid或者tanh?这样做的目的是什么?
sigmoid 用在了各种gate上,产生0~1之间的值,这个一般只有sigmoid最直接了。tanh 用在了状态和输出上,是对数据的处理,这个用其他激活函数或许也可以。二者目的不一样,另可参见A Critical Review of Recurrent Neural Networks for Sequence Learning的section4.1,说了那两个tanh都可以替换成别的。
19、如何解决RNN梯度爆炸和弥散的问题?
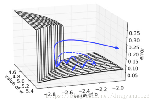
为了解决梯度爆炸问题,Thomas Mikolov首先提出了一个简单的启发性的解决方案,就是当梯度大于一定阈值的的时候,将它截断为一个较小的数。具体如算法1所述:算法:当梯度爆炸时截断梯度,下图可视化了梯度截断的效果。它展示了一个小的rnn(其中W为权值矩阵,b为bias项)的决策面。这个模型是一个一小段时间的rnn单元组成;实心箭头表明每步梯度下降的训练过程。当梯度下降过程中,模型的目标函数取得了较高的误差时,梯度将被送到远离决策面的位置。截断模型产生了一个虚线,它将误差梯度拉回到离原始梯度接近的位置。

梯度爆炸,梯度截断可视化为了解决梯度弥散的问题,我们介绍了两种方法。第一种方法是将随机初始化,改为一个有关联的矩阵初始化。第二种方法是使用ReLU(Rectified Linear Units)代替sigmoid函数。ReLU的导数不是0就是1.因此,神经元的梯度将始终为1,而不会当梯度传播了一定时间之后变小。
20、什么样的资料集不适合深度学习
(1)数据集太小,数据样本不足时,深度学习相对其它机器学习算法,没有明显优势。(2)数据集没有局部相关特性,目前深度学习表现比较好的领域主要是图像/语音/自然语言处理等领域,这些领域的一个共性是局部相关性。图像中像素组成物体,语音信号中音位组合成单词,文本数据中单词组合成句子,这些特征元素的组合一旦被打乱,表示的含义同时也被改变。对于没有这样的局部相关性的数据集,不适于使用深度学习算法进行处理。举个例子:预测一个人的健康状况,相关的参数会有年龄、职业、收入、家庭状况等各种元素,将这些元素打乱,并不会影响相关的结果。
21、广义线性模型是怎么应用到深度学习的?
深度学习从统计学角度,可以看做递归的广义线性模型。广义线性模型相对于经典的线性模型(y=wx+b),核心在于引入了连接函数g(.),形式变为:y=g−1(wx+b)。深度学习时递归的广义线性模型,神经元的激活函数,即为广义线性模型的链接函数。逻辑回归(广义线性模型的一种)的Logistic函数即为神经元激活函数中的Sigmoid函数,很多类似的方法在统计学和神经网络中的名称不一样,容易引起初学者(这里主要指我)的困惑。

22、如何解决梯度消失和梯度膨胀?
(1)梯度消失:根据链式法则,如果每一层神经元对上一层的输出的偏导乘上权重结果都小于1的话,那么即使这个结果是0.99,在经过足够多层传播之后,误差对输入层的偏导会趋于0。可以采用ReLU激活函数有效的解决梯度消失的情况,也可以用Batch Normalization解决这个问题。关于深度学习中 Batch Normalization为什么效果好?(2)梯度膨胀根据链式法则,如果每一层神经元对上一层的输出的偏导乘上权重结果都大于1的话,在经过足够多层传播之后,误差对输入层的偏导会趋于无穷大可以通过激活函数来解决,或用Batch Normalization解决这个问题。
23、简述神经网络发展史?
949年Hebb提出了神经心理学学习范式——Hebbian学习理论--1952年,IBM的Arthur Samuel写出了西洋棋程序---1957年,Rosenblatt的感知器算法是第二个有着神经系统科学背景的机器学习模型.-3年之后,Widrow因发明Delta学习规则而载入ML史册,该规则马上就很好的应用到了感知器的训练中--感知器的热度在1969被Minskey一盆冷水泼灭了。他提出了著名的XOR问题,论证了感知器在类似XOR问题的线性不可分数据的无力。尽管BP的思想在70年代就被Linnainmaa以“自动微分的翻转模式”被提出来,但直到1981年才被Werbos应用到多层感知器(MLP)中,NN新的大繁荣。----1991年的Hochreiter和2001年的Hochreiter的工作,都表明在使用BP算法时,NN单元饱和之后会发生梯度损失。又发生停滞。---时间终于走到了当下,随着计算资源的增长和数据量的增长。一个新的NN领域——深度学习出现了。--简言之,MP模型+sgn—->单层感知机(只能线性)+sgn— Minsky 低谷 —>多层感知机+BP+sigmoid—- (低谷) —>深度学习+pre-training+ReLU/sigmoid。
24、深度学习常用方法?
全连接DNN(相邻层相互连接、层内无连接)、AutoEncoder(尽可能还原输入)、Sparse Coding(在AE上加入L1规范)、RBM(解决概率问题)—–>特征探测器——>栈式叠加 贪心训练 。RBM—->DBN 解决全连接DNN的全连接问题—–>CNN 解决全连接DNN的无法对时间序列上变化进行建模的问题—–>RNN—解决时间轴上的梯度消失问题——->LSTM
DNN是传统的全连接网络,可以用于广告点击率预估,推荐等。其使用embedding的方式将很多离散的特征编码到神经网络中,可以很大的提升结果。CNN主要用于计算机视觉(Computer Vision)领域,CNN的出现主要解决了DNN在图像领域中参数过多的问题。同时,CNN特有的卷积、池化、batch normalization、Inception、ResNet、DeepNet等一系列的发展也使得在分类、物体检测、人脸识别、图像分割等众多领域有了长足的进步。同时,CNN不仅在图像上应用很多,在自然语言处理上也颇有进展,现在已经有基于CNN的语言模型能够达到比LSTM更好的效果。在最新的AlphaZero中,CNN中的ResNet也是两种基本算法之一。GAN是一种应用在生成模型的训练方法,现在有很多在CV方面的应用,例如图像翻译,图像超清化、图像修复等等。RNN主要用于自然语言处理(Natural Language Processing)领域,用于处理序列到序列的问题。普通RNN会遇到梯度爆炸和梯度消失的问题。所以现在在NLP领域,一般会使用LSTM模型。在最近的机器翻译领域,Attention作为一种新的手段,也被引入进来。除了DNN、RNN和CNN外, 自动编码器(AutoEncoder)、稀疏编码(Sparse Coding)、深度信念网络(DBM)、限制玻尔兹曼机(RBM)也都有相应的研究。
25、神经网络发展史?
sigmoid会饱和,造成梯度消失。于是有了ReLU。ReLU负半轴是死区,造成梯度变0。于是有了LeakyReLU,PReLU。强调梯度和权值分布的稳定性,由此有了ELU,以及较新的SELU。太深了,梯度传不下去,于是有了highway。干脆连highway的参数都不要,直接变残差,于是有了ResNet。强行稳定参数的均值和方差,于是有了BatchNorm。在梯度流中增加噪声,于是有了 Dropout。RNN梯度不稳定,于是加几个通路和门控,于是有了LSTM。LSTM简化一下,有了GRU。GAN的JS散度有问题,会导致梯度消失或无效,于是有了WGAN。WGAN对梯度的clip有问题,于是有了WGAN-GP。
26、神经网络中激活函数的真正意义?一个激活函数需要具有哪些必要的属性?还有哪些属性是好的属性但不必要的?
(1)非线性:即导数不是常数。这个条件是多层神经网络的基础,保证多层网络不退化成单层线性网络。这也是激活函数的意义所在。
(2)几乎处处可微:可微性保证了在优化中梯度的可计算性。传统的激活函数如sigmoid等满足处处可微。对于分段线性函数比如ReLU,只满足几乎处处可微(即仅在有限个点处不可微)。对于SGD算法来说,由于几乎不可能收敛到梯度接近零的位置,有限的不可微点对于优化结果不会有很大影响。
(3)计算简单:非线性函数有很多。极端的说,一个多层神经网络也可以作为一个非线性函数,类似于Network In Network中把它当做卷积操作的做法。但激活函数在神经网络前向的计算次数与神经元的个数成正比,因此简单的非线性函数自然更适合用作激活函数。这也是ReLU之流比其它使用Exp等操作的激活函数更受欢迎的其中一个原因。
(4)非饱和性(saturation):饱和指的是在某些区间梯度接近于零(即梯度消失),使得参数无法继续更新的问题。最经典的例子是Sigmoid,它的导数在x为比较大的正值和比较小的负值时都会接近于0。更极端的例子是阶跃函数,由于它在几乎所有位置的梯度都为0,因此处处饱和,无法作为激活函数。ReLU在x>0时导数恒为1,因此对于再大的正值也不会饱和。但同时对于x<0,其梯度恒为0,这时候它也会出现饱和的现象(在这种情况下通常称为dying ReLU)。Leaky ReLU和PReLU的提出正是为了解决这一问题。
(5)单调性(monotonic):即导数符号不变。这个性质大部分激活函数都有,除了诸如sin、cos等。个人理解,单调性使得在激活函数处的梯度方向不会经常改变,从而让训练更容易收敛。
(6)输出范围有限:有限的输出范围使得网络对于一些比较大的输入也会比较稳定,这也是为什么早期的激活函数都以此类函数为主,如Sigmoid、TanH。但这导致了前面提到的梯度消失问题,而且强行让每一层的输出限制到固定范围会限制其表达能力。因此现在这类函数仅用于某些需要特定输出范围的场合,比如概率输出(此时loss函数中的log操作能够抵消其梯度消失的影响)、LSTM里的gate函数。
(7)接近恒等变换(identity):即约等于x。这样的好处是使得输出的幅值不会随着深度的增加而发生显著的增加,从而使网络更为稳定,同时梯度也能够更容易地回传。这个与非线性是有点矛盾的,因此激活函数基本只是部分满足这个条件,比如TanH只在原点附近有线性区(在原点为0且在原点的导数为1),而ReLU只在x>0时为线性。这个性质也让初始化参数范围的推导更为简单。额外提一句,这种恒等变换的性质也被其他一些网络结构设计所借鉴,比如CNN中的ResNet[6]和RNN中的LSTM。
(8)参数少:大部分激活函数都是没有参数的。像PReLU带单个参数会略微增加网络的大小。还有一个例外是Maxout,尽管本身没有参数,但在同样输出通道数下k路Maxout需要的输入通道数是其它函数的k倍,这意味着神经元数目也需要变为k倍;但如果不考虑维持输出通道数的情况下,该激活函数又能将参数个数减少为原来的k倍。
(9)归一化(normalization):这个是最近才出来的概念,对应的激活函数是SELU[8],主要思想是使样本分布自动归一化到零均值、单位方差的分布,从而稳定训练。在这之前,这种归一化的思想也被用于网络结构的设计,比如Batch Normalization。
27.梯度下降法的神经网络容易收敛到局部最优,为什么应用广泛?
深度神经网络“容易收敛到局部最优”,很可能是一种想象,实际情况是,我们可能从来没有找到过“局部最优”,更别说全局最优了。很多人都有一种看法,就是“局部最优是神经网络优化的主要难点”。这来源于一维优化问题的直观想象。在单变量的情形下,优化问题最直观的困难就是有很多局部极值,如

人们直观的想象,高维的时候这样的局部极值会更多,指数级的增加,于是优化到全局最优就更难了。然而单变量到多变量一个重要差异是,单变量的时候,Hessian矩阵只有一个特征值,于是无论这个特征值的符号正负,一个临界点都是局部极值。但是在多变量的时候,Hessian有多个不同的特征值,这时候各个特征值就可能会有更复杂的分布,如有正有负的不定型和有多个退化特征值(零特征值)的半定型

在后两种情况下,是很难找到局部极值的,更别说全局最优了。现在看来,神经网络的训练的困难主要是鞍点的问题。在实际中,我们很可能也从来没有真的遇到过局部极值。另一方面,一个好消息是,即使有局部极值,具有较差的loss的局部极值的吸引域也是很小的。所以,很可能我们实际上是在“什么也没找到”的情况下就停止了训练,然后拿到测试集上试试,“咦,效果还不错”。补充说明,这些都是实验研究结果。理论方面,各种假设下,深度神经网络的Landscape 的鞍点数目指数增加,而具有较差loss的局部极值非常少。
28、CNN常用模型

29、为什么很多做人脸的Paper会最后加入一个Local Connected Conv?
以FaceBook DeepFace 为例: DeepFace 先进行了两次全卷积+一次池化,提取了低层次的边缘/纹理等特征。后接了3个Local-Conv层,这里是用Local-Conv的原因是,人脸在不同的区域存在不同的特征(眼睛/鼻子/嘴的分布位置相对固定),当不存在全局的局部特征分布时,Local-Conv更适合特征的提取。
30、什么是梯度爆炸:
误差梯度是神经网络训练过程中计算的方向和数量,用于以正确的方向和合适的量更新网络权重。在深层网络或循环神经网络中,误差梯度可在更新中累积,变成非常大的梯度,然后导致网络权重的大幅更新,并因此使网络变得不稳定。在极端情况下,权重的值变得非常大,以至于溢出导致NaN值。网络层之间的梯度(值大于 1.0)重复相乘导致的指数级增长会产生梯度爆炸。
31、梯度爆炸会引发什么问题?
在深度多层感知机网络中,梯度爆炸会引起网络不稳定,最好的结果是无法从训练数据中学习,而最坏的结果是出现无法再更新的 NaN 权重值。梯度爆炸导致学习过程不稳定。在循环神经网络中,梯度爆炸会导致网络不稳定,无法利用训练数据学习,最好的结果是网络无法学习长的输入序列数据。
32、如何确认是否出现梯度爆炸?
训练过程中出现梯度爆炸会伴随一些细微的信号,如:1)模型无法从训练数据中获得更新(如低损失)。2)模型不稳定,导致更新过程中的损失出现显著变化。3)训练过程中,模型损失变成 NaN。如果你发现这些问题,那么你需要仔细查看是否出现梯度爆炸问题。以下是一些稍微明显一点的信号,有助于确认是否出现梯度爆炸问题。1)训练过程中模型梯度快速变大。2)训练过程中模型权重变成 NaN 值。3)训练过程中,每个节点和层的误差梯度值持续超过 1.0。
33、如何修复梯度爆炸问题?
(1) 重新设计网络模型:在深度神经网络中,梯度爆炸可以通过重新设计层数更少的网络来解决。使用更小的批尺寸对网络训练也有好处。在循环神经网络中,训练过程中在更少的先前时间步上进行更新(沿时间的截断反向传播,truncated Backpropagation through time)可以缓解梯度爆炸问题。
(2)使用 ReLU 激活函数:在深度多层感知机神经网络中,梯度爆炸的发生可能是因为激活函数,如之前很流行的 Sigmoid 和 Tanh函数。使用 ReLU 激活函数可以减少梯度爆炸。采用 ReLU 激活函数是最适合隐藏层的新实践。
(3)使用长短期记忆网络:在循环神经网络中,梯度爆炸的发生可能是因为某种网络的训练本身就存在不稳定性,如随时间的反向传播本质上将循环网络转换成深度多层感知机神经网络。使用长短期记忆(LSTM)单元和相关的门类型神经元结构可以减少梯度爆炸问题。采用 LSTM 单元是适合循环神经网络的序列预测的最新最好实践。
(4)使用梯度截断(Gradient Clipping):在非常深且批尺寸较大的多层感知机网络和输入序列较长的 LSTM 中,仍然有可能出现梯度爆炸。如果梯度爆炸仍然出现,你可以在训练过程中检查和限制梯度的大小。这就是梯度截断。处理梯度爆炸有一个简单有效的解决方案:如果梯度超过阈值,就截断它们。具体来说,检查误差梯度的值是否超过阈值,如果超过,则截断梯度,将梯度设置为阈值。梯度截断可以一定程度上缓解梯度爆炸问题(梯度截断,即在执行梯度下降步骤之前将梯度设置为阈值)。在 Keras 深度学习库中,你可以在训练之前设置优化器上的 clipnorm 或 clipvalue 参数,来使用梯度截断。默认值为 clipnorm=1.0 、clipvalue=0.5。详见:https://keras.io/optimizers/。
(5)使用权重正则化(Weight Regularization):如果梯度爆炸仍然存在,可以尝试另一种方法,即检查网络权重的大小,并惩罚产生较大权重值的损失函数。该过程被称为权重正则化,通常使用的是 L1 惩罚项(权重绝对值)或 L2 惩罚项(权重平方)。对循环权重使用 L1 或 L2 惩罚项有助于缓解梯度爆炸。在 Keras 深度学习库中,你可以通过在层上设置 kernel_regularizer 参数和使用 L1 或 L2 正则化项进行权重正则化。
34、LSTM神经网络输入输出究竟是怎样的?
第一要明确的是神经网络所处理的单位全部都是:向量,下面就解释为什么你会看到训练数据会是矩阵和张量。常规feedforward 输入和输出:矩阵,输入矩阵形状:(n_samples, dim_input),输出矩阵形状:(n_samples, dim_output)。注:真正测试/训练的时候,网络的输入和输出就是向量而已。加入n_samples这个维度是为了可以实现一次训练多个样本,求出平均梯度来更新权重,这个叫做Mini-batch gradient descent。 如果n_samples等于1,那么这种更新方式叫做Stochastic Gradient Descent (SGD)。Feedforward 的输入输出的本质都是单个向量。常规Recurrent (RNN/LSTM/GRU) 输入和输出:张量,输入张量形状:(time_steps, n_samples, dim_input),输出张量形状:(time_steps, n_samples, dim_output)。注:同样是保留了Mini-batch gradient descent的训练方式,但不同之处在于多了time step这个维度。 Recurrent 的任意时刻的输入的本质还是单个向量,只不过是将不同时刻的向量按顺序输入网络。所以你可能更愿意理解为一串向量 a sequence of vectors,或者是矩阵。
(1)若想用一串序列去预测另一串序列,那么输入输出都是张量 (例如语音识别 或机器翻译 一个中文句子翻译成英文句子(一个单词算作一个向量),机器翻译还是个特例,因为两个序列的长短可能不同,要用到seq2seq;
(2)若想用一串序列去预测一个值,那么输入是张量,输出是矩阵 (例如,情感分析就是用一串单词组成的句子去预测说话人的心情)Feedforward 能做的是向量对向量的one-to-one mapping,Recurrent 将其扩展到了序列对序列 sequence-to-sequence mapping。但单个向量也可以视为长度为1的序列。所以有下图几种类型:

除了最左侧的one to one是feedforward 能做的,右侧都是Recurrent所扩展的,
若还想知道更多(1)可以将Recurrent的横向操作视为累积已发生的事情,并且LSTM的memory cell机制会选择记忆或者忘记所累积的信息来预测某个时刻的输出。(2)以概率的视角理解的话:就是不断的conditioning on已发生的事情,以此不断缩小sample space(3)RNN的思想是: current output不仅仅取决于current input,还取决于previous state;可以理解成current output是由current input和previous hidden state两个输入计算而出的。并且每次计算后都会有信息残留于previous hidden state中供下一次计算。
35、什么是RNN?
RNNs的目的使用来处理序列数据。在传统的神经网络模型中,是从输入层到隐含层再到输出层,层与层之间是全连接的,每层之间的节点是无连接的。但是这种普通的神经网络对于很多问题却无能无力。例如,你要预测句子的下一个单词是什么,一般需要用到前面的单词,因为一个句子中前后单词并不是独立的。RNNs之所以称为循环神经网路,即一个序列当前的输出与前面的输出也有关。具体的表现形式为网络会对前面的信息进行记忆并应用于当前输出的计算中,即隐藏层之间的节点不再无连接而是有连接的,并且隐藏层的输入不仅包括输入层的输出还包括上一时刻隐藏层的输出。理论上,RNNs能够对任何长度的序列数据进行处理。但是在实践中,为了降低复杂性往往假设当前的状态只与前面的几个状态相关,下图便是一个典型的RNNs:

RNNs包含输入单元(Input units),输入集标记为{x0,x1,...,xt,xt+1,...},而输出单元(Output units)的输出集则被标记为{y0,y1,...,yt,yt+1.,..}。RNNs还包含隐藏单元(Hidden units),我们将其输出集标记为{s0,s1,...,st,st+1,...},这些隐藏单元完成了最为主要的工作。你会发现,在图中:有一条单向流动的信息流是从输入单元到达隐藏单元的,与此同时另一条单向流动的信息流从隐藏单元到达输出单元。在某些情况下,RNNs会打破后者的限制,引导信息从输出单元返回隐藏单元,这些被称为“Back Projections”,并且隐藏层的输入还包括上一隐藏层的状态,即隐藏层内的节点可以自连也可以互连。

上图将循环神经网络进行展开成一个全神经网络。例如,对一个包含5个单词的语句,那么展开的网络便是一个五层的神经网络,每一层代表一个单词。对于该网络的计算过程如下:(1)xt表示第t,t=1,2,3...步(step)的输入。比如,x1为第二个词的one-hot向量(根据上图,x0为第一个词); (2) st为隐藏层的第t步的状态,它是网络的记忆单元。 st根据当前输入层的输出与上一步隐藏层的状态进行计算。st=f(Uxt+Wst−1),其中f一般是非线性的激活函数,如tanh或ReLU,在计算s0时,即第一个单词的隐藏层状态,需要用到s−1,但是其并不存在,在实现中一般置为0向量;(3)ot是第t步的输出,如下个单词的向量表示,ot=softmax(Vst)。
36、简述sigmoid函数?
常用的非线性激活函数有sigmoid、tanh、relu等等,前两者sigmoid/tanh比较常见于全连接层,后者relu常见于卷积层。(表达式和函数形式都是基本的)sigmoid函数的功能是相当于把一个实数压缩至0到1之间。当z是非常大的正数时,g(z)会趋近于1,而z是非常小的负数时,则g(z)会趋近于0。压缩至0到1有何用处呢?用处是这样一来便可以把激活函数看作一种“分类的概率”,比如激活函数的输出为0.9的话便可以解释为90%的概率为正样本。sigmod函数,是逻辑斯蒂回归的压缩函数,它的性质是可以把分隔平面压缩到[0,1]区间一个数(向量),在线性分割平面值为0时候正好对应sigmod值为0.5,大于0对应sigmod值大于0.5、小于0对应sigmod值小于0.5;0.5可以作为分类的阀值;exp的形式最值求解时候比较方便,用相乘形式作为logistic损失函数,使得损失函数是凸函数;不足之处是sigmod函数在y趋于0或1时候有死区,控制不好在bp形式传递loss时候容易造成梯度弥撒。
37、rcnn、fast-rcnn和faster-rcnn三者的区别是什么?
https://blog.csdn.net/xiaoye5606/article/details/71191429
38、缓解过拟合的方法?
① Dropout;② 加L1/L2正则化;③ BatchNormalization;④ 网络bagging
39、CNN是什么?关键是那些?
CNN是什么,网上一大堆解释,其关键层有:① 输入层,对数据去均值,做data augmentation等工作。② 卷积层,局部关联抽取feature。③ 激活层,非线性变化。④ 池化层,下采样。⑤ 全连接层,增加模型非线性。⑥ 高速通道,快速连接。⑦ BN层,缓解梯度弥散。
40、GRU是什么?GRU对LSTM做了哪些改动?
GRU是Gated Recurrent Units,是循环神经网络的一种。GRU只有两个门(update和reset),LSTM有三个门(forget,input,output),GRU直接将hidden state 传给下一个单元,而LSTM用memory cell 把hidden state 包装起来。
41、请简述应当从哪些方向上思考和解决深度学习中出现的的over fitting问题?
(1)选择合适的损失函数(choosing proper loss )神经网络的损失函数是非凸的,有多个局部最低点,目标是找到一个可用的最低点。非凸函数是凹凸不平的,但是不同的损失函数凹凸起伏的程度不同,例如下述的平方损失和交叉熵损失,后者起伏更大,且后者更容易找到一个可用的最低点,从而达到优化的目的。- Square Error(平方损失)- Cross Entropy(交叉熵损失)
(2)选择合适的Mini-batch size:采用合适的Mini-batch进行学习,使用Mini-batch的方法进行学习,一方面可以减少计算量,一方面有助于跳出局部最优点。因此要使用Mini-batch。更进一步,batch的选择非常重要,batch取太大会陷入局部最小值,batch取太小会抖动厉害,因此要选择一个合适的batch size。
(3)选择合适的激活函数(New activation function)使用激活函数把卷积层输出结果做非线性映射,但是要选择合适的激活函数。- Sigmoid函数是一个平滑函数,且具有连续性和可微性,它的最大优点就是非线性。但该函数的两端很缓,会带来猪队友的问题,易发生学不动的情况,产生梯度弥散。- ReLU函数是如今设计神经网络时使用最广泛的激活函数,该函数为非线性映射,且简单,可缓解梯度弥散。
(4)选择合适的自适应学习率(apdative learning rate)- 学习率过大,会抖动厉害,导致没有优化提升- 学习率太小,下降太慢,训练会很慢
(5)使用动量(Momentum)在梯度的基础上使用动量,有助于冲出局部最低点。如果以上五部分都选对了,效果还不好,那就是产生过拟合了,可使如下方法来防止过拟合,分别是·1.早停法(earyly stoping)。早停法将数据分成训练集和验证集,训练集用来计算梯度、更新权重和阈值,验证集用来估计误差,若训练集误差降低但验证集误差升高,则停止训练,同时返回具有最小验证集误差的连接权和阈值。·2.权重衰减(Weight Decay)。到训练的后期,通过衰减因子使权重的梯度下降地越来越缓。·3.Dropout。Dropout是正则化的一种处理,以一定的概率关闭神经元的通路,阻止信息的传递。由于每次关闭的神经元不同,从而得到不同的网路模型,最终对这些模型进行融合。4.调整网络结构(Network Structure)。
42、神经网络中,是否隐藏层如果具有足够数量的单位,它就可以近似任何连续函数?
通用逼近性定理指出,一个具有单个隐藏层和标准激活函数的简单前馈神经网络(即多层感知器),如果隐藏层具有足够数量的单位,它就可以近似任何连续函数。讨论: 尽管通用逼近定理指出,具有足够参数的神经网络可以近似一个真实的分类 / 回归函数,但它并没有说明这些参数是否可以通过随机梯度下降这样的过程来习得。另外,你可能想知道我们是否可以从理论上计算出需要多少神经元才能很好地近似给定的函数。
43、为什么更深的网络更好?
深度更深一般参数更多,参数多,表示模型的搜索空间就越大,必须有足够的数据才能更好地刻画出模型在空间上的分布,其泛化能力就越强。
44、是否数据越多有利于更深的神经网络?
深度学习和大数据密切相关;通常认为,当数据集的规模大到足够克服过拟合时,深度学习只会比其他技术(如浅层神经网络和随机森林)更有效,并更有利于增强深层网络的表达性。神经网络在数据集大小方面上表现始终优于 SVM 和随机森林。随着数据集大小的增加,性能上的差距也随之增加,至少在神经网络的正确率开始饱和之前,这表明神经网络更有效地利用了不断增加的数据集。然而,如果有足够的数据,即使是 SVM 也会有可观的正确率。深度网络比浅层网络的表现更好。虽然增加的数据集大小确实会像我们预计的那样有利于神经网络。但有趣的是,在相对较小的数据集上,神经网络已经比其他技术表现得更好。似乎 2 层网络并没有显著的过拟合,即使我们预计某些特征(如 6-12 特征,信号水平低)导致网络过拟合。同样有趣的是,SVM 看上去似乎有足够的数据来接近于 1.0。
45、不平衡数据是否会摧毁神经网络?
数据不平衡:一个类的样本多余另外的样本,那么神经网络可能就无法学会如何区分这些类。在这个实验中,我们探讨这一情况是否存在。同时我们还探讨了过采样是否可以减轻问题带来的影响,这是一种流行的补救措施,该措施使用少数类中抽样替换的样本。研究结果表明,类的不平衡无疑地降低了分类的正确率。重采样法可以显著提高性能。 重采样法对提高分类正确率有显著的影响,这可能有点让人惊讶了,因为它并没有将分类器展示少数类中的新训练的样本。但该图显示,重采样法足以“助推(nudge)”或将决策边界推向正确的方向。在重采样法不是有效的情况下,那么可能需要复合方式来合成新的训练样本,以提高正确率。网络训练数据集时网络的泛化总是趋向于样本多的结构,和我们认识人一样见过一次的人和没见过的人一起出现时我们总是对见过的人有印象。
46、如何判断一个神经网络是记忆还是泛化?
具有许多参数的神经网络具有记忆大量训练样本的能力。那么,神经网络是仅仅记忆训练样本(然后简单地根据最相似的训练点对测试点进行分类),还是它们实际上是在提取模式并进行归纳?这有什么不同吗?人们认为存在不同之处的一个原因是,神经网络学习随机分配标签不同于它学习重复标签的速度。这是Arpit 等人在论文中使用的策略之一。(得到是一个可以预测新事物的模型,效果好不就行了,判断记忆和泛化的目的是什么呢)
47、无监督降维提供的是帮助还是摧毁?
有益
48、是否可以将任何非线性作为激活函数?
在通过具有超出典型 ReLU() 和 tanh() 的特殊激活函数的神经网络获得小幅提高的研究,已有多篇论文报道。我们并非试图开发专门的激活函数,而是简单地询问它是否可能在神经网络中使用任何旧的非线性函数?除去 sign(x) 外,所有的非线性激活函数对分类任务都是非常有效的。结果有些令人吃惊,因为所有函数都同样有效。事实上,像 x2 这样的对称激活函数表现得和ReLUs 一样好!从这个实验中,我们应该谨慎地推断出太多的原因。
49、批大小如何影响测试正确率?
运行时间确实随着批大小的增加而下降。然而,这导致了测试正确率的妥协,因为测试正确率随着批大小的增加而单调递减。这很有趣,但这与普遍的观点不一致,严格来说,即中等规模的批大小更适用于训练。这可能是由于我们没有调整不同批大小的学习率。因为更大的批大小运行速度更快。总体而言,对批大小的最佳折衷似乎是为 64 的批大小。
50、损失函数重要吗?
损失函数(loss function)是用来估量你模型的预测值f(x)与真实值Y的不一致程度,除去阴性对照外,所有的损失都有类似的表现。损失函数是标签与逻辑之间的区别,提升到四次幂,其性能要比其他差一些。 损失函数的选择对最终结果没有实质影响,这也许不足为奇,因为这些损失函数非常相似。
转载于:https://www.cnblogs.com/think90/p/11494305.html
最后
以上就是炙热皮带最近收集整理的关于AI面试必备/深度学习100问1-50题答案解析AI面试必备/深度学习100问1-50题答案解析的全部内容,更多相关AI面试必备/深度学习100问1-50题答案解析AI面试必备/深度学习100问1-50题答案解析内容请搜索靠谱客的其他文章。
发表评论 取消回复