Toggle navigation
首页
博客
下载
AI
科技
互联网
会员
中心
会员中心
发布资讯
发布博文
发布资源
首页
文章中心
机器学习
RNN与LSTM
254 阅读
0 评论
168 点赞
我是
靠谱客
的博主
精明豆芽
,这篇文章主要介绍
RNN与LSTM
,现在分享给大家,希望可以做个参考。
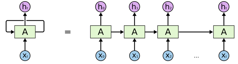
RNN 循环神经网络
LSTM 神经网络--RNN的升级版
最后
以上就是
精明豆芽
最近收集整理的关于
RNN与LSTM
的全部内容,更多相关
RNN与LSTM
内容请搜索靠谱客的其他文章。
本图文内容来源于网友提供,作为学习参考使用,或来自网络收集整理,版权属于原作者所有。
点赞(
168
)
本文分类:
机器学习
浏览次数:
254
次浏览
发布日期:2023-09-10 10:05:53
本文链接:
https://www.kaopuke.com/article/k-p-k_14_uzo_6_fy_14__7_kz.html
相关文章
循环神经网络RNN+LSTM+GRU-王而川-专题视频课程
循环神经网络
百面机器学习(10)——循环神经网络
LSTM及RNN简单总结RNN及LSTM
RNN与LSTM
LSTM相比一般RNN的优势
LSTM相较于RNN的优势有什么?
LSTM:对比标准RNN
评论列表
共有
0
条评论
发表评论
取消回复
登录
注册新账号
立即
投稿
返回
顶部
发表评论 取消回复