在RNN(1)中,我们将带有Reccurent Connection的node依照时间维度展开成了如下的形式:

在每个时刻t=0,1,2,3,...,神经网络的输出都会产生error:E0,E1,E2,E3,....。同Feedforward Neural Network一样,RNN也使用Backpropagation来更新参数V,W,U,只不过对于RNN,该算法称为Backpropagation Through Time(BPTT)。其算法思路为:根据各个时刻的输出(如果有),计算各个时刻的Loss Function(Error),而后对各个时刻的loss求和。如果使用mini-batch,则再对batch内的examples求和,计算Cost Function。而后分别对V,W,U求梯度,最后最梯度下降。
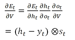
在本例中,我们设定从某个时刻的状态st,到最终的输出,一路经过:与权重V相乘得到输出值ot;转换为Softmax输出概率;Cost Function使用Cross-entropy,得到t时刻的误差值Et。基于此设定,我们来看该误差在V上的梯度:

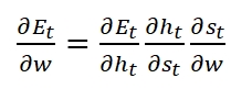
可以看出,t时刻所产生误差,在V上的梯度,只与当前时刻的状态与输出有关。下面再来看Et在W上的梯度:

在上式中,st的计算公式为:

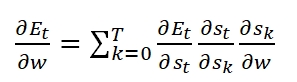
其中f(z)是activation function,而st-1也是w的函数,所以在求梯度时不能简单视其为常量。经过推导后得出:

上式是误差在各个时间分量上的梯度之和,可以看出,某个时间t上的误差Et,会延时间方向反向传播(Backpropagation Through Time),如下图:

而上式中的,dSt/dSk本身就是链式法则,我们展开后可以得到类似Feedforward NN里Gradient Vanishing Problemactivation function偏导数连程形式。据此可以知晓,虽然Et在W上的梯度是求和的形式,看似考虑了该误差与所有时间t之间的关系,实际上该误差随着t维度上深度的增加逐渐衰减。而在参数U上面,同样也存在了此Gradient Vanishing的问题。
从而,我们的RNN模型无法获取到Long term dependencies. 例如:The country I traveled with my wife Mia in 2013 summer holiday is Japan ,这里需要填写的词是一个国家的名字。GRU和LSTM会解决此问题。
转载于:https://www.cnblogs.com/rhyswang/p/9111333.html
最后
以上就是单纯豌豆最近收集整理的关于Recurrent Neural Network(2):BPTT and Long-term Dependencies的全部内容,更多相关Recurrent内容请搜索靠谱客的其他文章。
发表评论 取消回复