

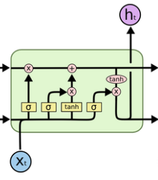
ft —遗忘门层,it — gt — 输入门层,ct ----细胞状态更新,ot 输出门*, ht 当前时刻的隐层输出
根据BPTT推导得:

从上述公式可知三个门的激活函数是sigmoid, 也就是输出要么接近于0 , 要么接近于1。这就使得 
当门为1时, 梯度能够很好的在LSTM中传递,很大程度上减轻了梯度消失发生的概率, 当门为0时,说明上一时刻的信息对当前时刻没有影响, 我们也就没有必要传递梯度回去来更新参数了。所以, 这就是为什么通过门机制就能够缓解梯度的原因
最后
以上就是刻苦小刺猬最近收集整理的关于为什么LSTM能够缓解梯度消失梯度爆炸的全部内容,更多相关为什么LSTM能够缓解梯度消失梯度爆炸内容请搜索靠谱客的其他文章。
本图文内容来源于网友提供,作为学习参考使用,或来自网络收集整理,版权属于原作者所有。
发表评论 取消回复