我们提出了一种新颖有效的方法,用于在脚本中计算椭圆曲线上的点加法和标量乘法。对于点加法,我们将超过 1MB 的脚本大小减少到约 400 字节。

点加法
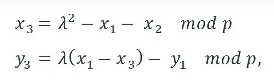
对于每个 i,每个点 Pi 由两个坐标 (xi, yi) 表示。要计算 P3 = P1 + P2,我们使用以下公式:

如果 P1 != P2,

否则

原生的实现需要运用扩展欧几里得算法计算模乘逆。但是,这会导致 Script 过大,因为事先不知道算法中确切的循环次数,并且必须使用较大的保守上限。
高效解决方案
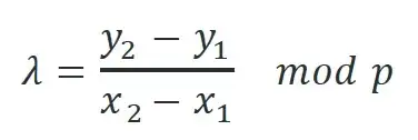
我们没有直接计算加点,而是通过在解锁脚本中传递预期点 P3 来解决这个问题。我们只在 Script 中验证 P3 = P1 + P2。为了避免验证中出现模乘逆,我们将公式转化为如下等价形式。


与 P3 一样,λ 也是在链下预先计算并传入解锁脚本,如下所示。这可以是的脚本大小非常紧凑,只有 ~400B。
static function isSumHelper(Point p1, Point p2, int lambda, Point p) : bool {
// check lambda is indeed gradient
bool lambdaOK = (p1 == p2) ?
(2 * lambda * p1.y - 3 * p1.x * p1.x) % P == 0 :
(lambda * (p2.x - p1.x) - (p2.y - p1.y)) % P == 0;
// also check p = p1 + p2
return lambdaOK && (lambda * lambda - p1.x - p2.x - p.x) % P == 0 &&
(lambda * (p1.x - p.x) - p1.y - p.y) % P == 0;
}
// return true if lambda is the gradient of the line between p1 and p2
// and p = p1 + p2
static function isSum(Point p1, Point p2, int lambda, Point p) : bool {
// special handling of point ZERO
bool ret = p1 == ZERO ? p2 == p : (p2 == ZERO ? p1 == p : (p1.x == p2.x && (p1.y + p2.y) % P == 0) ? p == ZERO : true);
return ret && isSumHelper(p1, p2, lambda, p);
}
点乘法
x * P = (x0 + x1 * 2 + x2 * 4 + x3 * 8 + … + x255 * 2²⁵⁵) * P
= x0 * P + x1 * (2P) + x2 * (4P) + x3 * (8P) + … + x255 * (2²⁵⁵P)
x0, x1, x2, …, x255 是标量 x 的位表示,从最低有效位到最高有效位。我们在链下预先计算 2P、4P、8P、…、2²⁵⁵P 并将它们传递到解锁脚本中,这些在锁定脚本中进行了验证,如下面的第 21-24 行所示。
// return true iff p * x == r
static function isMul(Point p, int x, Point r, Point[EC.N] pMultiples,
Point[EC.N] qs, int[EC.N1] lambdas1, int[EC.N1] lambdas2) : bool {
// validate pMultiples = [p, 2p, 4p, 8p, ...]
loop (N) : i {
require(i == 0 ? pMultiples[i] == p : isSum(pMultiples[i - 1], pMultiples[i - 1], lambdas1[i - 1], pMultiples[i]));
}
// // x * p = x0 * p + x1 *(2p) + x2 * (4p) + x3 * (8p) + ...
// // xi is the i-th bit of x
Point P0 = ZERO;
loop (N) : i {
Point P = x % 2 ? pMultiples[i] : ZERO;
// right shift by 1
x /= 2;
if (i == 0) {
P0 = P;
} else if (i == 1) {
// first
require(isSum(P0, P, lambdas2[i - 1], qs[i - 1]));
} else {
// rest
require(isSum(qs[i - 1], P, lambdas2[i - 1], i < N1 ? qs[i] : r));
}
}
return true;
}
致谢
本文基于 Craig Wright 和 Owen Vaughan 的工作,并得到了 nChain 的 Enrique Larraia 和 Owen Vaughan 的宝贵反馈。
最后
以上就是缓慢便当最近收集整理的关于sCrypt 合约中的椭圆曲线算法:第一部分的全部内容,更多相关sCrypt内容请搜索靠谱客的其他文章。
发表评论 取消回复