题目
LeetCode 142. 环形链表 II
给定一个链表,返回链表开始入环的第一个节点。 如果链表无环,则返回 null。
为了表示给定链表中的环,我们使用整数 pos 来表示链表尾连接到链表中的位置(索引从 0 开始)。 如果 pos 是 -1,则在该链表中没有环。注意,pos 仅仅是用于标识环的情况,并不会作为参数传递到函数中。
说明:不允许修改给定的链表。
进阶:
你是否可以使用 O(1) 空间解决此题?
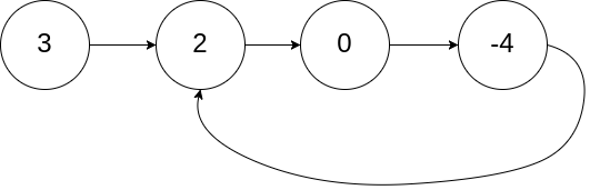
示例 1:

输入:head = [3,2,0,-4], pos = 1
输出:返回索引为 1 的链表节点
解释:链表中有一个环,其尾部连接到第二个节点。
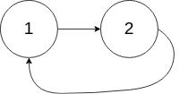
示例 2:

输入:head = [1,2], pos = 0
输出:返回索引为 0 的链表节点
解释:链表中有一个环,其尾部连接到第一个节点。
示例 3:

输入:head = [1], pos = -1
输出:返回 null
解释:链表中没有环。
提示:
链表中节点的数目范围在范围 [0, 104] 内
-105 <= Node.val <= 105
pos 的值为 -1 或者链表中的一个有效索引
解题思路与算法

代码
public class Solution {
public ListNode detectCycle(ListNode head) {
ListNode pos = head;
Set<ListNode> visited = new HashSet<ListNode>();
while (pos != null) {
if (visited.contains(pos)) {
return pos;
} else {
visited.add(pos);
}
pos = pos.next;
}
return null;
}
}

代码
public class Solution {
public ListNode detectCycle(ListNode head) {
if (head == null) {
return null;
}
ListNode slow = head, fast = head;
while (fast.next!=null && fast.next.next != null) {
slow = slow.next;
fast = fast.next.next;
if (fast == slow) {
ListNode ptr = head;
while (ptr != slow) {
ptr = ptr.next;
slow = slow.next;
}
return ptr;
}
}
return null;
}
}
最后
以上就是幸福中心最近收集整理的关于双指针法 环形链表 II的全部内容,更多相关双指针法内容请搜索靠谱客的其他文章。
本图文内容来源于网友提供,作为学习参考使用,或来自网络收集整理,版权属于原作者所有。
发表评论 取消回复