在之前的内容中,我们对机器人的运动轨迹进行了规划,但是,这种规划方法的运动路径是根据简单的轨迹人为组合起来的,具有较大的任意性。在实际的复杂工作环境中,采用人工规划路径的方法,难以保证规划的效率和准确率。
因此,本篇介绍一下机器人避障路径规划的相关知识。
本篇目录
- 一、路径规划简介
- 二、改进RRT算法
- 1. 算法简介
- 2. 改进点
- 3. 仿真结果
- 三、避障路径规划
- 1. 障碍物包络
- 2. 递推确定碰撞临界角
- 3. 路径规划
- 4. Matlab仿真
- 四、小结
一、路径规划简介
自主避障路径规划:要求利用合适的规划算法,自动生成一条从起始点到目标点的路径,并满足机器人末端和连杆的避障要求。
六轴机器人与移动机器人路径规划的不同之处在于,前者不但要保证机器人末端避开障碍物,还要考虑连杆的避障问题。
进行六轴机器人路径规划的常用方法有两种:
- 直接对末端轨迹进行规划
这种方法的步骤是:
(1)采取合适的算法,对机械臂末端进行规划,形成一条满足避障条件的连接起始点和终止点的路径;
(2)根据精度要求,选择路径上的一定数量的点,进行逆运动学计算,求出这些末端轨迹点对应的关节角序列,根据之前所述,对于六轴机器人而言,一般一个末端轨迹点对应八组关节角;
(3)接着从起始点开始,依次对路径上的点进行如下操作:分别判断每个点对应的八组关节角是否满足机器人连杆的避障条件,即机器人在此种关节角姿态下,整个本体不能和障碍物碰撞,若八组关节角都不符合条件,则跳到第一步,重新规划;
(4)完成所有路径点的判断后,根据一定的准则(如关节角变化之和最小等),从起始点开始,每个路径点选取一组合适的关节角,最终形成从起点到终点的关节角序列,完成规划。 - 以关节和连杆为对象逐步推导
这种方法的步骤是:
从第一个关节开始,首先判断关节1在何种角度范围内,连杆1会与障碍物碰撞,求出碰撞临界角;
接着在关节1碰撞角之外(即保证连杆1不与障碍物发生碰撞的角度范围),判断关节2的碰撞临界角……依次类推,直到最后一个关节和连杆。
本篇使用这种方法。
二、改进RRT算法
1. 算法简介
本篇的规划使用改进RRT算法,首先对算法做一个简单的介绍。
快速扩展随机树算法,简称RRT算法。其核心思想是以起始点为树的根节点,接着在空间中利用随机采样的方式生成新节点,如果新的节点与障碍物不发生碰撞,则将该节点加入到随机树上,作为树的子节点[。通过这种方式,随机树在空间中进行扩展,直至找到终止点。最后从终止点反向溯源到起始点,就可以找到规划的路径。这种方法以随机采样的方式探索整个空间,具有以最快的速度遍历整个空间的优点。
RRT算法分为两个步骤:
第一步:通过随机在空间中生成节点的方式,使随机树生长,直到终止点也包含在随机树中。
第二步:从终止点反向溯源,得到连接起始点和目标点的最短路径。
2. 改进点
在标准RRT算法中,确定新节点的前提是在空间中生成一个随机节点,使得随机树的生长没有方向性,算法收敛慢。
针对这个问题,结合人工势场法中引力场和斥力场的概念,将目标引力函数加入到原算法中,对原算法的节点生成方式进行改进,从而使随机树在引力函数的作用下,朝着终止点的方向生长。改进后的RRT算法修正了随机树收敛速度慢的缺点。
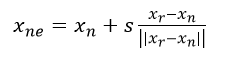
生成新节点时,原算法采用:

式中,xr代表产生新节点时的随机生成节点,xn代表距离随机点最近的子节点,s代表步长,xne代表最终生成的新节点。
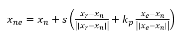
而改进后的算法采用:

式中xe代表目标节点,kp代表引力分量,值越大,引力分量的调控力度越强,但过大会使得随机树的生长失真,可自行调整,取最佳结果。
3. 仿真结果
RRT算法的仿真结果如下:

矩形框代表障碍物,红色线条为最终生成的结果。
代码如下所示:
RRT算法避障路径规划代码
三、避障路径规划
1. 障碍物包络
在进行映射前,首先需要得到障碍物的具体形状。实际环境中,障碍物通常没有规则的形状,难以精确描述。因此一般采用标准的形状包络障碍物,这里采用球体包络障碍物,同时用圆柱体包络连杆。这样问题就简化为圆柱体与球体的碰撞问题。
2. 递推确定碰撞临界角
对于一般的六自由度机器人,其前三个关节决定机器人末端的位置,后三个关节决定末端的姿态。因此考虑杆件与障碍物碰撞的问题时,只需要考虑前三个关节。本节为简化起见,只研究机器人在竖直平面内的避障问题。将模型向XOZ方向投影,可以得到连杆与障碍物的几何关系,
(1)关节2

连杆1与障碍物发生碰撞时θ_2的临界角度为:

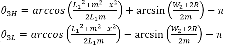
(2)关节3
在关节2的碰撞范围外,关节3的临界碰撞角可根据下图推导:

设障碍点与关节3中心的距离为m,在m取值一定范围内,对于每一个θ_2,θ_3均有一个上下碰撞临界角:

3. 路径规划
完成碰撞角的确定后,就可以在关节空间,使用算法进行规划。
这里使用改进前后的RRT算法分别进行规划,结果如图:

中间的条状即为碰撞角范围,即障碍物,红色线条为最终生成的轨迹。
4. Matlab仿真
规划完成后,可以使用Matlab的机器人工具箱进行验证,形成如图所示的仿真结果

图中,右上角的小球为障碍物,可以看出机械臂末端和连杆均避开了障碍物。
四、小结
本篇主要介绍了自主避障路径规划的主要方法,采用改进RRT算法以及递推法进行了简单的规划示例。
至此,这个系列的所有内容就都写完了。鉴于当时时间有限,很多地方的介绍比较简略,如果大家还有什么想要了解的内容,可以评论,之后有时间我会接着补充的。
最后,非常感谢大家的阅读,希望大家都能常怀热情,为自己所向往的事情奋斗着。
最后
以上就是体贴导师最近收集整理的关于六自由度机器人(机械臂)运动学建模及运动规划系列(五)——避障路径规划的全部内容,更多相关六自由度机器人(机械臂)运动学建模及运动规划系列(五)——避障路径规划内容请搜索靠谱客的其他文章。
发表评论 取消回复