作为一个菜鸟,当我看到网络上有关chirp的介绍,复杂地让意志不坚定者想要放弃。为什么要花费一番力气学习chirp,对于个人而言,当然能用到,chirp在雷达上还是有一席之地的。就连我手上的那个宽带接收机甚至也有chirp,我当时就不理解,或者说到现在也不是太会。这里作为一个开篇,也是一种缘分,我本想学学信号处理工具箱中的一些函数,今天让我遇到了chirp。
那就开始吧。对于推导部分,打公式太费劲,我就手写吧。
事实上,维基百科上写的是很好的,也很基础,我是借鉴上面的一些东西,唯一的麻烦就是英文,虽然也能看懂,但是不得不说看起来不如中文方便,理解起来还有一个大脑翻译的过程。
维基百科中的chirp
A chirp is a signal in which the frequency increases (up-chirp) or decreases (down-chirp) with time. In some sources, the term chirp is used interchangeably with sweep signal. It is commonly used in sonar and radar, but has other applications, such as in spread-spectrum communications.
chirp是频率随时间增加或减小的一种信号。在某些领域中,chirp这个词可以与扫描信号互换使用。通常用于雷达,声呐中,但是也有别的用途,例如扩频通信。
如下:
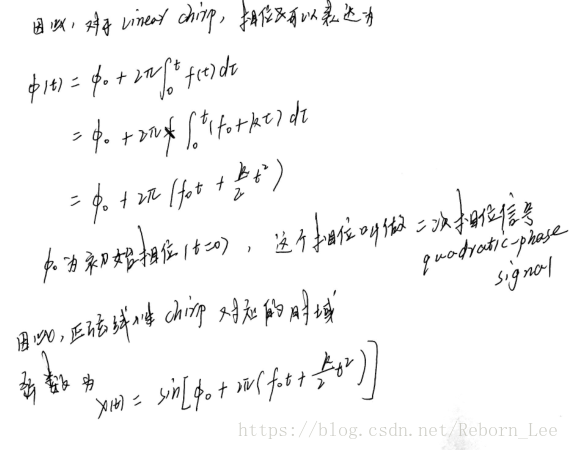
首先,如果一个波形被定义为如下:

Linear chirp


下面给出一个线性chirp波形,也就是频率随时间线性增加的正弦波;
% A linear chirp waveform;
% a sinusoidal wave that increases in frequency linearly over time
clc
clear
close all
t = 0:.001:5;
x = sin( 2 .* pi .* ( 0.1 + t ) .* t );
plot(t,x);
title('a sinusoidal linear chirp')
xlabel('t/sec')
ylabel('amplititude')

指数(几何)chirp

In an exponential chirp, the frequency of the signal varies exponentially as a function of time:
也就是说,在指数chirp中,信号的频率随时间呈现指数变化:


% An exponential chirp waveform;
% a sinusoidal wave that increases in frequency exponentially over time
clc
clear
close all
t = 0:.001:5;
x = sin( 2 * pi *0.1 * ( 3 .^ t) .* t );
plot(t,x);
title('a exponential chirp')
xlabel('t/sec')
ylabel('amplititude')

没有什么目的,最后只是把上面两幅图画到一起作为对比:
% A linear chirp waveform;
% a sinusoidal wave that increases in frequency linearly over time
clc
clear
close all
t = 0:.001:5;
x1 = sin( 2 .* pi .* ( 0.1 + t ) .* t );
subplot(2,1,1)
plot(t,x1);
title('a sinusoidal linear chirp')
xlabel('t/sec')
ylabel('amplititude')
% An exponential chirp waveform;
% a sinusoidal wave that increases in frequency exponentially over time
t = 0:.001:5;
x2 = sin( 2 * pi *0.1 * ( 3 .^ t) .* t );
subplot(2,1,2)
plot(t,x2);
title('a exponential chirp')
xlabel('t/sec')
ylabel('amplititude')

最后
以上就是明亮爆米花最近收集整理的关于【 MATLAB 】适合初学者的 chirp 理解与推导的全部内容,更多相关【内容请搜索靠谱客的其他文章。
发表评论 取消回复