原文地址:Simulink产生三角波的三种方法
作者:xianfa110
在这里我采用两种方法产生三角波,并做成了Simulink模块形式,以后可直接调用。
模块:
![[转载]Simulink产生三角波的三种方法 [转载]Simulink产生三角波的三种方法](https://file2.kaopuke.com:8081/files_image/2023060310/202306031030045914977.jpg)
参数设置:
![[转载]Simulink产生三角波的三种方法 [转载]Simulink产生三角波的三种方法](https://file2.kaopuke.com:8081/files_image/2023060310/202306031030042383027.jpg)
第一种方法,基于方波产生三角波。
很简单,框图如下,由积分器产生带斜率的直线,由方波的周期控制三角波的周期。
![[转载]Simulink产生三角波的三种方法 [转载]Simulink产生三角波的三种方法](https://file2.kaopuke.com:8081/files_image/2023060310/202306031030043668105.jpg)
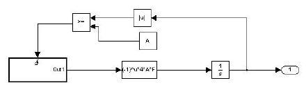
第二种方法,由触发方式产生三角波。
这种方法就是将积分器的输出将预定幅值相比,达到了就反向,这种方法原理上也很简单。
![[转载]Simulink产生三角波的三种方法 [转载]Simulink产生三角波的三种方法](https://file2.kaopuke.com:8081/files_image/2023060310/202306031030045927602.jpg)
这两种方法产生的三角波如下。
![[转载]Simulink产生三角波的三种方法 [转载]Simulink产生三角波的三种方法](https://file2.kaopuke.com:8081/files_image/2023060310/202306031030045100593.jpg)
很简单吧:),转载请注明:Comsim的Matlab仿真世界。
第三种方法:老杨给出的,对余弦信号取Sign之后积分。这算是目前最简的方法了。
,由于信号发生器里没有余弦信号,所以对正弦信号做了一次微分。
![[转载]Simulink产生三角波的三种方法 [转载]Simulink产生三角波的三种方法](https://file2.kaopuke.com:8081/files_image/2023060310/202306031030056269327.jpg)
![[转载]Simulink产生三角波的三种方法 [转载]Simulink产生三角波的三种方法](https://file2.kaopuke.com:8081/files_image/2023060310/202306031030058717341.jpg)
最后
以上就是怕孤独荷花最近收集整理的关于MATLAB产生三角波的全部内容,更多相关MATLAB产生三角波内容请搜索靠谱客的其他文章。
本图文内容来源于网友提供,作为学习参考使用,或来自网络收集整理,版权属于原作者所有。
发表评论 取消回复