1、定义:在损失函数中,weight decay是放在正则项前面的一个系数,在模型训练过程中设置权重衰减为了应对模型过拟合问题(使得在梯度下降过程中权重乘以一个系数实现权重的缩小)

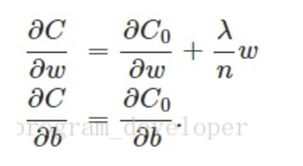
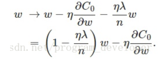
对上述函数进行推导后,得


权重衰减率一般设置为1*e-5
2、pytorch实现
参考:Pytorch优化器的权重衰减(weight_decay)_笨笨的蛋的博客-CSDN博客_pytorch 权重衰减
最后
以上就是如意小蝴蝶最近收集整理的关于weight decay的全部内容,更多相关weight内容请搜索靠谱客的其他文章。
本图文内容来源于网友提供,作为学习参考使用,或来自网络收集整理,版权属于原作者所有。
发表评论 取消回复