
摘要
目标检测通常假设训练和测试数据来自同一分布,不同分布会出现结果变差。本文致力于改善目标检测的cross-dmain robustness,通过两个level的domain shift:(1)the image-level shift,例如图片风格、光照等;(2)the instance-level shift,例如:目标外观、大小等。
具体是基于Faster RCNN,建立两个domain adaptation componets,他们基于H-散度,通过在对抗训练学习一个domain classifier。这两个domain classifier接着被正则化,以学习一个domain-invariant RPN。
在Cityscapes,KITTI,SIM10K上测试。
Introduction
1. 目标检测定义和发展。
2. 问题:当前目标检测在benchmark datasets上表现不错,但在真实世界中依旧存在很多挑战:多变的view-points,object appearance,backgrounds,illumination,image quality,这些都会导致训练和测试数据之间存在大量的domain shift。以自动驾驶为例:相机拍摄图片和训练数据集可能存在很大差异,比如不同城市,或是异常天气,大多数训练数据集是在干燥和良好视线的情况下收集。本文认为这是一个domain shift现象。
3. 当前解决方法:建立更广泛的数据集可以解决,但是标注费时费力。因此需要一种能够适应新域的目标检测算法。
4. 我们的解决方法:这是一个cross-domain 目标检测问题,并且是无监督域自适应问题。本文基于Faster R-CNN建立一个端到端深度学习网络,解决image-level和instance level两个层级的domain shift。具体,用adversarial training对两个domain classifier训练,以训练鲁棒的特征;进一步,对两个domain shift使用一个连续正则,学习一个domain invariant RPN。
5. 本文贡献:(1)理论分析;(2)在image和instance level的domain adaptation;(3)用一个consistency regularization建立domain-invariant RPN;(4)端到端
Related Work
Domain Adaptation: 在图像分类中广泛使用,(1)domain transfer multiple kernel learning [10, 11],(2)asymmetric metric learning [33],(3)subspace interpolation [23],(4)geodesic flow kernel [22],(5)sub-space alignment [14],(6)covariance matrix alignment [52, 57]
Domain Adaptation Beyond Classification: [47] 用R-CNN作为feature extractor,特征在子空间中对齐。
Distribution Alignment with H-divergence
H-divergence [1] 用于量化两个不同分布集合之间的散度。定义
为域分类器,假设H是可能的域分类器集合。H-divergence定义如下:
![]()
为了对齐两个域,我们需求使得dH(S, T)最小的网络f,可得:
![]()
error越高,两个领域越难分,即他们相互越靠近。对应于训练一个域分类器,在使得域分类器最小化损失(使他们尽量分离)的同时,通过gradient reverse layer (GRL)在feature extractor中最大化,使他们尽量靠近。
Domain Adaptation for Object Detection

covariate shift assumption:训练集和测试集分布不同,条件概率(predictor)是相同的。
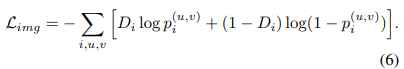
Image-Level Adaptation,在Base CNN之后,第i张图片的feature map上的(u, v)位置的分类结果是pi(u, v)

Instance-Level Adaptation:在ROI Pooling之后,第i张图片的第j个region proposal的输出表示为pi,j。

Consistency Regularization:学习bbox predictor的cross-domain鲁棒性(例如:Faster R-CNN中的RPN),因此我们提出一个consistency regularizer。使用image-level domain classifier输出的均值作为image-level probability,可得:

Experiments



最后
以上就是清新毛衣最近收集整理的关于【DA 02】Domain Adaptive Faster R-CNN for Object Detection in the Wild (CVPR 2018)摘要Experiments的全部内容,更多相关【DA内容请搜索靠谱客的其他文章。
发表评论 取消回复