MOOS-ivp 实验六 海洋声学环境
第六个实验主要内容是对于海洋声学环境的一个详细讲解,其中涉及到了一些公式和图片,我尽量在自己理解的基础上写的简单易懂一些。
文章目录
- MOOS-ivp 实验六 海洋声学环境
- 前言
- 一、海洋声学环境
- 1.海洋声波导
- 2.光线追踪
- 3.声压
- 4.线性声速剖面
- 总结
前言
本章最主要的内容:
(1)海洋声波波导 Ocean Acoustic Waveguide
(2)光线追踪 Ray Tracing
(3)声压 Acoustic Pressure
(4)线性声速剖面 Linear Sound Speed Profile
一、海洋声学环境
1.海洋声波导
海洋是一个声波波导,声音在传播过程中,上面受到海面限制,下面受到海底限制。类似于光的折射率,声波波导在声速传播过程中有着相同的作用。在海洋里,声速和温度、盐度、密度、静压有关。海洋里,声速是温度、盐度和压力的函数,而压力又是深度的函数。总的来说,在海洋深处,盐度和温度都近似保持不变。在海水表面,由于太阳照射蒸发水分以及淡水河流的涌入,海水表面的温度和盐度是一个不断变化的状态。但是海水的深度仍旧是最主要的因素,所以对于绝大部分的应用场合来说,可以假设水平面上声速与周围环境无关。
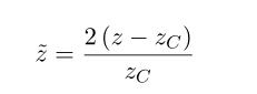
munk剖面是一种理想化的声速剖面,这个剖面中声速的主要变化因素与深度相关,我们可以通过munk剖面了解到许多声速的典型特征,下面给出munk剖面的公式:

其中常数=
比例深度:

在上面的式子中Zc我们通常称作是最小声速时的深度,又被叫做 SOF AR Channel depth。其大概范围一般在1000-1500米深。在图(1)中的Zc大概是1300m/s。
2.光线追踪
类似于光学,声音在根据深度变化的介质中传播时,也有斯涅耳定律:

其中的
θ
(
z
)
theta(z)
θ(z)是在
z
z
z深度下的光线和水平线的夹角,称作grazing angle。与深度成线性的声速,在温度和盐度不变的情况下,就会产生如下类似于圆形截面的路径。

对于一般的声速变化,射线追踪是通过对常微分方程的解耦来实现的。
在圆柱坐标
(
r
,
z
)
(r,z)
(r,z)中,射线方程如下:
d
r
d
s
=
c
ξ
(
s
)
,
d
ξ
d
s
=
−
1
c
2
d
c
d
r
d
z
d
s
=
c
ξ
(
s
)
,
d
ζ
d
s
=
−
1
c
2
d
c
d
z
frac{mathrm{d}r}{mathrm{d}s}=c xi (s),quad frac{mathrm{d}xi}{mathrm{d}s}=-frac{1}{c^2}frac{mathrm{d}c}{mathrm{d}r} \ frac{mathrm{d}z}{mathrm{d}s}=c xi (s),quad frac{mathrm{d}zeta}{mathrm{d}s}=-frac{1}{c^2}frac{mathrm{d}c}{mathrm{d}z}
dsdr=cξ(s),dsdξ=−c21drdcdsdz=cξ (s),dsdζ=−c21dzdc
其中
[
r
(
s
)
,
z
(
s
)
]
[r(s),z(s)]
[r(s),z(s)]是距离-深度平面中光线的轨迹,
s
s
s是弧长,具体显示在图2中。

在这里,我们假设声速分布与范围没有关系
d
c
/
d
r
=
0
dc/dr = 0
dc/dr=0。为了以一阶形式书写方程,引入辅助变量
ξ
(
s
)
xi(s)
ξ(s)和
ζ
(
s
)
zeta(s)
ζ(s)。回想一下,曲线的切向量
[
r
(
s
)
,
z
(
s
)
]
[r(s),z(s)]
[r(s),z(s)]由
[
d
r
/
d
s
,
d
r
/
d
z
]
[dr/ds,dr/dz]
[dr/ds,dr/dz]给出。因此从上述的方程来看光线的切向量是
c
[
ξ
(
s
)
c[xi(s)
c[ξ(s),
ζ
(
s
)
]
zeta(s)]
ζ(s)]。
这组常微分方程的求解可以用欧拉方式或者龙格库塔法来进行求解。为了完善射线方程,还需要初始条件,如图2所示,初始状态就是光线从起始位置
(
r
0
,
z
0
)
(r_0,z_0)
(r0,z0)以指定的起始角
θ
0
theta_0
θ0发射,所以有方程:

初始坐标是一个给定的量,但是起始角是一个未知的变量。
3.声压
沿着每条射线的压力场振幅是:

其中
J
(
s
)
J(s)
J(s)是射线管相对横截面积的一个度量,它随着光线的传播而发生变化。
θ
0
theta_0
θ0是射线在起始点的发射角,由图3的几何可以看出,横截面积就是斜边

这个额外的
r
r
r说明了一个假设,就是我们假设圆柱是一个对称形状的。所以图3只是显示了一个环绕
z
z
z轴旋转的射线管的切面。
横截面积可以使用卡尺放在射线轨迹上来进行近似——即使用有限差分来近似,下面就是近似值:

其中
r
i
r_i
ri和
r
i
+
1
r_{i+1}
ri+1是行程射线管的包围射线,而
θ
theta
θ是弧长
s
s
s处的局部掠射角。
如同在光学之中,光线照射到海底或者表面就会行程反射。如果反射遵守反射角等于入射角的规则。如果一条射线从海底反射回来有6dB的损失,由此估计一下压力的损失。

声压通常使用传输损耗来进行表示,传输损耗是沿着射线路径振幅相对变化的对数度量。参考值是1m处的压力值。

使用归一化方程式时,
p
(
1
)
=
1
/
4
π
p(1)=1/4pi
p(1)=1/4π。参考见式子(3)
4.线性声速剖面
在深度和声速线性分布的海洋中

声速的路径是一个圆弧,圆圈是以声速消失的线为中心。

并且具有任意半径

这具体取决于
a
a
a的大小,如图4所示

a
a
a的值主要由射线的初始条件所决定。因此,对于以深度
z
0
z_0
z0和掠射角
θ
0
theta_0
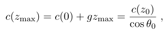
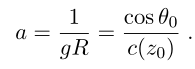
θ0的射线来说,根据斯涅耳定律,最深点
z
m
a
x
z_{max}
zmax转折点处的声速为:

深度:

最后一项是圆弧中心的深度,因此第一项是半径:

因此可变参数
a
a
a是斯涅耳定律中的一个常数

现在可以很容易的计算射线的路径和范围,所以弧长为:

圆弧的简单投影:

总结
因为本章实验的仿真过程需要涉及到MIT的服务器的使用,所以实验无法进行。所以主要内容是关于海洋声学知识内容的理解。
最后
以上就是俏皮小懒虫最近收集整理的关于MOOS-ivp 实验六 海洋声学环境MOOS-ivp 实验六 海洋声学环境前言一、海洋声学环境总结的全部内容,更多相关MOOS-ivp内容请搜索靠谱客的其他文章。
发表评论 取消回复