写在前面的话:
RPN在自身训练的同时,还会提供RoIs(region of interests)给Fast RCNN(RoIHead)作为训练样本。
易混1:

易混2:

易混3:

资料1:
1 概述
在目标检测领域, Faster R-CNN表现出了极强的生命力, 虽然是2015年的论文, 但它至今仍是许多目标检测算法的基础,这在日新月异的深度学习领域十分难得。Faster R-CNN还被应用到更多的领域中, 比如人体关键点检测、目标追踪、 实例分割还有图像描述等。
现在很多优秀的Faster R-CNN博客大都是针对论文讲解,本文将尝试从编程角度讲解Faster R-CNN的实现。由于Faster R-CNN流程复杂,符号较多,容易混淆,本文以VGG16为例,所有插图、数值皆是基于VGG16+VOC2007 。
1.1 目标
从编程实现角度角度来讲, 以Faster R-CNN为代表的Object Detection任务,可以描述成:
给定一张图片, 找出图中的有哪些对象,以及这些对象的位置和置信概率。

目标检测任务
1.2 整体架构
Faster R-CNN的整体流程如下图所示。

Faster R-CNN整体架构
从编程角度来说, Faster R-CNN主要分为四部分(图中四个绿色框):
- Dataset:数据,提供符合要求的数据格式(目前常用数据集是VOC和COCO)
- Extractor: 利用CNN提取图片特征
features(原始论文用的是ZF和VGG16,后来人们又用ResNet101) - RPN(Region Proposal Network): 负责提供候选区域
rois(每张图给出大概2000个候选框) - RoIHead: 负责对
rois分类和微调。对RPN找出的rois,判断它是否包含目标,并修正框的位置和座标
Faster R-CNN整体的流程可以分为三步:
- 提特征: 图片(
img)经过预训练的网络(Extractor),提取到了图片的特征(feature) - Region Proposal: 利用提取的特征(
feature),经过RPN网络,找出一定数量的rois(region of interests)。 - 分类与回归:将
rois和图像特征features,输入到RoIHead,对这些rois进行分类,判断都属于什么类别,同时对这些rois的位置进行微调。
2 详细实现
2.1 数据
对与每张图片,需要进行如下数据处理:
- 图片进行缩放,使得长边小于等于1000,短边小于等于600(至少有一个等于)。
- 对相应的bounding boxes 也也进行同等尺度的缩放。
- 对于Caffe 的VGG16 预训练模型,需要图片位于0-255,BGR格式,并减去一个均值,使得图片像素的均值为0。
最后返回四个值供模型训练:
- images : 3×H×W ,BGR三通道,宽W,高H
- bboxes: 4×K , K个bounding boxes,每个bounding box的左上角和右下角的座标,形如(Y_min,X_min, Y_max,X_max),第Y行,第X列。
- labels:K, 对应K个bounding boxes的label(对于VOC取值范围为[0-19])
- scale: 缩放的倍数, 原图H' ×W'被resize到了HxW(scale=H/H' )
需要注意的是,目前大多数Faster R-CNN实现都只支持batch-size=1的训练(这个 和这个实现支持batch_size>1)。
2.2 Extractor
Extractor使用的是预训练好的模型提取图片的特征。论文中主要使用的是Caffe的预训练模型VGG16。修改如下图所示:为了节省显存,前四层卷积层的学习率设为0。Conv5_3的输出作为图片特征(feature)。conv5_3相比于输入,下采样了16倍,也就是说输入的图片尺寸为3×H×W,那么feature的尺寸就是C×(H/16)×(W/16)。VGG最后的三层全连接层的前两层,一般用来初始化RoIHead的部分参数,这个我们稍后再讲。总之,一张图片,经过extractor之后,会得到一个C×(H/16)×(W/16)的feature map。

Extractor: VGG16
2.3 RPN
Faster R-CNN最突出的贡献就在于提出了Region Proposal Network(RPN)代替了Selective Search,从而将候选区域提取的时间开销几乎降为0(2s -> 0.01s)。
2.3.1 Anchor
在RPN中,作者提出了anchor。Anchor是大小和尺寸固定的候选框。论文中用到的anchor有三种尺寸和三种比例,如下图所示,三种尺寸分别是小(蓝128)中(红256)大(绿512),三个比例分别是1:1,1:2,2:1。3×3的组合总共有9种anchor。

Anchor
然后用这9种anchor在特征图(feature)左右上下移动,每一个特征图上的点都有9个anchor,最终生成了 (H/16)× (W/16)×9个anchor. 对于一个512×62×37的feature map,有 62×37×9~ 20000个anchor。 也就是对一张图片,有20000个左右的anchor。这种做法很像是暴力穷举,20000多个anchor,哪怕是蒙也能够把绝大多数的ground truth bounding boxes蒙中。
2.3.2 训练RPN
RPN的总体架构如下图所示:

RPN架构
anchor的数量和feature map相关,不同的feature map对应的anchor数量也不一样。RPN在Extractor输出的feature maps的基础之上,先增加了一个卷积(用来语义空间转换?),然后利用两个1x1的卷积分别进行二分类(是否为正样本)和位置回归。进行分类的卷积核通道数为9×2(9个anchor,每个anchor二分类,使用交叉熵损失),进行回归的卷积核通道数为9×4(9个anchor,每个anchor有4个位置参数)。RPN是一个全卷积网络(fully convolutional network),这样对输入图片的尺寸就没有要求了。
接下来RPN做的事情就是利用(AnchorTargetCreator)将20000多个候选的anchor选出256个anchor进行分类和回归位置。选择过程如下:
- 对于每一个ground truth bounding box (
gt_bbox),选择和它重叠度(IoU)最高的一个anchor作为正样本 - 对于剩下的anchor,从中选择和任意一个
gt_bbox重叠度超过0.7的anchor,作为正样本,正样本的数目不超过128个。 - 随机选择和
gt_bbox重叠度小于0.3的anchor作为负样本。负样本和正样本的总数为256。
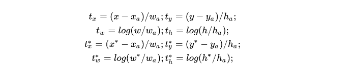
对于每个anchor, gt_label 要么为1(前景),要么为0(背景),而gt_loc则是由4个位置参数(tx,ty,tw,th)组成,这样比直接回归座标更好。

计算分类损失用的是交叉熵损失,而计算回归损失用的是Smooth_l1_loss. 在计算回归损失的时候,只计算正样本(前景)的损失,不计算负样本的位置损失。
2.3.3 RPN生成RoIs
RPN在自身训练的同时,还会提供RoIs(region of interests)给Fast RCNN(RoIHead)作为训练样本。RPN生成RoIs的过程(ProposalCreator)如下:
- 对于每张图片,利用它的feature map, 计算 (H/16)× (W/16)×9(大概20000)个anchor属于前景的概率,以及对应的位置参数。
- 选取概率较大的12000个anchor
- 利用回归的位置参数,修正这12000个anchor的位置,得到RoIs
- 利用非极大值((Non-maximum suppression, NMS)抑制,选出概率最大的2000个RoIs
注意:在inference的时候,为了提高处理速度,12000和2000分别变为6000和300.
注意:这部分的操作不需要进行反向传播,因此可以利用numpy/tensor实现。
RPN的输出:RoIs(形如2000×4或者300×4的tensor)
2.4 RoIHead/Fast R-CNN
RPN只是给出了2000个候选框,RoI Head在给出的2000候选框之上继续进行分类和位置参数的回归。
2.4.1 网络结构

RoIHead网络结构
由于RoIs给出的2000个候选框,分别对应feature map不同大小的区域。首先利用ProposalTargetCreator 挑选出128个sample_rois, 然后使用了RoIPooling 将这些不同尺寸的区域全部pooling到同一个尺度(7×7)上。下图就是一个例子,对于feature map上两个不同尺度的RoI,经过RoIPooling之后,最后得到了3×3的feature map.

RoIPooling
RoI Pooling 是一种特殊的Pooling操作,给定一张图片的Feature map (512×H/16×W/16) ,和128个候选区域的座标(128×4),RoI Pooling将这些区域统一下采样到 (512×7×7),就得到了128×512×7×7的向量。可以看成是一个batch-size=128,通道数为512,7×7的feature map。
为什么要pooling成7×7的尺度?是为了能够共享权重。在之前讲过,除了用到VGG前几层的卷积之外,最后的全连接层也可以继续利用。当所有的RoIs都被pooling成(512×7×7)的feature map后,将它reshape 成一个一维的向量,就可以利用VGG16预训练的权重,初始化前两层全连接。最后再接两个全连接层,分别是:
- FC 21 用来分类,预测RoIs属于哪个类别(20个类+背景)
- FC 84 用来回归位置(21个类,每个类都有4个位置参数)
2.4.2 训练
前面讲过,RPN会产生大约2000个RoIs,这2000个RoIs不是都拿去训练,而是利用ProposalTargetCreator 选择128个RoIs用以训练。选择的规则如下:
- RoIs和gt_bboxes 的IoU大于0.5的,选择一些(比如32个)
- 选择 RoIs和gt_bboxes的IoU小于等于0(或者0.1)的选择一些(比如 128-32=96个)作为负样本
为了便于训练,对选择出的128个RoIs,还对他们的gt_roi_loc 进行标准化处理(减去均值除以标准差)
对于分类问题,直接利用交叉熵损失. 而对于位置的回归损失,一样采用Smooth_L1Loss, 只不过只对正样本计算损失.而且是只对正样本中的这个类别4个参数计算损失。举例来说:
- 一个RoI在经过FC 84后会输出一个84维的loc 向量. 如果这个RoI是负样本,则这84维向量不参与计算 L1_Loss
- 如果这个RoI是正样本,属于label K,那么它的第 K×4, K×4+1 ,K×4+2, K×4+3 这4个数参与计算损失,其余的不参与计算损失。
2.4.3 生成预测结果
测试的时候对所有的RoIs(大概300个左右) 计算概率,并利用位置参数调整预测候选框的位置。然后再用一遍极大值抑制(之前在RPN的ProposalCreator用过)。
注意:
- 在RPN的时候,已经对anchor做了一遍NMS,在RCNN测试的时候,还要再做一遍
- 在RPN的时候,已经对anchor的位置做了回归调整,在RCNN阶段还要对RoI再做一遍
- 在RPN阶段分类是二分类,而Fast RCNN阶段是21分类
2.5 模型架构图
最后整体的模型架构图如下:

整体网络结构
需要注意的是: 蓝色箭头的线代表着计算图,梯度反向传播会经过。而红色部分的线不需要进行反向传播(论文了中提到了ProposalCreator生成RoIs的过程也能进行反向传播,但需要专门的算法)。
3 概念对比
在Faster RCNN中有几个概念,容易混淆,或者具有较强的相似性。在此我列出来并做对比,希望对你理解有帮助。
3.1 bbox anchor RoI loc
BBox:全称是bounding box,边界框。其中Ground Truth Bounding Box是每一张图中人工标注的框的位置。一张图中有几个目标,就有几个框(一般小于10个框)。Faster R-CNN的预测结果也可以叫bounding box,不过一般叫 Predict Bounding Box.
Anchor:锚?是人为选定的具有一定尺度、比例的框。一个feature map的锚的数目有上万个(比如 20000)。
RoI:region of interest,候选框。Faster R-CNN之前传统的做法是利用selective search从一张图上大概2000个候选框框。现在利用RPN可以从上万的anchor中找出一定数目更有可能的候选框。在训练RCNN的时候,这个数目是2000,在测试推理阶段,这个数目是300(为了速度)我个人实验发现RPN生成更多的RoI能得到更高的mAP。
RoI不是单纯的从anchor中选取一些出来作为候选框,它还会利用回归位置参数,微调anchor的形状和位置。
可以这么理解:在RPN阶段,先穷举生成千上万个anchor,然后利用Ground Truth Bounding Boxes,训练这些anchor,而后从anchor中找出一定数目的候选区域(RoIs)。RoIs在下一阶段用来训练RoIHead,最后生成Predict Bounding Boxes。
loc: bbox,anchor和RoI,本质上都是一个框,可以用四个数(y_min, x_min, y_max, x_max)表示框的位置,即左上角的座标和右下角的座标。这里之所以先写y,再写x是为了数组索引方便,但也需要千万注意不要弄混了。 我在实现的时候,没注意,导致输入到RoIPooling的座标不对,浪费了好长时间。除了用这四个数表示一个座标之外,还可以用(y,x,h,w)表示,即框的中心座标和长宽。在训练中进行位置回归的时候,用的是后一种的表示。
3.2 四类损失
虽然原始论文中用的4-Step Alternating Training 即四步交替迭代训练。然而现在github上开源的实现大多是采用近似联合训练(Approximate joint training),端到端,一步到位,速度更快。
在训练Faster RCNN的时候有四个损失:
- RPN 分类损失:anchor是否为前景(二分类)
- RPN位置回归损失:anchor位置微调
- RoI 分类损失:RoI所属类别(21分类,多了一个类作为背景)
- RoI位置回归损失:继续对RoI位置微调
四个损失相加作为最后的损失,反向传播,更新参数。
3.3 三个creator
在一开始阅读源码的时候,我常常把Faster RCNN中用到的三个Creator弄混。
AnchorTargetCreator: 负责在训练RPN的时候,从上万个anchor中选择一些(比如256)进行训练,以使得正负样本比例大概是1:1. 同时给出训练的位置参数目标。 即返回gt_rpn_loc和gt_rpn_label。ProposalTargetCreator: 负责在训练RoIHead/Fast R-CNN的时候,从RoIs选择一部分(比如128个)用以训练。同时给定训练目标, 返回(sample_RoI,gt_RoI_loc,gt_RoI_label)ProposalCreator: 在RPN中,从上万个anchor中,选择一定数目(2000或者300),调整大小和位置,生成RoIs,用以Fast R-CNN训练或者测试。
其中AnchorTargetCreator和ProposalTargetCreator是为了生成训练的目标,只在训练阶段用到,ProposalCreator是RPN为Fast R-CNN生成RoIs,在训练和测试阶段都会用到。三个共同点在于他们都不需要考虑反向传播(因此不同框架间可以共享numpy实现)
3.4 感受野与scale
从直观上讲,感受野(receptive field)就是视觉感受区域的大小。在卷积神经网络中,感受野的定义是卷积神经网络每一层输出的特征图(feature map)上的像素点在原始图像上映射的区域大小。我的理解是,feature map上的某一点f对应输入图片中的一个区域,这个区域中的点发生变化,f可能随之变化。而这个区域外的其它点不论如何改变,f的值都不会受之影响。VGG16的conv5_3的感受野为228,即feature map上每一个点,都包含了原图一个228×228区域的信息。
Scale:输入图片的尺寸比上feature map的尺寸。比如输入图片是3×224×224,feature map 是 512×14×14,那么scale就是 14/224=1/16。可以认为feature map中一个点对应输入图片的16个像素。由于相邻的同尺寸、同比例的anchor是在feature map上的距离是一个点,对应到输入图片中就是16个像素。在一定程度上可以认为anchor的精度为16个像素。不过还需要考虑原图相比于输入图片又做过缩放(这也是dataset返回的scale参数的作用,这个的scale指的是原图和输入图片的缩放尺度,和上面的scale不一样)。
4 实现方案
其实上半年好几次都要用到Faster R-CNN,但是每回看到各种上万行,几万行代码,简直无从下手。而且直到
@罗若天
大神的ruotianluo/pytorch-faster-rcnn 之前,PyTorch的Faster R-CNN并未有合格的实现(速度和精度)。最早PyTorch实现的Faster R-CNN有longcw/faster_rcnn_pytorch 和 fmassa/fast_rcnn 后者是当之无愧的最简实现(1,245行代码,包括空行注释,纯Python实现),然而速度太慢,效果较差,fmassa最后也放弃了这个项目。前者又太过复杂,mAP也比论文中差一点(0.661VS 0.699)。当前github上的大多数实现都是基于py-faster-rcnn,RBG大神的代码很健壮,考虑的很全面,支持很丰富,基本上git clone下来,准备一下数据模型就能直接跑起来。然而对我来说太过复杂,我的脑细胞比较少,上百个文件,动不动就好几层的嵌套封装,很容易令人头大。
趁着最近时间充裕了一些,我决定从头撸一个,刚开始写没多久,就发现chainercv内置了Faster R-CNN的实现,而且Faster R-CNN中用到的许多函数(比如对bbox的各种操作计算),chainercv都提供了内置支持(其实py-faster-rcnn也有封装好的函数,但是chainercv的文档写的太详细了!)。所以大多数函数都是直接copy&paste,把chainer的代码改成pytorch/numpy,增加了一些可视化代码等。不过cupy的内容并没有改成THTensor。因为cupy现在已经是一个独立的包,感觉比cffi好用(虽然我并不会C....)。
最终写了一个简单版本的Faster R-CNN,代码地址在 github:simple-faster-rcnn-pytorch
这个实现主要有以下几个特点:
- 代码简单:除去空行,注释,说明等,大概有2000行左右代码,如果想学习如何实现Faster R-CNN,这是个不错的参考。
- 效果够好:超过论文中的指标(论文mAP是69.9, 本程序利用caffe版本VGG16最低能达到0.70,最高能达到0.712,预训练的模型在github中提供链接可以下载)
- 速度足够快:TITAN Xp上最快只要3小时左右(关闭验证与可视化)就能完成训练
- 显存占用较小:3G左右的显存占用
^_^
这个项目其实写代码没花太多时间,大多数时间花在调试上。有报错的bug都很容易解决,最怕的是逻辑bug,只能一句句检查,或者在ipdb中一步一步的执行,看输出是否和预期一样,还不一定找得出来。不过通过一步步执行,感觉对Faster R-CNN的细节理解也更深了。
写完这个代码,也算是基本掌握了Faster R-CNN。在写代码中踩了许多坑,也学到了很多,其中几个收获/教训是:
- 在复现别人的代码的时候,不要自作聪明做什么“改进”,先严格的按照论文或者官方代码实现(比如把SGD优化器换成Adam,基本训不动,后来调了一下发现要把学习率降10倍,但是效果依旧远不如SGD)。
- 不要偷懒,尽可能的“Match Everything”。由于torchvision中有预训练好的VGG16,而caffe预训练VGG要求输入图片像素在0-255之间(torchvision是0-1),BGR格式的,标准化只减均值,不除以标准差,看起来有点别扭(总之就是要多写几十行代码+专门下载模型)。然后我就用torchvision的预训练模型初始化,最后用了一大堆的trick,各种手动调参,才把mAP调到0.7(正常跑,不调参的话大概在0.692附近)。某天晚上抱着试试的心态,睡前把VGG的模型改成caffe的,第二天早上起来一看轻轻松松0.705 ...
- 有个小trick:把别人用其它框架训练好的模型权重转换成自己框架的,然后计算在验证集的分数,如果分数相差无几,那么说明,相关的代码没有bug,就不用花太多时间检查这部分代码了。
- 认真。那几天常常一连几个小时盯着屏幕,眼睛疼,很多单词敲错了没发现,有些报错了很容易发现,但是有些就。。。 比如计算分数的代码就写错了一个单词。然后我自己看模型的泛化效果不错,但就是分数特别低,我还把模型训练部分的代码又过了好几遍。。。
- 纸上得来终觉浅, 绝知此事要coding。
- 当初要是再仔细读一读 最近一点微小的工作和ruotianluo/pytorch-faster-rcnn 的readme,能少踩不少坑。
P.S. 在github上搜索faster rcnn,感觉有一半以上都是华人写的。
最后,求Star github: simple-faster-rcnn-pytorch
资料2:















最后
以上就是糊涂奇异果最近收集整理的关于【笔记】Faster rcnn :Extractor(提取器)、RPN(区域建议网络);训练RPN、RPN生成RoIs(选取修正锚)、RoI Head在给出的2000候选框之上进行分类和位置参数的回归的全部内容,更多相关【笔记】Faster内容请搜索靠谱客的其他文章。
发表评论 取消回复